每年的3月14日也被称为“ π 日”,这自然是因为 π ≈ 3.14。在与圆相关的场景中,我们总是与 π 这个数学常数不期而遇。不过仔细思考后你可能会发现,我们对 π 这个大名鼎鼎的无理数可谓是既熟悉又陌生:π 是如此重要的数,我们却无法将它写下来;当我们将 π 的精度计算到上亿位之后,仍然不知道这些数字背后是否隐藏着某种规律……
撰文 | 伊恩·斯图尔特(Ian Stewart)
译者 | 何生
一 Π是什么数?
在计算圆的周长和面积时,我们第一次遇到了π。假设圆的半径是 r,那么其周长等于 2πr ,面积等于 πr^2 。在几何上,周长和面积这两个量并没有直接关系,所以,在这两个地方都出现了同一个 π,其实是相当不寻常的。有一种直观的方法可以理解为什么会这样:先将圆像匹萨一样分割成许多切片,然后把它们重新组成一个近似于长方形的形状(图1)。这个长方形的宽约等于圆的周长的一半,即πr,而它的高约为r。因此,它的面积可以近似为 πr × r =πr^2 。

图1. 近似的圆的面积。| 来源:piday.org
不过,这只是一种近似。也许,与周长和面积有关的数非常相近,但并不完全相等。然而,这似乎并不可能,因为不管切片分得多细,论证过程总是说得通的。如果我们用大量非常细的切片,近似将变得极其精确。事实上,通过分出任意多的切片,实际的圆和构造出来的长方形之间的误差会变得任意小。利用数学里的极限概念,可以证明这个面积公式是正确且精确的。这就是同一个数会出现在圆的周长和面积里的原因。
在这里,取极限的过程也定义了所谓的面积。面积并不像我们想象的那么简单。通过把多边形分割成三角形,可以定义多边形的面积,但是,由曲线构成的图形就不能如此分割。边长是不可公约的长方形的面积,也没那么简单。问题不在于规定“什么是面积”——它只是将相邻两边相乘,难点在于,如何证明计算结果的性质与面积应有的性质是一致的。例如,如果把图形合在一起,那么新图形的面积应该是它们的面积相加的和。学校里教的数学会快速地略过这些问题,并且希望没人会注意到它们。
数学家们为什么用一个晦涩的符号来表示一个数呢?为什么不把这个数直接写出来呢?在学校里,我们经常学到 π=22/7 ,但认真的老师会说明它只是近似的。那么,我们为什么不用一个精确的分数来表示 π 呢?因为这样的分数不存在。
π 是无理数中最著名的例子。就像根号2一样,无论分数有多复杂,都不能用来精确地表示 π。证明这一点非常难,但数学家们知道如何做到。为此,我们肯定需要一个新符号,因为常规的数字符号无法精确地写出这个特别的数。由于 π 是在整个数学领域里最重要的数之一,因此我们需要有一种方式来明确表示它。这个方式就是用希腊话中“周长”一词的第一个字母“π”。
真是造化弄人:π 是如此重要的数,我们却无法写下来,除非用非常复杂的公式。这也许是个麻烦事儿,但它的确迷人,同时也为 π 增添了几分神秘。
二 π 和圆
我们第一次遇到 π 时,大多与圆有关。圆是一种基本的数学图形,因此,与圆有关的任何事情都是值得知晓的。圆有许许多多有用的应用。2011 年,仅在日常生活的一个方面,圆的使用数量就超过了 50 亿,因为在那一年,全球汽车的保有量超过了里程碑式的 10 亿辆,而当时一辆典型的汽车有 5 个轮子——4 个在跑、1 个备用。(如今,备用的常常是补胎工具包,这样做不仅省油,而且备置起来也更便宜。)当然,从垫圈到方向盘,在汽车里还有许多其他的圆。至于在自行车、卡车、公共汽车、火车、飞机机轮等地方出现的那些圆,则更不在话下。
轮子是圆的一种几何应用。轮子被做成圆形,是因为圆上的每个点与中心的距离都相等。如果你在圆形轮胎的中心装上一根轴,它就能在平坦的路面上平稳地滚动。但是,圆还会在别的许多地方出现。池塘里的涟漪是圆的,彩虹的彩色弧线也是圆的(图2和图3)。行星的轨道也大致是圆的——精确一点的说法是,这些轨道是椭圆的,而椭圆是一种在某个方向上被压扁的圆。

图2. 涟漪 | 来源:wikipedia

图3. 彩虹——一段圆弧 |来源:wikipedia
然而,在完全不懂π为何物的情况下,工程师也能很好地设计出轮子。π的真正意义是理论性的,而且非常深奥。数学家们在圆的基本问题里第一次遇到了π。圆的大小可以由三个关系密切的数描述:
- 圆的半径——从圆心到任意圆上的点之间的距离;
- 圆的直径——圆的最大宽度;
- 圆的周长——圆自身整整一圈的长度。
其中,半径和直径之间的关系很简单:直径是半径的 2 倍,半径是直径的一半。
周长和直径之间的关系就没那么简单了。如果在圆上画一个内接正六边形,会让人觉得圆的周长要比直径的 3 倍更长一些。在图4中有6条半径,每两条配在一起后可以得到3条直径。正六边形的周长与6条半径相等,也就是3条直径的长度。很明显,圆的周长要比正六边形的周长更长。

图4. 为什么π比3大
π 的定义是:圆的周长除以它的直径。无论圆有多大,这个数的值都是一样的,因为圆形在放大或缩小时,其周长和直径保持相同的比例。大约在 2200 年前,阿基米德给出了一个完整的逻辑证明,证明指出,对于任意的圆而言,这个数是一样的。
画圆的内接正六边形,并将边数从6依次变为12、24、48,最终到96,阿基米德借此得到了一个相当精确的π值。

用小数表示的话,这两个数值分别是 3.141 和 3.143。(阿基米德使用的是几何图示,并不是实际数字。而且,他想到了我们如今在几何术语里被称为π的那个东西,因此,π是对他实际工作的现代化解读。古希腊人并没有小数记数法。)只要把用来近似圆的多边形的边数翻足够多倍,阿基米德计算 π 的方法就能算出我们想要的任意精度。后来,数学家们又发现了一些更好的方法,下文将会讲到。

图5. 阿基米德通过构造圆的内接多边形和外切多边形来逼近π的下界和上界。| 来源:piday.org
π 的前 1000 位是:
3.141592653589793238462643383279502884197169399375105820974944592307816406286208998628034825342117067982148086513282306647093844609550582231725359408128481117450284102701938521105559644622948954930381964428810975665933446128475648233786783165271201909145648566923460348610454326648213393607260249141273724587006606315588174881520920962829254091715364367892590360011330530548820466521384146951941511609433057270365759591953092186117381932611793105118548074462379962749567351885752724891227938183011949129833673362440656643086021394946395224737190702179860943702770539217176293176752384674818467669405132000568127145263560827785771342757789609173637178721468440901224953430146549585371050792279689258923542019956112129021960864034418159813629774771309960518707211349999998372978049951059731732816096318595024459455346908302642522308253344685035261931188171010003137838752886587533208381420617177669147303598253490428755468731159562863882353787593751957781857780532171226806613001927876611195909216420199
看看这些数字,它们最显著的特点就是完全没有规律。这些数字看起来是随机的,但事实上不可能,因为它们是 π 各个数位上的数字,而 π 本身是一个特定的数。缺乏规律性,更让 π 这个数显得异常奇特。数学家们猜测,所有有限长度的数字串都会出现在以小数表示的 π 的某个位置上,甚至会无限多次出现。事实上,人们猜测 π 是一个正规数,即所有给定长度的数字串会以相同频率在其中出现。这些猜想尚未被证明或证否。
三 无穷级数中的 π
π 也会出现在其他数学领域里。这些领域与圆之间往往没有明显的联系,但总会存在某个间接联系,因为这中间产生了π。同时,这也是其他定义π的方式。因为所有定义都必须得到同一个数,因此,沿着这条线索必然会证明出与圆有关的关系。但是,这种关系可能非常曲折。
例如,欧拉在 1784 年发现了数 π、e 和 i(即 - 1 的平方根)之间的关系。这个优雅的公式是:

欧拉还注意到,对某些无穷级数求和也能得到 π。1735 年,他解决了巴塞尔问题。这个问题是由彼得罗·门戈利在1644年提出的,旨在计算所有平方数的倒数之和。当时,曾有许多伟大的数学家试着去计算,但都没成功。欧拉在 1735 年算出了一个相当简洁的结果:

这一发现让欧拉在数学界声名鹊起。你能说出它和圆之间的关联吗?反正我是不知道。其中的联系不可能很直观,因为很多顶尖数学家都无法解决巴塞尔问题。实际上,它和正弦函数有关,但第一眼看上去,正弦函数与这个问题也没什么联系。
对四次方、六次方,乃至更一般的偶数次方而言,利用欧拉的方法可以得到类似的结论。例如,

如果只有奇数或偶数的话,也会有:

但是,对像三次方和五次方等奇数次方而言,则没有类似的公式,而且,人们猜想这样的公式根本不存在。
值得注意的是,这些级数及其相关问题与质数和数论之间有着很深的联系。例如,如果随机选取两个整数,那么它们没有(大于1的)公因数的概率是:

这是欧拉级数之和的倒数。
还有一个不可思议的地方也出现了π,那就是统计学。著名的“钟形曲线”的方程是:

这条曲线下方的面积正好等于根号π (图6)。
许多数学物理方程也和 π 有关。数学家们还发现了大量具有 π 的显著特征的方程。

图6. 钟形曲线
四 如何计算π?
2013 年,在经过 94 天的计算之后,近藤茂利用计算机将π算到了12 100 000 000 050 位小数——超过了 12 万亿位。实际使用的π并不需要这种级别的精度。你也不可能用它来测量真实的圆。多年以来,人们有许多计算π的方法,它们都基于 π 的公式,或是如今用公式表示出的各种过程。
人们热衷于做这类计算,他们的理由是为了了解这些公式的表现情况,或者确认新计算机的性能。但实际上,大家更多是为了打碎纪录。一些数学家沉迷于计算π的更多位数,只是因为它们“存在”,这就好像山峰与登山者之间的关系。这种痴迷于“打碎纪录”的行为并不是典型的数学研究,其本身几乎没什么意义和实用价值,但通过这类活动,人们发现了一些全新的迷人公式,并揭示出了数学和其他领域之间一些意想不到的联系。
(1)π 作为极限
通常,π的公式都涉及无穷的过程,只要执行的次数足够多,π就能得到很好的近似值。继阿基米德之后,人们在15世纪首次取得了进步。当时,古印度数学家用无穷级数之和来表示 π,这是一种将各项不断累加的求和过程。如果级数总和的值越来越接近一个明确的数(即它的极限),那么它就可以用来计算越来越精确的近似值,比如这些公式就是如此。一旦所需的精度得到满足,那么计算就可以停止。
1400 年左右,桑加马格拉玛的玛达瓦利用一种级数把π计算到 11 位。1424 年,波斯人贾姆希德·卡希对它做了改进,他像阿基米德那样,采用增加多边形的边数的方法做近似。卡希通过计算 3 × 228 边形,得到了 π 的前16 位。
阿基米德用来近似π的方法还启发了弗朗索瓦·维埃特,他于 1593年写下了π的一种新公式:

这里的点表示乘号。到 1630 年时,克里斯托夫·格里恩贝格尔用多边形方法把位数推进到了 38 位。
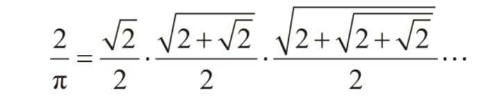
1655 年,约翰·沃利斯发现了一种不一样的公式:

它用一种十分复杂的方法计算了半圆形的面积。
1641 年,詹姆斯·格雷戈里重新发现了玛达瓦用于计算π的一种级数。格雷戈里的主要思路是用三角函数里的正切函数,记作 y = tan x 。在弧度表示法里,45° 角等于 π/4, 此时 a = b,因此有 tan (π/4) = 1 (图7)。

图7. (左)正切tan x = a/b ; (右)当x= π/4时,它的正切为 a/a =1 。
现在,让我们考虑正切函数的反函数,通常被记为 y = arctan x 。它表示“还原”正切函数,也就是说,如果 y = tan x ,那么 x = arctan y ,因此有arctan1 =π/4 。玛达瓦和格雷戈里发现了关于 arctan y 的无穷级数:

设 y = 1 ,可以得到

1699年,亚伯拉罕·夏普利用这个公式将π计算到71位,但这个级数收敛得很慢,也就是说,你必须算许多项才能得到一个比较好的近似值。1706 年,约翰·马钦利用 tan (x+y) 的三角公式证明了

接着,他把 1/5 和 1/239 代入表示 arctan x 的级数。这些数字比1小很多,因此级数收敛得很快,也更实用。马钦用他的公式将π计算到100位。1946年,丹尼尔·弗格森将这种思想推到极致,他采用了一个类似却又不一样的公式,将π计算到620位。
马钦的公式还有许多精致的变体,事实上,这类公式有一套完整的理论。1896 年,F. 施特默发现了公式:

许多更令人印象深刻的现代公式都源于这个公式。由于它有许多大分母,因此收敛速度快很多。
至此,再没有人打碎过纸笔计算的纪录。但是,机械计算器和电子计算机令计算速度更快,差错也更少。我们再来看看人们找到的那些只需少数几项就能得到非常好的近似值的计算公式。由达维徳和格雷戈里·丘德诺夫斯基兄弟发现的丘德诺夫斯基级数

其每项都能贡献14位新小数。在这里,求和记号∑代表对k的表达式求和,其中k等于从0开始的所有整数。
(2)二进制表示中的 π
还有许多其他计算π的方法,并且新方法还在不断地被发现。1997年,法布里斯·贝拉尔公布了π的第一万亿位小数,这个数用二进制表示的话是1。令人惊讶的是,贝拉尔并没有计算前面的数字。1996 年,戴维·贝利、彼得·博温和西蒙·普劳夫发现了一个很奇妙的公式:

贝拉尔采用了类似的公式,它在计算中更有效:

通过熟练地分析可知,这一方法可以给出单个位数上的二进制数值。公式的关键特征是,其中的许多数,如 4、32、64、256、 24n 和 210n ,都是2的指数次方,它们可以非常简单地在计算机内部使用二进制表达。寻找 π单个位数上的二进制数值,这一纪录很容易被打碎:2010 年,雅虎的施子和计算了π的第 2000 万亿位小数,其结果是 0。
这个公式还可以被用于单独计算基底为 4、8 和 16 的 π 的单个位数上的数值。基于其他基底的公式尚未被发现。尤其是,我们无法单独计算十进制 π 的单个位数上的数值。这类公式存在吗?在贝利–博温–普劳夫公式发现之前,也没人觉得在二进制里会有可以计算单个位数上的值的公式。
五 “化圆为方”可能吗?
古希腊人寻找过一种化圆为方的几何作图法。所谓“化圆为方”是指已知圆形的面积,求作与其面积相同的正方形的边。人们最终证明,它和三等分角和倍立方体一样,仅用尺规作图是无法做到的。证明的关键是知道π是哪种数。
我们已经知道,π不是有理数。有理数的下一类是代数数,它满足系数是整数的多项式方程。例如,是代数数,它满足方程 x^2 = 2。不是代数数的实数被称为超越数,而第一个证明了π是无理数的兰贝特在1761年猜测,π实际上是超越数。
时隔112 年,查尔斯·埃尔米特于1873 年在这个问题上取得了第一次重大突破,他证明了,在数学里的另一个奇妙数——自然对数的底e是超越数。1882年,费迪南德·冯·林德曼通过改进埃尔米特的方法,证明了如果一个非零数是代数数,那么e的该数次方也是超越数。接着,他利用了欧拉公式,即e^iπ =−1 。如果π 是代数数,那么iπ 也是。因此,根据林德曼定理可知,−1不满足代数方程。然而,它显然是满足代数方程的,如方程 x+1= 0。唯一避免这一逻辑矛盾的方法就是,π不满足代数方程,也就是说,它是超越数。
这个定理带来的一个重要影响就是,它解答了化圆为方这个古代几何问题。该问题讨论了,如何只用直尺和圆规构造一个与圆形面积相同的正方形。这等价于利用长度为1 的线段构造出长度为π的线段。根据解析几何,用这种方法构造出来的数必须是代数数。由于π不是代数数,所以这种构造方法不存在。
但是,即便在今天,这一结论并没有让某些人停止寻找尺规作图的方法。这些人似乎不明白,数学上的“不可能”意味着什么。这个困惑长久以来一直存在。1872 年,德摩根写了一部名为《悖论集》(A Budget of Paradoxes)的著作,他在书中指出了许多所谓“化圆为方”方法的错误,并把它们比作成群的苍蝇在大象周围飞舞,嗡嗡地叫着“我比你大”。但在 1992 年,安德伍德·达德利在《数学狂怪》(Mathematical Cranks)一书里仍继续着尺规作图的任务。他想尽办法用其他工具探索如何在几何上近似π,希望找到构造它的方法。但请你明白,严格来说,传统意义上的尺规作图方法是不存在的。
本文经授权选自《不可思议的数》,略有修改。