2016年高考数学考试已经结束,新东方在线郭少山老师第一时间为大家带来2016高考北京卷数学试题解析,我们来逐题看一下。
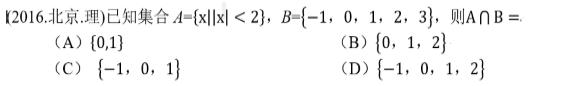
【真题】

【郭少山老师解析】
北京卷的第一题当中考了一个集合,集合和不等式是综合的最好的衔接。集合A确实考了不等式,关于绝对值不等式的解法初中就有了。最后考了集合和集合之间的运算,这道题比较简单,主要是帮助大家能在非常紧张的情绪下快速的稳定下来。
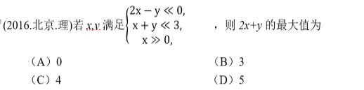
【真题】

【郭少山老师解析】
第二题也是历年一个必考点,是线性规划的问题。然而这个线性规划是非常传统的,其中目标函数是一个标准的解决性。这道题有的同学说,我可以把这道题画出来,然后把我们的目标函数进行平移,从而解决最值问题。这两道题虽然是简单题,我想请问同学们这样一个问题,简单题比的是正确率吗?简单题比的是会与不会吗?简单题在我们考试当中比的就是速度,俗话说考场一刻值千金。如果我们能在简单题上省出五分钟,是不是最后一道难题,压轴题,给我们更多的思考空间。这道题我不建议可以一上来就画图,这道题非常的典型,这时候我完全可以直接带点来看,谁最大谁就是最大值。
【真题】

【郭少山老师解析】
这道题是我们今年北京2016年理科的第七题。选择题的倒数第二题,难度在历年来讲都不会太容易,这时候我们一起来分析一下究竟区分点在什么地方,为什么说是一道比较好的有区分度的题目。首先他说函数
上有一个点P,把点向左平移s个单位,这个地方有一个审题的问题,因为通常来讲我们在讲三角函数的过程当中,一般来说我们所谓的平移是对函数或者是对自变量进行平移,然而这道题有一点点小的变化,是对图像上的点进行平移,这个地方需要把题目审住。然后向左平移s单位以后,然后说得到一个点P’,并且P’位于sin(2x)的图像上,一个是参数t,一个是s的最小值。关于参数t第一句话就足够了,因为过点P(π/4,t),可以代入函数y当中,解出来非常简单。第二个s的最小值从何而来,在我们的本质上就考察了三角函数是有周期性的。简单点说同样一个函数值,可能有无穷多个,很多很多个我们的自变量与之对应,我们现在来看一下最小值。这道题为什么不是简单题呢?就是因为综合了很多三角函数的知识,所以老师在这个地方跟大家提醒,简单题目为什么简单,因为简单题目的考法比较单一,考点比较单纯,比较纯粹。所谓有区分度比较困难的题目,为什么困难呢?就是因为这道题本身的信息量比较大,这道题所包含的考点和复合型的知识点比较多而已,仅此而已。
【真题】

【郭少山老师解析】
这是我们北京市今年2016年理科的第8题,首先说的是给了一个函数,第一问求a,b的值。在高考之前的课程上,曾经无数次提到过关于倒数的几何意义,就两种出题方面,一种情况下求已知的解析式,还有一点就是我们今年的真题,告诉你方程,先你去确定解析式当中的参数值。给大家强调过,这种题的关键就是再说明这个点是切点,有三个条件能满足。第一,切点的横坐标的倒函数值就是切线斜率,第二所谓切点一定在曲线上,也一定在直线上。我们只需要列两个方程就可以搞定,这道题的第一问没有什么大的问题。
重点看第二问,求f(x)单调区间。我们一起分析一下这道题区分度在什么地方。这个函数是我们平时不常见的函数,不是我们的初等函数,一眼就能看出,是比较复杂的函数,所以在这种情况下我们需要对这个函数进行求倒,这时候有一个易错点出现了,在于复合函数,你是否掌握清楚了,这是第二个。同学们,当你们求完导以后发现,这个不等式或者方程,不怎么会解。这个地方的区分度是最大的,跟大家强调说目标函数求倒以后有三种形式,第一种类型是一次,第二种是二次,如果只掌握这些就把你PK下去了。所以这时候必须要掌握超越的方程怎么解,我们只能用函数的最值来判定。这两道题的区分度,可以说在今年的北京卷当中出的又不是很难,但区分的目的达到了,个人认为这个题出得非常的漂亮。
【真题】

【郭少山老师解析】
这是今年我们2016年北京理科的一道题。首先我们来看一下这道题,在四棱锥ABCD当中,我们每年在考立体几何的时候不是三棱锥就是四棱,我们在之后的课程的深度解析当中会给大家详细的说明,接下来看北京卷。在北京卷这个地方说是PABCD当中,平面PAD垂直于平面PED,面面垂直首先要想到过其中的一个平面曲做它们相交直线的垂线,为什么有这样的辅助线呢,因为这个时候看会不会相互垂直。PA垂直于PD,第一问当中的线面垂直非常简单,我们只需在平面PAD当中找两条相交直线,这个时候我们应该去找哪一条直线呢?我们来看一下。首先人家说了AB和AD垂直,刚才老师在这个地方分析过这个问题,如果有其中一条直线垂直于两条相交的直线,那么这条直线就垂直于这个平面。AB和PD就垂直。看看还有没有起来的东西,这时候我们再可以去做其他的辅助线,这时候我们可以用这样的审题过程证明线面垂直。第二问很简单的,是线面角的正弦值,通常选用的手法是空间向量,根据我们的立体几何图形建立空间直角坐标系,这道题如何建立会比较方便一些?我的间隙原则是尽量把我们的几何题放在我们整个空间直角坐标系的第一线,保证X轴、Y轴、Z轴的坐标都是正的,这样算起来我们不容易出错。如果你实在做不到的情况下,也可以尽量的放在第一挂线,或者是放在一个对称的位置上。这道题的间隙过程非常简单,因为AB和AD垂直,只需要延着点A向上去建立Z轴就可以了,所以通过这样的一道题目我们来看第二问。关键是重点来看一下第三问,重点是PA上是否存在M,使得BM平行于平面,关于某线段上一个动点问题,我们在我们的课程当中来把这个当成动点来讲,我们看一下有什么样不可思议的现象。
【真题】

【郭少山老师解析】
这是来自于2013年北京的立体几何的题目,第三问,同学们是否还记得。今年考的是线面平行,2013年考的是线线垂直,还有不可思议的地方。2012年还是北京市理科生的考题,是否存在点P使得面面垂直。通过样一个惊人的相似度,我们不妨能反省一下,或者说我们给自己提醒,在备战2017年高考的过程当中,我们是不是要沿着这样一个方向,这样一个真题的出题的规律,去把握出题的脉络。
【真题】

【郭少山老师解析】
这是今年来自于2016年北京的题,这道题考得非常简单。一个交点是根号
,
a等多少,b等于多少。因为渐进性我们都知道y=±bx/a,就说明a和b的关系告诉你了,又因为交点是c,也告诉你了,又因为在双曲线当中c2=a2+b2,所以这个地方我们可以把a和b顺利的求出来。
【真题】

【郭少山老师解析】
刚刚过去的2015年的考题就出现了这样的问题,有什么样的相似度?这时候说给了一条渐进线,只不过这道题是告诉你c,2015年告诉你的是b,完全是一样的。
【真题】

【郭少山老师解析】
今年考的三视图有一点点小的创新,题目当中说得非常明确说注意审题,三棱锥,首先你要找的是三棱锥那个尖在哪儿,先来看俯视图,由于俯视图在这个位置上,各位请看,它是虚线,所以打碎常规,这个尖就不可能在这个位置上,所以对应正视图来看,这个尖就在这个位置。还有一种方式可以让你们很快速的找到,我们可以找到这样的几何,叫做正方体。这是今年刚刚考过的。
【真题】

【郭少山老师解析】
2012年北京,大家看一下这两个图,别的图都不看,就看俯视图,是不是有一点点似曾相识。关于这样一个俯视图,首先这是实线,这是虚线。所以在这个位置方面,我们来看一下这个地方它的尖应该会在这个位置上出现。所以这两道题在我们看来也是有一定的传承性所在。这道题当然不同的是,说的是表面积和体积的区分。
【真题】

这是我们今年高考北京理科填空题的压轴题。首先给了一个函数,这个函数是分段函数。第一问告诉你a=0,求f(x)的最大值。若无最大值,则a的取值范围。说分段函数的处理,第一种情况你一定要先干什么?要先画图,无论让你处理分段函数的什么东西,这个时候我们对于分段函数一定先画图,如果把图画出来所有的问题迎刃而解。重要的是第二问,请问实数a的取值范围,必须熟悉这个函数本身的图像是什么样,它是一个三次函数,仅仅有一个要求,就是三次向这个系数a的正负,能代表这个函数有什么样的走势,其实很简单,如果数字是正数,有表明图像一直在往上,如果是负向的就一直往下降。我们可以求出原来大概是这样一个东西,很明显这个东西是y=-2x,就是这样的一个函数。很容易可以得到这两个点的坐标,。a在什么地方的时候有最大值,a在什么地方的时候没有最大值,这个地方也是1,这时候我们来看一下a大于-1怎么样,a小于-1怎么样,a=-1怎么样。
【真题】

【郭少山老师解析】
2015年的最后一道压轴填空题,分段函数,给了一个参数的值让你求最小值,一模一样,只不过第二问是讨论的零点,零点能用图像吗?零点图像法应该取决于零点转化成交点。
【真题】

【郭少山老师解析】
这是我们今年的理科考试的压轴题,首先立意,结合点并不是那么太创新,因为有关于数列和集合的问题,其实是我们北京卷的一个特点。反而没有了数列和集合的问题,我们会觉得更难受一点。也就是说在内容和综合体系方面并没有太大的创新,创新点是在于第一问和第二问的衔接。这体现了我们在数学学习过程当中最基本的思想和方法,数学最地道最回归本质的方法就是,先猜想再证明。靠什么猜想?靠实验。我们的数学也有实验的。当然不像我们化学和物理做实验。我们数学的实验纯是靠一些简单的特殊的数字或者是状态往里代得到的,然而人家没有问你,而是列举思路的引导,由简到繁的思想。第二问是证明一个东西,创新点是,一般证明我们学过推理与证明这个章节,在个章节当中其实证明有两种方式,一种是直接,一种是间接。其中直接证明有分析法,有综合法,间接证明只学过一种。今年的这道题用反证法写格外的漂亮。所以这个地方会给我们另外一个启示,考试过程中,学习过程当中,考点只有说重点或不重点,没有说谁考,谁不考。在未来备战2017年的高考过程中,给各位一个建议,就是千万不要在任何的知识点,任何的考点,任何的题型,任何的方法上有盲点。这样才能保证在最后的考试当中取得比较稳定,比较好的成绩。第三问直接就证明就可以了。
以上是新东方在线郭少山老师为大家带来的2016高考北京卷数学解析,新东方在线陆续会做出2016年高考其他科目的更多解析,请大家关注。