点击上方“中国教育新闻网”订阅我们
教育部关于公示2016年全国青少年校园足球特点学校 及试点县(区)遴选结果名单的通知
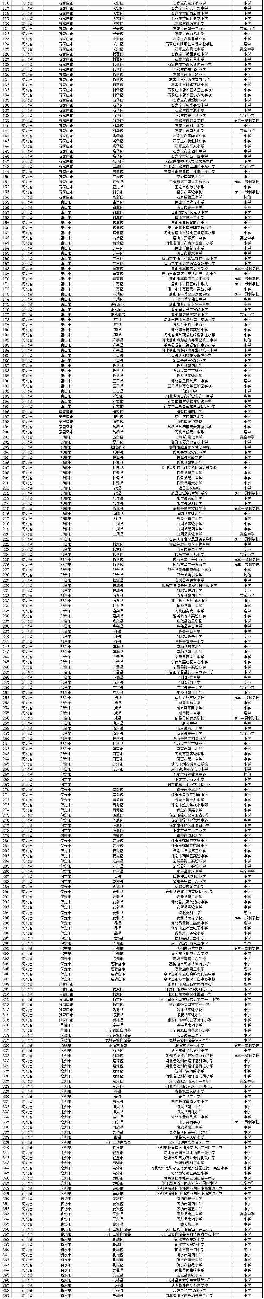
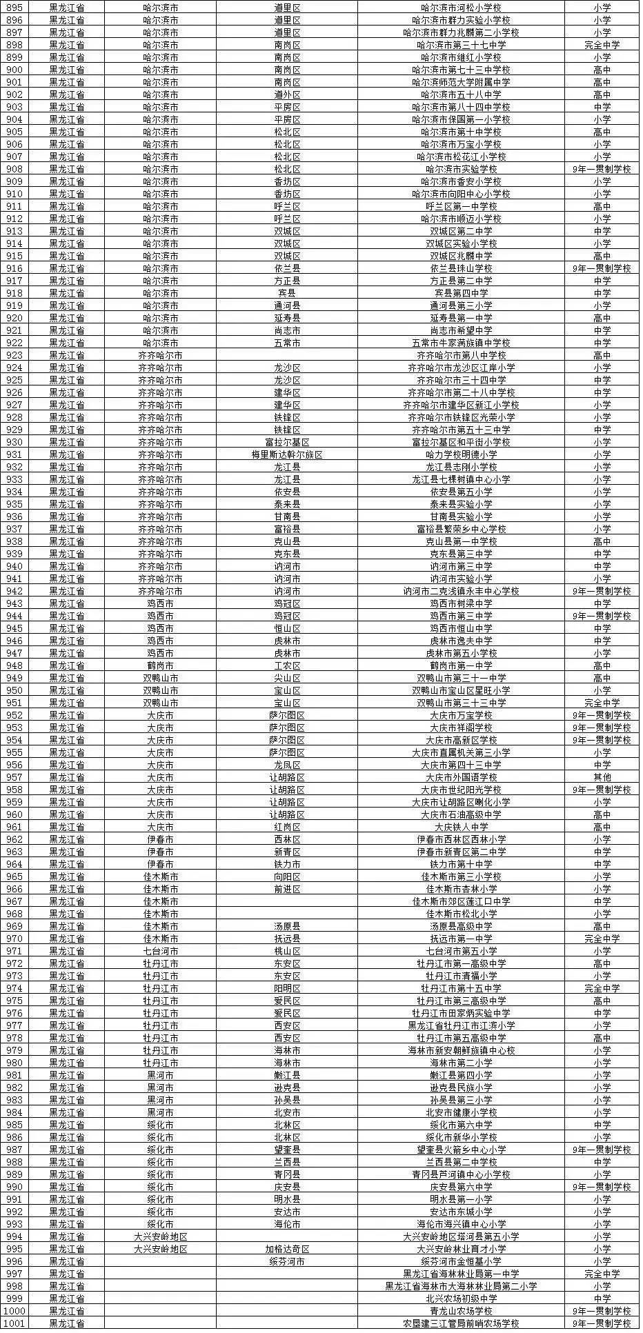
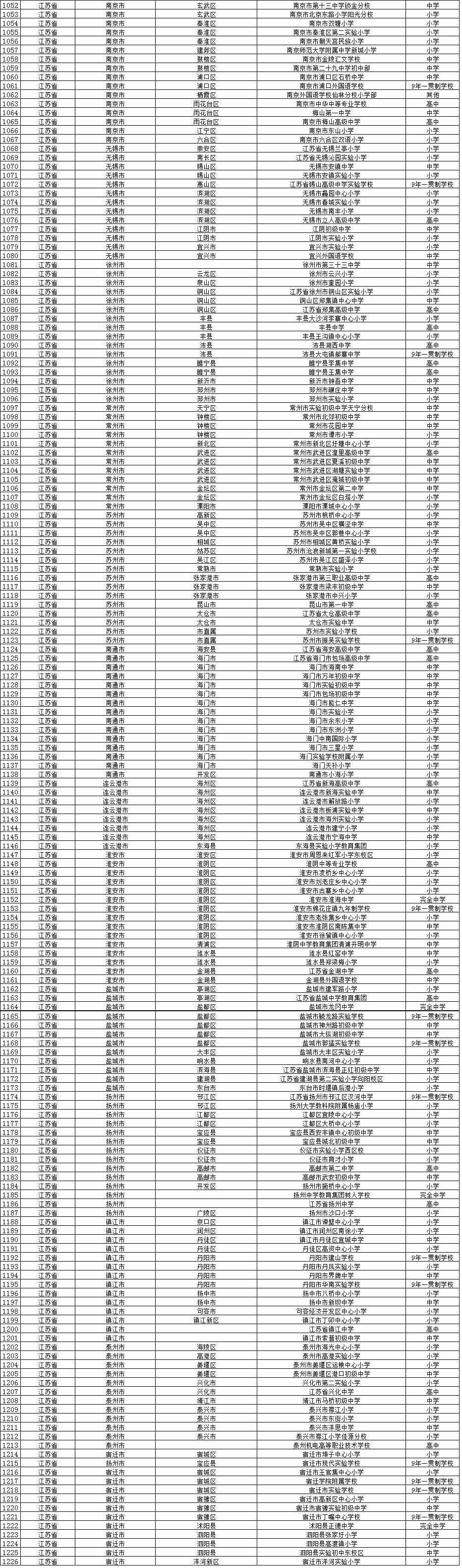
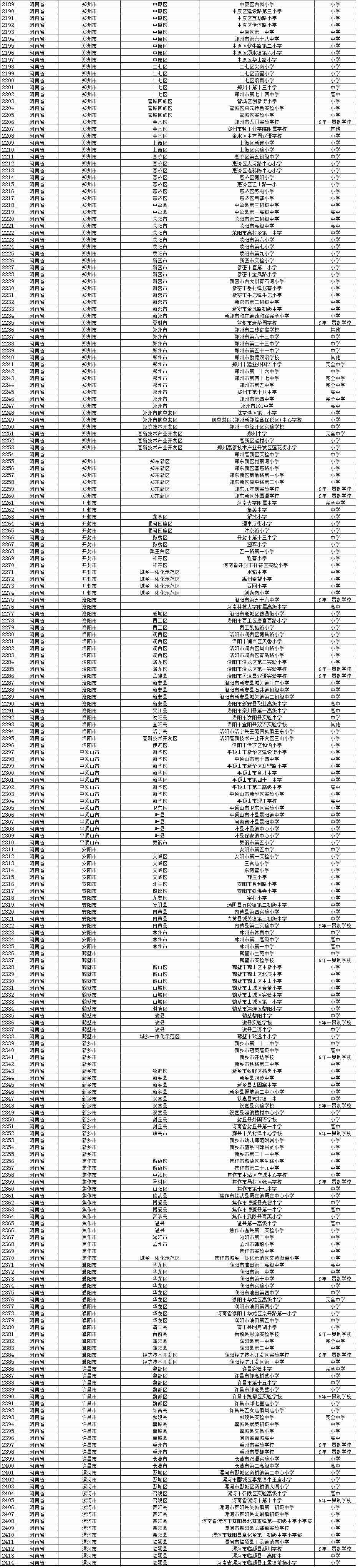
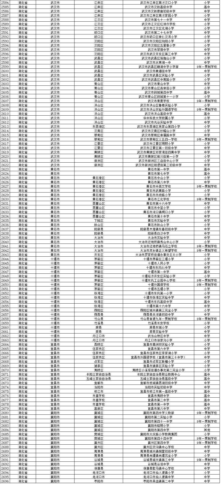
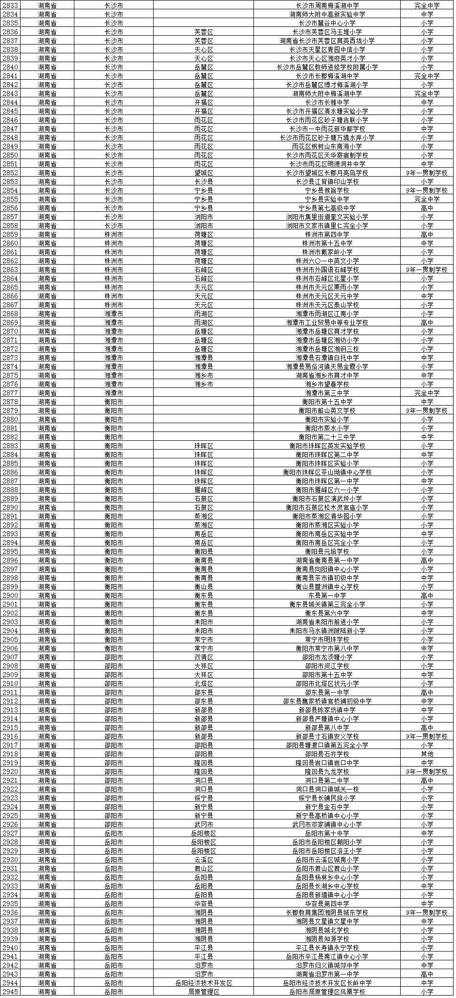
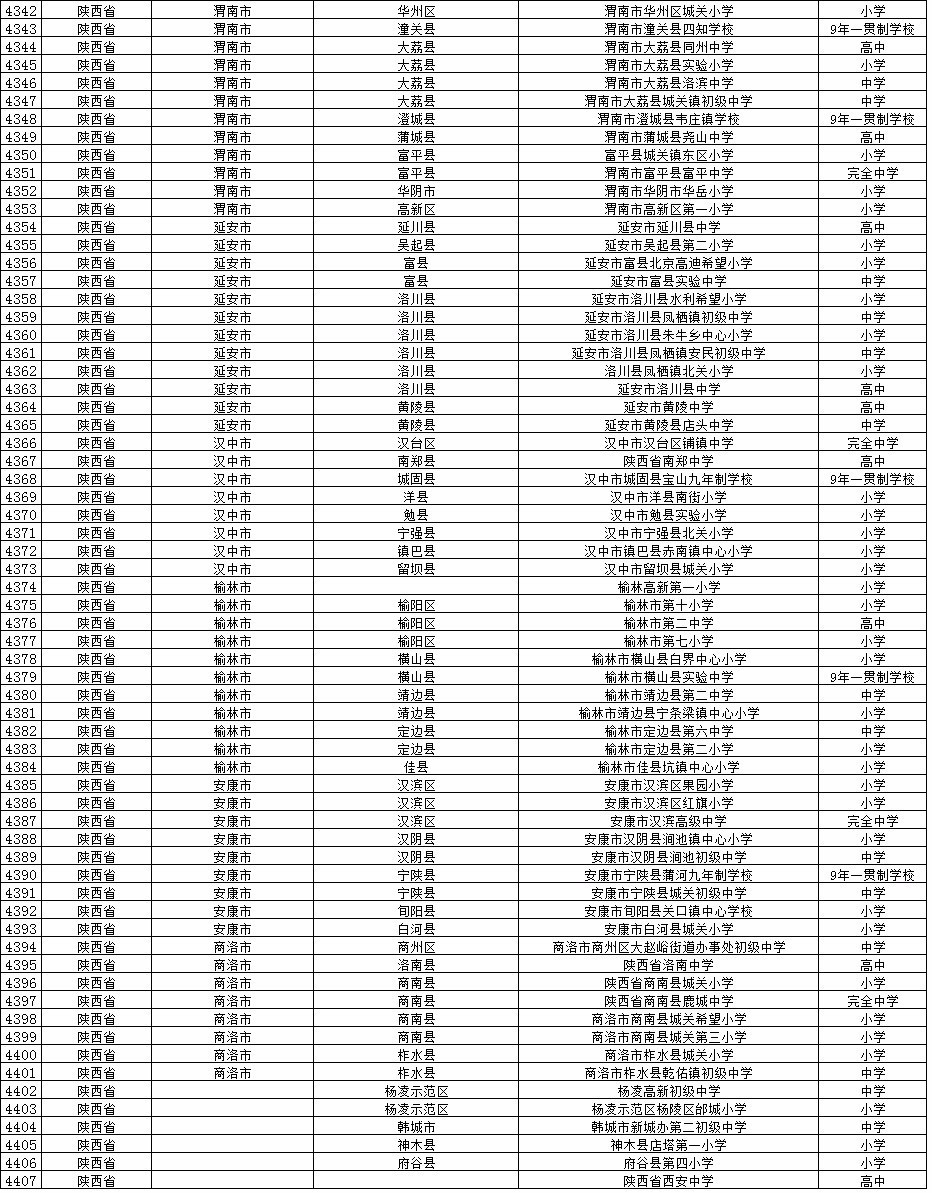
为深入贯彻落实《中国足球改革发展总体方案》《教育部等6部门关于加快发展青少年校园足球的实施意见》精神,根据《教育部办公厅关于做好2016年全国青少年校园足球特点学校及试点县(区)遴选工作的通知》(教体艺厅函〔2016〕2号)要求,在有关单位自主申报、省级教育行政部门审核推荐的基础上,我部策划专家对各地申报推荐的特点学校和试点县(区)进行了综合认定。拟认定并命名北京市第五十四中学等4755所中小学校为“全国青少年校园足球特点学校”,北京市海淀区等31个县(区)为“全国青少年校园足球试点县(区)”。现将有关名单进行公示,公示时间为2016年6月8日—6月15日(可根据发布时间算起顺延)。
公示期间,如有意见请于2016年6月16日前,通过信函邮寄或电子邮件方式反馈至我部体卫艺司。来信请寄:北京西城区大木仓胡同35号(邮政编码:100816),教育部体卫艺司体育处(收);电子邮件:[email protected]。(详情请点击下图,放大查看)





































2016年全国青少年校园足球试点县区名单
