
盐大家都很熟悉,每个人每天都要和它打交道,要是哪天炒菜忘了放盐,这个菜就会让人难以下咽。大家对它的咸味都很熟悉,但是这个咸味来自于哪里呢?
1
Q
液体蒸发时要吸热,为什么自身的温度却降低呢?不矛盾吗?
by 莲子
A
首先,我们讲一下蒸发时到底发生了什么?

以室温环境中的水为例,水中的分子有时可以冲破水的束缚从水中跑出来,这就是蒸发的微观图像。在水中,分子的速度并不完全一样,有的分子运动速度快有的速度慢。速度快的分子由于动能比较大所以更有可能脱离水的束缚。所以,蒸发出去的水分子是速度比较高的分子,剩下的是速度比较低的分子。在热学中,速度低代表的正是温度低,因此,蒸发会导致液体温度降低。液体温度降低后自然就更容易从外界吸收热量且水温降得越低从外界吸热越快,直到快速分子带走热量的速度和水从外界吸热速度相同时水的温度便稳定下来(这时水温一定比室温低)。综上所述,并不是吸热导致了蒸发,而是蒸发使得体系从环境中吸热,这样看,矛盾就不存在了。
By Nothing
2
Q
保温杯是如何保温的?
by Loathe
A

在回答保温杯是如何保温的之前,我们先了解一下热是如何传递的。热的传递方式分三种:对流、辐射和接触传热。其中对流传热可以理解为热水和冷水放在一起后两者相互混合导致的传热;辐射传热是物体通过向外辐射电磁波来传播能量,物体的温度越高辐射传热的效率越高;接触传热是两个物体相互接触后热从一个物体传递到另一个物体。如果我们可以把这三个传热的途径都阻断掉那么就能很好的保持物体的温度。
有了前面的背景,我们可以分析一下保温杯为什么可以保温:将热水倒入保温杯并盖上杯盖后,外界的空气将不能和内部环境接触,对流传热将不能发生;由于100度的水并不算很热,辐射传热的效率也不高;最后还剩下接触传热最后一个途径,可以看到,保温杯并不是单层结构,杯壁上存在真空隔层,正是这个真空隔层断绝了内部与外部接触传热的路径。以上就是保温杯可以保温的原因。
By Nothing
3
Q
气球和肥皂泡里面明明是空气,为什么不会在空气中一动不动,而会向上飘呢?
by 木兮啊
A
首先,我们在没有风的环境中讨论这个问题。由浮力定律我们知道,一个物体只要它的平均密度和空气相同那它就能悬浮在空中。

那为什么气球和肥皂泡往往不能维持悬浮呢?原因主要有两个:第一是肥皂泡和气球除了包括空气之外还包括外面的一层膜,一般来说,这层膜的密度要大于空气。另一个原因是,气球的表皮和肥皂泡的液膜会向内对空气施力,结果就是内部的空气被压缩。我们都知道压缩后的空气密度变大(pV=nRT)。综上,一般情况下,气球和肥皂泡的密度都要大于周围的空气,因此会在空气中下落。但是,如果在气球中冲入氦气等密度较小的气体的话也可以让气球飘起来。
如果在有风的环境中,由于有风的影响,气球向哪运动就不一定了。
By Nothing
4
Q
为什么带电导体处于静电平衡时,静电荷分布在导体表面,而且曲率半径大的地方电荷密度小?
by Wicked
A
静电平衡是指导体中自由电子无定向移动(热运动一直存在),电场分布不随时间变化。无论导体带不带电,其在外场的作用下,自由电子向电场的反方向做定向运动,由此产生的感应电场与外场方向相反且随着自由电子增多而增大,直到与外电场相等内部电子停止定向移动,达到静电平衡。电荷在表面是其定向移动的结果。
导体表面的电荷分布情况不仅仅与表层的曲率有关,还受导体本身的形状特性,周围介质分布情况以及导体的带电状况影响。对于孤立带电导体而言,定性的规律是:曲率越大,电荷分布越密集。值得注意的是,电荷密度与曲率之间不存在单一的函数关系。定量的研究比较复杂,有兴趣的同学们可以参考:对孤立椭球导体面电荷密度与表层曲率之间关系的研究。其与定性的结论一致。
By Nuor
5
Q
如何摆脱地心引力?
by —众里寻你
A
只要你跑的足够快,地球就抓不住你。
宇宙中每一个物体都以一定的力吸引着每一个其他物体,对于任意一个物体来说,其力的大小为:

对于一个人来说,如果想要摆脱地心引力,根据引力定律,有四种方法。
方法1:将m即地球的质量变为0。要想做到这一步,虽然方法有很多,比如说将地球m离散化,不断抛出一块块到外太空直至质量为0,但这样实施起来并不简单,而且可能会成为全人类的公敌。
方法2:将m’即你的质量变为0。对于你本身的质量可能难以实现,但是最简单的方法是:你的思维是没有质量的,其本身是不受地心引力影响的,所以,请让你的思维自由思考飞翔吧(这也可能是成本最低的方法了。)
方法3:将m向m’转变,这个方法的精髓是将地球的质量转变为人的质量。你可以努力吃土,等到地球的质量为0,你的质量为m+m’时,你就完全不受地心引力影响了。
方法4:增大r的值,当r趋近于无穷时,F就可以忽略不计了。根据万有引力定律,当把航天器以超过第二宇宙速度(11.2km/s)发射之后,其就会脱离地球的引力场而成为围绕太阳运行的人造卫星。当其达到第三宇宙速度后,其就会脱离太阳系,飞翔浩瀚的宇宙中。
By Nuor
6
Q
很多年一直好奇,人们离不开的食用盐(氯化钠)的咸味究竟是氯离子体现出来的味道还是钠离子体现出来的味道?
by @mzzxxz
A
简单回答,目前一般认为氯化钠的咸味来自于阳离子——钠离子,钠离子被特定味觉细胞上的钠离子通道输送进味觉细胞,引起细胞膜内外电势波动,细胞电位变化使得Ca离子通道打开,Ca离子内流使得神经递质释放,激活下一级神经元,神经信号传递到中枢,产生咸味的感觉。
如图所示,味蕾上的味觉细胞主要有三类,感受咸味的类胶质细胞、感受甜苦鲜味的受体细胞以及感受酸的前突触细胞。

吃东西时,食品在咀嚼和吞咽的过程中分散、裂解,部分分子或离子溶解于唾液中,扩散到味蕾上接触到味觉细胞。如图所示,对于感受咸味的类胶质细胞来说,当钠离子浓度达到一定程度时,钠离子与细胞上的特异性通道蛋白(ENaC)结合,进入细胞内部,钠离子在细胞内富集,细胞膜去极化,钙离子内流,引起神经递质释放,产生神经信号传导,最终感受到咸味。

上述机制已经在小鼠细胞上得到实验证实(Nature 2010, 464, 297-301.),但人体味觉细胞的真实情况尚不明确,其他阳离子比如钾离子、钙离子以及阴离子氯离子的影响还有待实验证实。
参考:咸味是什么物质引起的?氯化钠为什么有咸味?
By 勿用
7
Q
毛笔的笔头,浸到水里,毛就散开;从水里拿出来,毛就并拢到一起。这是什么原理呢?
by 笑笑
A
也许擅长书法的你会发现“毛笔的笔头,浸到水里,毛就散开,从水里拿出来,毛就并拢到一起”,也许长发的你会疑惑“洗头的时候头发为什么在水中是散开的,而从水中弄出来后却粘连在一起”,这其中的物理原理是什么呢?
首先我们假设一个完全刚性的刷子,显然不管刚性的刷子是浸润在水中还是拿出来,刷子上的毛是无法聚集在一起的,由此可见,毛笔和头发的弹性是其出现聚集的现象的前提。实际上,在不考虑重力及其他因素(比如静电作用)的影响下,出现这个现象的原因是毛细作用力和弹性作用力的相互竞争。
如图所示,假设两个相互靠近的平行挡板,部分浸润在液体中,如果挡板是刚性的,液体在毛细作用力下上升的高度可以由朱里定律(Jurin’s law)得到

由朱里定律可知液面高度与液体表面张力γ、液体密度ρ以及挡板间距d有关。对于弹性挡板而言,在液体表面张力的作用下发生弯曲,液面也能上升至一定高度并且这段高度挡板通过液体接触,这段高度被液体浸润,形成聚集现象。

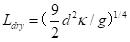
下面计算非聚集区域的长度Ldry,聚集区域挡板单位宽度的表面能为
, 形变区域单位面积的弹性势能与形变区域曲率 的平方成正比,单位宽度形变区域的弹性势能为
, 那么总能量为
, κ是弹性体的劲度系数。利用变分法得到最小能量时非聚集区域长度为:

推广到N个挡板时得到:

当材料和间距固定时,两个弹性体非聚集区域的长度是一个常数,随着弹性体数量的增加变长,达到一定数量Nmax时,会出现完全不浸润,没有浸润区域的情况Ldry=L;但数量小于Nmax的情况是可以存在浸润区域的,因此会出现小于最大数量弹性体聚集为多束的现象。同时弹性体数量一定,当间距相对于长度足够小的时候,非聚集区域长度也很小,宏观上会形成聚集现象。这就是为什么头发和毛笔会聚集,并且在非人为干预时会聚集为一缕一缕而非整个同时聚集的原因,只有当间距足够小时,才会出现整个聚集的现象。
上述模型适用于二维弹性挡板,但可以定性说明毛笔和头发这些这些一维物体浸润后聚集的现象。
参考:Nature 432, 690 (2004)
By 勿用
8
Q
原子内99.99%都是真空的,为什么世界不是透明的?
by Z
A
回答这个问题可以从多个角度出发,首先透明的物质是大量存在的,比如大部分的气态和液态物质。原子内部确实很空,原子核和电子只占其中很小的体积,但是库伦相互作用太强了(一个电子和质子之间的库仑力是引力的1039倍!),导致电子很容易和光发生相互作用,即使他们没有像我们想象的那样“对撞”到一起,电子也可能吸收能量匹配的光子。
固态晶体的透光性主要取决于光子能级和禁带宽度的相对大小,可见光和物质相互作用时,对应的光子能量范围是1.77eV到3.17eV。当光子能级小于禁带宽度时,可见光对应的能量不足以使电子发生能级跃迁,物质不吸收可见光,具有透光性。当光子能级大于禁带宽度时,可以吸收对应能量的光子使电子发生跃迁,显现出特定的颜色;当禁带宽度足够小时,晶体完全不透光,比如金属。
从另一个角度考虑,如果光子能量足够大,那么许多物质都可以是透明的,而这样就必须要电磁波的能量足够大,比如X射线能透过许多对可见光不透明的墨纸和木料等。这样看来,世界的本质其实是透明的,只是人眼的分辨率不够而已。
By 勿用

本期答题团队:
物理所 Nothing、Nuor、勿用
写下您的问题,下周五同一时间哦~

↓识别下方二维码快速提问↓
上期也精彩
为什么用木棍打衣服就可以洗干净衣服?| No.150

编辑:望江楼
近期热门文章Top10
↓ 点击标题即可查看 ↓
1. 掉入地下一万米
2. 从前有个学生熬夜迟到了,错把困扰数学家的难题当作业做了出来
3. 原*弹子**制造指南
4. 吸猫一时爽,一直吸猫一直爽
5. 为什么长时间不洗头,洗的时候搓不出很多泡沫?| No.145
6. 一个大活人,还能让尿活活憋死???
7. 所以,WiFi 和 4G 到底哪个更耗电?
8. 传纸条被发现,一看竟写着...
9. 铅笔上面那块废柴橡皮为什么容易把纸擦破?
10. 一幅图读懂量子力学(薛定谔的猫)