故障树的基本认识
故障树:用以表明产品哪些组成部分的故障或外界事件或它们的组合将导致产品发生一种给定故障的逻辑图。故障树是一种逻辑因果关系图,构图的元素是事件和逻辑门:事件用来描述系统和元、部件故障的状态;逻辑门把事件联系起来,表示事件之间的逻辑关系。
故障树分析(FTA):通过对可能导致产品故障的硬件、软件、环境、人为因素进行分析,画出故障树,从而确定产品故障原因的各种可能组合方式和(或)其发生概率。

1、目的、特点
(1)目的
帮助判明可能发生的故障模式和原因;
发现可靠性和安全性薄弱环节,采取改进措施,以提高产品可靠性和安全性;
计算故障发生概率;
发生重大故障或事故后,FTA是故障调查的一种有效手段,可以系统而全面地分析事故原因,为故障“归零”提供支持;
指导故障诊断、改进使用和维修方案等。
(2)特点
是一种自上而下的图形演绎方法;
有很大的灵活性;
综合性:硬件、软件、环境、人素等;
主要用于安全性分析。
2、FTA工作要求
(1)在产品研制早期就应进行FTA,以便早发现问题并进行改进。随设计工作进展,FTA应不断补充、修改、完善。
(2)“谁设计,谁分析。”:故障树应由设计人员在FMEA基础上建立。可靠性专业人员协助、指导,并由有关人员审查,以保证故障树逻辑关系的正确性。
(3)应与FMEA工作相结合:应通过FMEA找出影响安全及任务成功的关键故障模式(即I、II类严酷度的故障模式)作为顶事件,建立故障树进行多因素分析,找出各种故障模式组合,为改进设计提供依据。
(4)FTA输出的设计改进措施,必须落实到图纸和有关技术文件中。
(5)应采用计算机辅助进行FTA:由于故障树定性、定量分析工作量十分庞大,因此建立故障树后,应采用计算机辅助进行分析,以提高其精度和效率。

3、常用事件、逻辑门符号
(1)常用事件符号

(2)常用逻辑门符号



2故障树的分析
1、故障树分析
(1)建树步骤
广泛收集并分析系统及其故障的有关资料;
选择顶事件;
建造故障树;
简化故障树。
(2)分析步骤
建立故障树;
故障树定性分析
故障树定量分析
重要度分析
分析结论:薄弱环节
确定改进措施。

2、故障树定性分析
(1)目的
寻找顶事件的原因事件及原因事件的组合(最小割集);
发现潜在的故障;
发现设计的薄弱环节,以便改进设计;
指导故障诊断,改进使用和维修方案。
(2)割集、最小割集
割集:故障树中一些底事件的集合,当这些底事件同时发生时,顶事件必然发生;
最小割集:若将割集中所含的底事件任意去掉一个就不再成为割集了,这样的割集就是最小割集。
(3)示例

3、故障树定量分析
(1)假设
独立性:底事件之间相互独立;
两态性:元、部件和系统只有正常和故障两种状态
指数分布:元、部件和系统寿命
(2)故障树的数学描述

(3)典型逻辑门的概率计算

(4)顶事件发生概率计算
①最小割集之间不相交

②最小割集之间相交
1—全概率法

2—直接化法

3—递推化法

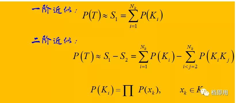
4—近似算法

3故障树的简化
1、故障树的简化


2、故障树的模块分解

IATF16949-2016版汽车行业质量管理体系程序文件标准培训全套资料