AI 科技评论按,本文为韦易笑在知乎问题如何学习SVM(支持向量机)以及改进实现SVM算法程序下面的回复,AI 科技评论获其授权转载。
韦易笑知乎网址:
https://www.zhihu.com/people/skywind3000/activities
知乎问题:
https://www.zhihu.com/question/31211585/answer/640501555
以下为正文:
学习 SVM 的最好方法是实现一个 SVM,可讲理论的很多,讲实现的太少了。
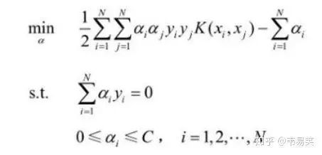
假设你已经读懂了 SVM 的原理,并了解公式怎么推导出来的,比如到这里:

SVM 的问题就变成:求解一系列满足约束的 alpha 值,使得上面那个函数可以取到最小值。然后记录下这些非零的 alpha 值和对应样本中的 x 值和 y 值,就完成学习了,然后预测的时候用:

上面的公式计算出 f(x) ,如果返回值 > 0 那么是 +1 类别,否则是 -1 类别,先把这一步怎么来的,为什么这么来找篇文章读懂,不然你会做的一头雾水。
那么剩下的 SVM 实现问题就是如何求解这个函数的极值。方法有很多,我们先找个起点,比如 Platt 的SMO 算法(https://www.microsoft.com/en-us/research/wp-content/uploads/2016/02/tr-98-14.pdf),它后面有伪代码描述怎么快速求解 SVM 的各个系数。
第一步:实现传统的 SMO 算法
现在大部分的 SVM 开源实现,源头都是 platt 的 smo 算法,读完他的文章和推导,然后照着伪代码写就行了,核心代码没几行:
target = desired output vector
point = training point matrix
procedure takeStep(i1,i2)
if (i1 == i2) return 0
alph1 = Lagrange multiplier for i1
y1 = target[i1]
E1 = SVM output on point[i1] – y1 (check in error cache)
s = y1*y2
Compute L, H via equations (13) and (14)
if (L == H)
return 0
k11 = kernel(point[i1],point[i1])
k12 = kernel(point[i1],point[i2])
k22 = kernel(point[i2],point[i2])
eta = k11+k22-2*k12
if (eta > 0)
{
a2 = alph2 + y2*(E1-E2)/eta
if (a2 < L) a2 = L
else if (a2 > H) a2 = H
}
else
{
Lobj = objective function at a2=L
Hobj = objective function at a2=H
if (Lobj < Hobj-eps)
a2 = L
else if (Lobj > Hobj+eps)
a2 = H
else
a2 = alph2
}
if (|a2-alph2| < eps*(a2+alph2+eps))
return 0
a1 = alph1+s*(alph2-a2)
Update threshold to reflect change in Lagrange multipliers
Update weight vector to reflect change in a1 & a2, if SVM is linear
Update error cache using new Lagrange multipliers
Store a1 in the alpha array
Store a2 in the alpha array
return 1
endprocedure
核心代码很紧凑,就是给定两个 ai, aj,然后迭代出新的 ai, aj 出来,还有一层循环会不停的选择最需要被优化的系数 ai, aj,然后调用这个函数。如何更新权重和 b 变量(threshold)文章里面都有说,再多调试一下,可以用 python 先调试,再换成 C/C++,保证得到一个正确可用的 SVM 程序,这是后面的基础。
第二步:实现核函数缓存
观察下上面的伪代码,开销最大的就是计算核函数 K(xi, xj),有些计算又反复用到,一个 100 个样本的数据集求解,假设总共要调用核函数 20 万次,但是 xi, xj 的组和只有 100x100=1 万种,有缓存的话你的效率可以提升 20 倍。
样本太大时,如果你想存储所有核函数的组和,需要 N*N * sizeof(double) 的空间,如果训练集有 10 万个样本,那么需要 76 GB 的内存,显然是不可能实现的,所以核函数缓存是一个有限空间的 LRU 缓存,SVM 的 SMO 求解过程中其实会反复用到特定的几个有限的核函数求解,所以命中率不用担心。
有了这个核函数缓存,你的 SVM 求解程序能瞬间快几十倍。
第三步:优化误差值求解
注意看上面的伪代码,里面需要计算一个估计值和真实值的误差 Ei 和 Ej,他们的求解方法是:
E(i) = f(xi) - yi
这就是目前为止 SMO 这段为代码里代价最高的函数,因为回忆下上面的公式,计算一遍 f(x) 需要 for 循环做乘法加法。
platt 的文章建议是做一个 E 函数的缓存,方便后面选择 i, j 时比较,我看到很多入门版本 SVM 实现都是这么做。其实这是有问题的,后面我们会说到。最好的方式是定义一个 g(x) 令其等于:

也就是 f(x) 公式除了 b 以外前面的最费时的计算,那么我们随时可以计算误差:
E(j) = g(xj) + b - yj
所以最好的办法是对 g(x) 进行缓存,platt 的方法里因为所有 alpha 值初始化成了 0,所以 g(x) 一开始就可以全部设置成 0,稍微观察一下 g(x) 的公式,你就会发现,因为去掉了 b 的干扰,而每次 SMO 迭代更新 ai, aj 参数时,这两个值都是线性变化的,所以我们可以给 g(x) 求关于 a 的偏导,假设 ai,aj 变化了步长 delta,那么所有样本对应的 g(x) 加上 delta 乘以针对 ai, aj 的偏导数就行了,具体代码类似:
double Kik = kernel(i, k);
double Kjk = kernel(j, k);
G[k] += delta_alpha_i * Kik * y[i] + delta_alpha_j * Kjk * y[j];
把这段代码放在 takeStep 后面,每次成功更新一对 ai, aj 以后,更新所有样本对应的 g(x) 缓存,这样通过每次迭代更新 g(x) 避免了大量的重复计算。
这其实是很直白的一种优化方式,我查了一下,有人专门*论发**文就讲了个类似的方法。
第四步:实现冷热数据分离
Platt 的文章里也证明过一旦某个 alpha 出于边界(0 或者 C)的时候,就很不容易变动,而且伪代码也是优先在工作集里寻找 > 0 and < C 的 alpha 值进行优化,找不到了,再对工作集整体的 alpha 值进行迭代。
那么我们势必就可以把工作集分成两个部分,热数据在前(大于 0 小于 C 的 alpha 值),冷数据在后(小于等于 0 或者大于等于 C 的 alpha)。
随着迭代加深,会发现大部分时候只需要在热数据里求解,并且热数据的大小会逐步不停的收缩,所以区分了冷热以后 SVM 大部分都在针对有限的热数据迭代,偶尔不行了,再全部迭代一次,然后又回到冷热迭代,性能又能提高不少。
第五步:支持 Ensemble
大家都知道,通过 Ensemble 可以让多个不同的弱模型组和成一个强模型,而传统 SVM 实现并不能适应一些类似 AdaBoost 的集成方法,所以我们需要做一些改动。可以让外面针对某一个分类传入一个“权重”过来,修正 SVM 的识别结果。
最传统的修改方式就是将不等式约束 C 分为 Cp 和 Cn 两个针对 +1 分类的 C 及针对 -1 分类的 C。修改方式是直接用原始的 C 乘以各自分类的权重,得到 Cp 和 Cn,然后迭代时,不同的样本根据它的 y 值符号,用不同的 C 值带入计算。
这样 SVM 就能用各种集成方法同其他模型一起组成更为强大精准的模型了。
实现到这一步你就得到了功能上和性能上同 libsvm 类似的东西,接下来我们继续优化。
第六步:继续优化核函数计算
核函数缓存非常消耗内存,libsvm 数学上已经没得挑了,但是工程方面还有很大改进余地,比如它的核缓存实现。
由于标准 SVM 核函数用的是两个高维矢量的内积,根据内积的几个条件,SVM 的核函数又是一个正定核,即 K(xi, xj) = K(xj, xi),那么我们同样的内存还能再多存一倍的核函数,性能又能有所提升。
针对核函数的计算和存储有很多优化方式,比如有人对 NxN 的核函数矩阵进行采样,只计算有限的几个核函数,然后通过插值的方式求解出中间的值。还有人用 float 存储核函数值,又降低了一倍空间需求。
第七步:支持稀疏向量和非稀疏向量
对于高维样本,比如文字这些,可能有上千维,每个样本的非零特征可能就那么几个,所以稀疏向量会比较高效,libsvm 也是用的稀疏向量。
但是还有很多时候样本是密集向量,比如一共 200 个特征,大部分样本都有 100个以上的非零特征,用稀疏向量存储的话就非常低效了,openCV 的 SVM 实现就是非稀疏向量。
非稀疏向量直接是用数组保存样本每个特征的值,在工程方面就有很多优化方式了,比如用的最多的求核函数的时候,直接上 SIMD 指令或者 CUDA,就能获得更好的计算性能。
所以最好的方式是同时支持稀疏和非稀疏,兼顾时间和空间效率,对不同的数据选择最适合的方式。
第八步:针对线性核进行优化
传统的 SMO 方法,是 SVM 的通用求解方法,然而针对线性核,就是:
K(xi, xj) = xi . xj
还有很多更高效的求解思路,比如 Pegasos 算法就用了一种类似随机梯度下降的方法,快速求 SVM 的解权重 w,如果你的样本适合线性核,使用一些针对性的非 SMO 算法可以极大的优化 SVM 求解,并且能处理更加庞大的数据集,LIBLINEAR 就是做这件事情的。
同时这类算法也适合 online 训练和并行训练,可以逐步更新增量训练新的样本,还可以用到多核和分布式计算来训练模型,这是 SMO 算法做不到的地方。
但是如果碰到非线性核,权重 w 处于高维核空间里(有可能无限维),你没法梯度下降迭代 w,并且 pegasos 的 pdf 里面也没有提到如何用到非线性核上,LIBLINEAR 也没有办法处理非线性核。
或许哪天出个数学家又找到一种更好的方法,可以用类似 pegasos 的方式求解非线性核,那么 SVM 就能有比较大的进展了。
后话
上面八条,你如果实现前三条,基本就能深入理解 SVM 的原理了,如果实现一大半,就可以得到一个类似 libsvm 的东西,全部实现,你就能得到一个比 libsvm 更好用的 SVM 库了。
上面就是如何实现一个相对成熟的 SVM 模型的思路,以及配套优化方法,再往后还有兴趣,可以接着实现支持向量回归,也是一个很有用的东西。