文/陈高善 康凯鹏

美原镇联友村卫星图
(一)五级坊陈家堡与樊版《富平县志》
五级坊陈家堡隶属于美原镇联友村,位于富平县东北隅之美原镇,北距美原街道三四千米,距金粟山十千米,其正东距蒲城县兴镇五千米。这里除西边隶属富平外,北、东、南三面均与蒲城县苏坊乡桥绒村下辖的刘堡、萧家庄*党**堡、桥村、绒张堡等村村连村、地挨地。
陈家堡古时候属频阳县。明代归属富平县频阳乡、美田里、陈家村[1] (参见图1),清代沿用明制,在樊版《富平县志》(参见图2)卷一“地理志·里镇”一节中,被称为“陈家庄”,亦即陈家堡,时仍属美田里(参见附图3)。在卷四“经政志·保甲”一节中,属富平县东北乡北十七联,亦称永兴堡[2] (参见图4)。永兴堡是明清时期陈家堡一直沿用的另一别称。与之同宗同族的雷古坊鸿雁村陈家堡叫永盛堡。民国23年(1934)后,设保甲制,五级坊陈家堡属富平县礼仁乡第一保第一甲。

附图1

附图2

附图3

附图4
关于五级坊这一地名,除“五级坊”外,还有“伍金坊”“五吉坊”“伍级坊”,音同字不同。其来历,历史上有几种不同的说法,最近有历史学者认为,包括五级坊在内的“坊”,出自历史上以“坊”设为乡村基层行政策划的朝代[3],待考证。客观地来看,几百年来,在五级坊方圆数十里内,你说大队、小队等名称别人可能不知道,但是你若说“五级坊”则人人皆知。事实上,五级坊是一个“片地名”,而不是某一个堡寨的名称。确切地说,是指以五级坊兴国寺为中心,东至东皮里堡、西皮里堡,西至雒杨堡,包含吕东、吕南、新城堡、鞋李堡、匣张堡在内的、东西狭长地域内多个堡寨的总称,位于此地域内的堡寨均属五级坊辖地。当然还包括吕南堡之南那个已经消失的老堡寨——花莲堡。
但是,在若干年来的现实生活中,当有外人问陈家堡的人“你是阿哒的?”,得到的回答都是“我是五级坊陈家的”。陈家堡人认为自己是五级坊陈家的。
现今能够搜集到的历史文字记载:五级坊陈家堡至少有四五百年以上的历史。诚如附图1所示,明代万历甲申(1584)《富平县志》[1]第一卷“地图考”中,不仅有“五吉坊”和“陈家村”,且二者均隶属于美田里(行政区划)。另据明代万历三十五年丁未(1607)孟冬立的创修兴国寺钟楼(碑)记[4]记载:“……伍级坊兴国寺有钟而无楼,其钟置之风日雨露中。……有楼起自今日,不可不记其始也……”;再据清代嘉庆十七年壬申(1812)的“乘宗和尚行寔塔铭[5]”记载:“讳源林,号乘宗,……乘宗和尚弱冠游学至富平县伍级坊兴国寺……”。同样,在时隔三百多年后的樊版《富平县志》中,仍载有“五吉坊与陈家堡(陈家庄)并列隶属于美田里”。
如上所述的多个历史文献,不但充分而有力地证明:“五级坊和陈家堡的历史悠久,还证明了五级坊和陈家堡,在美田里辖区内是并列存在的关系,而不是隶属关系”,也就是说,历史上的五级坊并不包含陈家堡。
下面再来看看民间流传。笔者上世纪八十年代前在陈家堡时,多次遇到过这种情况:在陈家堡村外的主干道上偶遇某位蒲城萧家庄*党**堡、桥村、绒张堡等周围各堡六七十岁以上的长者,和他打招呼时问他:“你到阿哒去呀”?得到的回答是:“我去五级坊大队那里去买个东西”或“我去五级坊鞋李堡问个话去”等,而不是说:“去你们五级坊……”。说明在当地祖辈流传下来的认知、说法中,五级坊也不包含陈家堡。
总之,有必要强调指出,正如以上所引述的明代孙丕扬版《富平县志》、樊版《富平县志稿》等正史,明万历、清嘉庆伍级坊兴国寺石碑等历史记载,及民间传说都明白无误地证实,历史上的五级坊并不包括陈家堡、陈家堡与五级坊属于并列关系(参见附图1、3、4)。
为什么我们要论证五级坊与陈家堡之间的关系呢?其目的是澄清如下史实:五级坊这一地名首次出现时,其辖地并不包含陈家堡。其原因是“先有五级坊,后有陈家堡”。五级坊辖内各堡,都是金、元时期,甚至是隋、唐时期就已有的老堡寨,而陈家堡则是明代洪武年间才迁徙至此的后来者。从另一个角度讲,五级坊这一地名产生于金元时期及之前,这个地名产生时还没有陈家堡。
由此可见,“五级坊陈家堡”这一专属地名并非真实历史,而是随着时间的推移,世事之演化,在漫长的历史长河中,人们的一种习惯性误称,习惯性地把陈家堡称为五级坊陈家堡。即“习惯成自然”“以讹传讹,谬误变真理”。这一习惯性误称带来的好处是:自从冠以“五级坊陈家”后,陈家堡便不易与其南边的蒲城县苏坊陈家,或北边的红雁村陈家混淆了。
几百年来,五级坊陈家堡内的传说是:其先祖于明代洪武、永乐年间,由山西迁徙至频阳邑,红雁村陈家堡(参见附图7)是由五级坊陈家堡衍生出去的。那么,以上引用的历史文献记载和考据分析,为五级坊陈家堡内的这一历史传说提供了一定的佐证。

附图5

附图6
(二)陈兆凤与樊版《富平县志》
五级坊陈家堡原有的族谱、神轴,均敬放于陈氏祠堂内。直至前些年,一直沿袭祖上数百年流传下来的规程,每年腊年三十、正月初一,全村男丁聚集于陈氏祠堂祭祖、清明节上官老陵祭祖。惜族谱已失传,先祖影轴“*革文**”初期被焚。据祖辈传说:有位先祖曾于明清时期在宛平县任过职,在当年焚毁的神轴上,有其着官服的影像。早先,红雁村陈家堡每年腊年三十、正月初一、清明节都来五级坊陈家堡祭祖。
笔者堂高祖陈兆凤,字吉臣,号西渠。生于道光十三年(1833),卒于光绪十一年(1885)秋,光绪十五年(1889)冬葬于频阳祖茔[6]。他少时即“赋性聪慧明辨,甫授读即悟大意,操笔即有文气,应童试前列,文法书法得清气。入庠后,文末斐然”。清代咸丰九年(1859),他二十六岁,考中乙末恩科举人(参见附图6),曾历户部郎中。1966年*革文**初期,其坟墓遭所谓的“*卫兵红**”非法挖掘破坏,墓内财物被抢劫一空。唯其墓志铭因石体较小没人拿,后被族人拉回陈家堡,用土坯做支架,将该四块墓志铭支撑起来,做了生产队办公室的办公桌面,一直用至1981年分田到户(农村叫“散社”),才被笔者堂兄陈光前收藏。该墓志铭文已被录入2013年5月版《富平碑刻》一书。祖茔坟地的墓碑、碑座、供桌、石羊、恭表碑等大一点儿的石构件,多被东皮里堡拉回去砌在他们村的涝池沿上,或架在大路的水道上。笔者先父(讳印娃,字栋梁)曾于1966—1967年间,利用黄昏生产队收工之后,数次去东皮里堡找生产队长理论此事。此后几十年里,我们收集到的近十通祖茔石碑,全部是笔者、胞弟吉善、堂兄光前从东皮里堡的老机井旁、水池子旁、北大路水道上、打麦场畔,以及个人宅院里收集到的。

附图7
兆凤公其父庶征,为国子监太学生,陈家在陈家堡拥有五间宽的祖宅一座,内有厅房、厦房数十间,临南城墙东西向一字排开,建有窑洞五孔,内设书房、卧室等。前庭院有绒线花(*欢合**)树一棵,后院有无花果树一棵。光绪末年,在这棵绒线花树下曾发生过一件趣事,富平北乡两门村西同堡有个同福庆,某晚梦见陈兆凤举人家的绒线花树下埋有不少银子,故而出钱买下绒线花树下的这块地皮,后掘地数尺,最终也未能挖出一两银子。除了在陈家堡的宅院,兆凤公在蒲城县兴市镇还置有一处宅院,该院内除有住房,还有花园等,他晚年和家人常住在那里。光绪三年(1877)关中大饥,饿殍遍野,兆凤公在兴市镇放粮赈灾救济灾民,被当地传为佳话。其长女嫁给了蒲城县井家塬议叙贡生井孝庭[7],井系甘肃靖远县教谕、候任知县井永年之曾孙,与辛亥先烈井勿幕同族;次女嫁给了蒲城荆姚镇张拜云[6],张系清光绪十七年(1891)举人科大挑教谕、辛亥革命陕西著名社会活动家。
光绪七年(1881)始[8],兆凤公担任富平县县志编撰采访负责人一职(参见附图5),期间与诸同仁呕心沥血,不畏严寒酷暑,足迹遍及富邑乡壤岭壑,完成了大量采访调查工作,为地方文化事业及社会进步与发展做出了一定贡献。这一时期,也是他家的多事之秋,不幸之事接二连三。光绪七年(1881)四月,母亲简宜人病逝。他对母亲非常忠孝,其母健在时,他对母亲的孝敬程度有言曰:“当春秋佳日,扶母看花,大妇从而小妇随。为亲设宴,子献酒而孙献彩,园林中若可永驻春晖也”。不久,其妻李宜人去世,“熟意母丧,未除妻丧”,这些突如其来的不幸,对他的精神打击可想而知,致他过劳并悲极伤身。这对由他负责的县志采访工作不可避免地产生影响,否则,他对县志的采访、编撰工作的贡献会更大。
笔者作为兆凤公之后裔,自从上世纪八十年代初即萌生“在有生之年,如果能收藏一部兆凤公参与编修的《富平县志》,无疑对他是一种最好的纪念方式”的心愿。不经意间,2002年4月下旬,《西安日报》刊发了一条新闻:“在阎良关山惊现一部清代光绪十七年版《富平县志》[9]”。该篇新闻报道中写道:“2002年4月,阎良关山镇关山村村民余健康在整顿收购的废旧书报纸过程中,意外发现一套光绪年间刊印的《富平县志》。该县志石印线装,10卷30万余字。由候选知县、前洋县教谕举人田兆岐、神木县教谕举人孙苞诒、户部郎中举人陈兆凤等当地数十位生员和有识之士携手撰修”“该光绪年间石印原版县志能保存至今,较完整地被发现,实属罕见,对于研究富平县各个时期的经济、文化、风土人情、农业、以及早期的富平县城池构造、*物文**古迹,具有重要的参考价值”。
笔者欣喜之余,即刻通过《西安晚报》的当家记者黄亚平老师,联系该条新闻的投稿人冉学东先生,商洽购买该《富平县志》事宜。虽经反复沟通,由于富平县与阎良具有“近水楼台先得月”之机,该消息见诸报端后,富平县政府也非常重视,第一时间派出以时任富平县委宣传部部长的乔润芳为首、县志办、县图书馆馆长等参加的专班,已先于笔者和黄亚平老师,与余健康、冉学东接洽了购买事宜,并最终揽得这部珍孤本光绪年间原装《富平县志》。故本人极欲购买收藏这套《富平县志》之机会丧失,成为此生之憾事。
尽管夙愿未达,但并不影响笔者研究包括兆凤公在内的、五级坊陈家堡历史的工作。2020年6月,本人在网络上搜索陈兆凤的相关文献中,无意间发现了冉学东先生2008年11月,以“关山牧”在新浪博客上发表的《光绪年间<富平县志>在关山惊现之谜》博文[10]。文中详述了2002年在阎良发现《富平县志》一事及其发新闻稿,富平县政府和笔者联系购买该部县志的前后经过。
看了这篇博文,再次勾起笔者对文中所述,以及欲购《富平县志》一事的回忆。发现该博文中存在数处明显的错误,正如本人在发给冉先生的回复文[11]中写到的:“以为在你该篇博文中,对这件事的事实叙述略有出入,无论当时是哪个环节出的传话差错,一概既往不咎。二十余年后的今天,本人仅乐意借你博客一角,本着对史实和后世负责的态度,正本清源,就相关史实预以澄清,以免误导后人:“我是该部县志的总采访负责人陈兆凤的堂玄孙,而非‘田兆凤’的后人。事实上该志中没有‘田兆凤’,只有参订负责人‘田兆岐’和采访总负责人‘陈兆凤’”。
“我叫陈高善,正是你博文中提到的,当时通过《西安晚报》社当家记者黄亚平老师联系你,欲出高价购买这套光绪十七年版《富平县志稿》(业内人士和富平当地人统称为“樊志”)的唯一当事人。本族世居富平县美原镇五级坊陈家堡。”
“2002年时,没有网络,更没有手机,常年身处山乡僻壤,从事军事装备科研工作的我们,能看到外面世界的唯一窗口,是单位订阅的一份《西安日报》。因此每天下午上班后,报纸一来到办公室,大家都是瞭一眼报纸,才进实验室。那天我瞭报纸中,竟然破天荒地发现在阎良关山发现了光绪十七年版富平县志的新闻,不由得为之一振,诚如你博文中所言,我第一时间打电话,并亲去报社面见了西安晚报的当家记者黄亚平老师,想托他把这部县志买到手。因为在八十年代初期,我已经寻访遍了北京图书馆(即后来的国家图书馆)、上海图书馆、山西图书馆、辽宁图书馆、陕西省图书馆、陕师大图书馆等,在寻找富平县美原五级坊陈氏族谱的同时,已知悉堂高祖陈兆凤与富平县光绪十七年版县志的关系。后来的结果如你博文中所说,黄老师告诉我,富平县政府出面已把这部县志买走了。”
“今天回想起来,如果当时本人消息灵通,在富平县政府行动之前,联系到你和余健康并成交。也不至于此事成为我一生中的憾事之一!”

附图8

附图9

附图10

附图11
(三)樊版《富平县志》中记载的陈家堡其他人和事
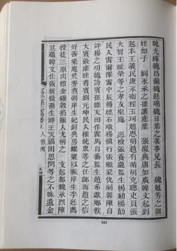
除上所述,在樊版《富平县志》中还记载有如下一些与陈家堡有关的人和事。例如:在其《卷五·人物传》一节中,载有陈家堡陈其蕴不寐遗金的史迹(参见附图7),其蕴公为清代康熙、乾隆年间人,是笔者一支脉的先祖(参见附图8)。
在《卷六·节烈·节孝表》中,载有陈家堡“陈嘉言母康氏,夫故,子幼,守节三十四年”(参见附图9),含辛茹苦,养育嘉言成人的史迹。嘉言公系清代嘉庆、同治年间人,是现代人陈狗娃、陈建勤、陈旦正、陈友善一支脉的先祖(参见附图10)。
另据附图11记载,本人一支脉先祖簵公(字仲儒)恭表碑记载:簵公于清乾隆五十六年,以耆德应寿典,故被冠以恩荣寿官封号。但在樊版《富平县志》之《卷六·耆德》一节中,未能找到簵公赴京应寿典之千叟宴的相关历史记载。该节中,陈姓只有“监生陈元礼,嘉庆元年赴京参加千叟宴”的记载。且姓名、年份均与仲儒公不相符。待考。
参考文献:
[1] [明]万历甲申《富平县志》(孙志)第一卷地图考。
[2] 樊版《富平县志》([清]光绪十七年版)。
[3]《富平县部分地名由来之我见》,作者张继周。(富平县人民政府网,2020-05-12)
[4] [明]万历三十五年丁未(1607)“创修兴国寺钟楼(碑)记”
[5] [清]嘉庆十七年壬申(1812)“乘宗和尚行寔塔铭”。
[6] [清]光绪十五年(1889)“吉臣陈公墓志铭”。
[7] “皇清议叙经学大贡元孝庭井公墓志铭”。
[8] 樊版《富平县志》( [清]光绪十七年版)之叙——谭麐。
[9]《光绪年间<富平县志>在关山惊现之谜”》,作者冉学东。(《西安晚报》社会新闻版,2002年4月22日)
[10]《光绪年间<富平县志>在关山惊现之谜”》,作者冉学东,(新浪博客关山牧)网址:http://blog.sina.com.cn/s/blog_5cea06e80100ayqt.html。
[11] 《冉学东二十年前<富平县志>新闻稿再引关注》 陈兆凤堂玄孙陈高善属文回应”文化艺术网-文化艺术报,网址:http://www.whysw.org/html/xinwen/shanxizixun/20200802/27632.html。