会打乒乓球的人很多,业余时间拿起球拍挥舞几下出出汗是件很爽的事。要问打乒乓球讲究的是什么?无非是速度、落点,还有旋转。即便是小小的孩子,他也会因为对方“吃”了自己的发球开心不已,而专业的乒乓球运动员则是把“转”与“不转”玩到了极致。
乒乓球的旋转
初学乒乓球的人通常只会“推挡”,也就是把来球平推回去,让它落到对方的台面上,这时候球基本是不转动的,对方也很容易将球推回来,我们称这种打法为“和平球”。
接下来,大家会试着“切球”,也就是在击球时将球拍向前下方做切削的动作,由于摩擦力的作用,乒乓球会向自己的方向旋转,我们称之为“下旋球”。下旋球比较“飘”,弹道平直,落台后会向上跳,如果对方接不好,球有可能下网。

运动员削球
与削球相反,如果把球拍向前上方提拉,球会向前方旋转着前进,这被称为“上旋球”或“弧圈球”。弧圈球下落的角度很大,接触台面后会向前冲,对方容易把球打飞。

马龙奋力拉出弧圈球
对于优秀的职业运动员来说,他们不仅会打出下旋和上旋的球,还能熟练地运用技术动作使乒乓球以各种速度、各种角度旋转,给对手制造麻烦,从而为自己下一拍的反击作铺垫。
乒乓球与球拍或台面撞击、摩擦时会发生反弹和旋转,这是运动员对它施加力的大小以及方向决定的。与此同时,乒乓球在空中的运动轨迹还受到另一种“诡异”的力的影响,它就是马格努斯力。
马格努斯效应
我们在前节里提到,相比于平推挡,下旋球会更“飘”,而弧圈球下坠的速度会更快。这究竟是什么原因导致的呢?

旋转时乒乓球的运动轨迹会发生改变
乒乓球很轻,它的质量大约仅2.7克。这意味着即便以很快的速度飞行,它的动量也比较小,很容易受到空气阻力的影响。在平推球时,它在空中飞行的路径不是抛物线,而是近似抛物线的一条弹道曲线。
而当我们用球拍侧向击打乒乓球时,球拍胶皮与球的表面摩擦,使其在空中发生旋转。而一个旋转的球体或柱体在空气(流体)中行进时,气流会在球体表面施加一个侧向的力,使它的运动方向发生偏移,这就是我们常说的马格努斯效应。

旋转产生马格努斯效应
从上面的动图我们可以看到,圆柱体向右侧运动的同时顺时针旋转,气流会对其施加一个向下的力。这可以解释为什么上旋球为什么会加速下坠,因为它在运动的过程中除了自身重力之外还有一个额外的力在把它往下“压”。
朋友们也许好奇,为什么球一旋转就跑偏,促使乒乓球偏移的力从哪里来?
关于马格努斯效应的分析
学过流体力学的朋友应该对下面的图片并不陌生,它是对马格努斯效应的通常表达,但这张图片也常常会令人犯糊涂:为什么它是这样的呢?

上旋球会产生额外的下压力
有人将上图翻转180°,与另一张著名的图片相对照,根据 V1 > V2,产生升力F,由此得出结论:马格努斯效应其实来自伯努利方程。

对伯努利原理的错误表达
真是这样的吗?
其实这二者并不是一回事。
与机翼剖面形状不同,乒乓球与网球、足球类似,可以看作是一个均匀的球体,当它在空气中运动时,其迎风面受到的空气阻力是相对均匀的。也就是说气流通过其四周的速度相同,它等于球体向前运动的速度V。
V'与V的大小相等方向相反:

不旋转的球,其前进速度与气流速度大小相等方向相反
当球在前进的过程中发生下旋,情况就变得不同。这时候球上方气流速度相对于下方来说更快,但其相对于旋转球体表面的速度来说却是更慢了。
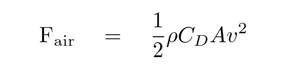
按照流体阻力定律,球受到空气阻力的大小与其速度的平方成正比:

空气阻力与速度的平方成正比
当球旋转着前进时,它表面每一个点相对于空气而言,其向前的瞬时速度是不同的,因此受到的空气阻力也存在差异。

下旋球的空气阻力分析
由上图可以看出,当一个下旋球向前运动时,其迎风面垂直对称的两个点A、B由于叠加了旋转的角速度ω,相对于气流的速度Va > Vb,因而A点受到的空气阻力大于B点,折射到球体质心的推力Fa > Fb,球被赋予向上的推力。
我们可以用伯努利原理解释乒乓球的旋转吗?
这其实是一个有争议的问题。
有人认为由于球的旋转推动一部分气流走了更远距离,气流速度的增加导致压强减小,而另一面气流速度较小导致压强增加,这一增一减之间产生了一个压力差。许多人以此来解释飞机机翼的上升。
伯努利定律所描述的是单一流体在不同位置(等熵流)由于速度发生变化,根据能量守恒原理而产生的压强变化。流体的速度越快,其压强越小。

伯努利原理针对的是单一流体
事实上,无论是旋转的乒乓球还是快速运动的机翼,其上下方的气流已经属于不同的流体,是否适用于伯努利定律有待商榷。
一般认为,机翼之所以产生升力,是因其后端下压空气而产生向上的反作用力。乒乓球因旋转而发生偏移,最主要是因为空气流动在球体表面不同位置的速度差异导致阻力不同,从而产生侧向的压力差。
来做一道题吧
许多球类运动员都利用旋转来使球飞出不同的轨迹。乒乓球选手会熟练使用不同的旋转,网球棒球、排球和足球运动员也都喜欢使用旋转球来获取比赛的主动权。
其中足球迷们时常津津乐道的“香蕉球”、“圆月弯刀”都是利用了马格努斯效应。
那么问题来了:下图中的足球运动员想要踢出香蕉球,他应该踢球的哪个部位呢?

他应该踢哪个部位?
根据本文讲到的原理,请在评论区写出你的答案。