如果你想摆脱平凡的生活,就努力让自己高傲的飞翔;如果你想告别懦弱,就让心在历练中慢慢坚强。高手从来不显山露水,也从不会将自己置于被动,与其忐忑不安,追涨杀跌,不如坐等机会。觉得难是因为不懂,懂得掌握情绪、掌握技术、循序渐进、稳扎稳打的时候,获利只是自然而然的结果。所以拐点对手在这几周提示多空又是翻倍,先涨后跌如自己掌控全局,做到就是挣到,坚守马前炮,不经历怎么回有彩虹,做到就是更好的回报,
今日操作提示:强调看涨,继续上攻1290压力,今日继续维持看涨思路和策略不变。隔夜晚盘持有1282的多单,继续看1290以上,
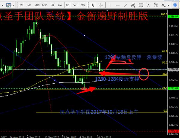
亚盘开盘1285加仓多目标1290以上,损位在1280 ,坚持亚盘先看多,防守性操作空,行情有所变化查收直播提示;
提示回忆:本周一行情震荡上行遇阻1307在亚欧盘盘中震荡慢牛时回调,在日内1304附近震荡最后在美盘晚间回调到1289附近,我们大胆在1296--1298开如做空单,然后在1295在加仓空单,目标看到1288,行情继续下跌,周二延续下跌实行情,在周二亚盘果断的在1292--1293继续空单,目标看1280附近,在时亚行欧盘回调到1285附近就开始震荡,只到美盘才跌到1280附近,然后拐点圣手就在直播里提示所有持有的空单全部出局,反手做多单,所有在1281--1282开始了多单,坚持过夜到周三,今日行情请查看财室和直播给于更大提示

日内行情轨迹先冲高回落为主,日线再次收取一根中阴线,布林带继续收口,金价跌破布林带中轨收线再中轨下方,短期均线勾头向下压制金价,RSI死叉向下,Sto指标死叉向下空头排列,日线方面上方MA5压制1292下方继续看震荡偏空走势,白盘下方关注1280附近支撑,若再次跌破1280,黄金将有机会测试1274附近;四小时方面布林带张口,金价震荡于下轨附近,上方受到各均线指标压制,Sto指标出现金叉,RSI走平,MACD空头力量减弱,四小时方面陷入震荡,小区间关注1283-1289,大区间关注1293-1274;小时线方面布林带走缓,有收口继续,RSI走缓,Sto指标死叉向下,TT指标金叉向上,MACD多头排列,小时线方面先看低位震荡;综合来看日内金价短期看低位震荡,操作上高沽低渣即可!不过今天拐点圣手坚持行情不上到1290是不罢休,因为在拐点圣手的系统自从提示1260拐点信号 以来,加上1357到1260一线的61.8黄金分界线正好1307--1305反弹小顶部开始回调信号,都是在拐点圣手信号提示出来的,动能不足,回调修复再所难免,因此拐点圣手一直认为中线多头技术就没有更变,回调1280也是正好是坚强的信号出来所以日内
今天操作多单是必然的,坚守马前炮行情提前发布操作,目前来讲1280和1290两位置继续关注不变,上方形成两大压制点1313、1290,逐个突破 才可以更好上涨,
亚盘1285进场多单, 目标1290以上, 损1275
欧盘不下跌1280 我们就加仓多单在1283 损1275 目标1295以上,看1300大关,
历史昨日见证:

证明是最好的相信