沥青路面压实度判定过程中,传统随机抽样法局限明显,不能完整判断整个工程的质量情况。PaveScan RDM 2.0连续式路面压实测量仪可以提供精确的实时测量,将沥青路面密度评估带入2.0时代。

沥青压实度
压实度对沥青混凝土的早期破坏和长期性能有重要影响。目前对沥青路面压实效果的典型评价包括覆盖范围有限的一些方法,如无核(核子)密度仪法以及破坏性的方法,如取芯法等,这些方法以抽样的方式对摊铺沥青路面进行质量检查,但是存在破坏或者无法客观评价路面整体施工质量的问题。因此,需要全面检测路面质量的无损测试方法,即能够实现连续数据采集,且能够对路面结构进行无损检测。探地雷达技术为这一目的提供了可行性,提供了一种非破坏性、连续测试的方案。
路面压实度不足易导致的路面破坏类型

传统定点测试方法
在沥青路面施工过程中,对于检测机构来说仅能根据几个随机抽样点的结果判定工程质量是否合格。但在路面工程实际施工中,整体压实度存在一定的差异性。
在下图的情况中,检测中选取的点正好为压实合格点,因此判定现场整个摊铺路面是符合质量要求的,但实际整个项目有明显的压实度不足的情况(统计类型II错误)。由于路面的使用寿命通常是由性能最差的地方决定,因此会导致摊铺路面出现质量差、寿命短的问题。
II型判断错误-检测没问题,实际有问题

另一方面,当随机样本位置与局部欠压实区域重合时,施工方可能会面临,即使整个项目的大部分都是合格的,但仍然会被判定为项目有瑕疵(统计类型I的错误)。
I型判断错误-检测有问题,实际没问题

以上的两种错误判断类型都是由目前定点检测所带来的随机误差导致,进而导致不能从根本上了解项目实际情况,无法对质量进行准确把控。基于现状,连续且全面的压实质量检测便越来越受到行业人员的青睐和关注。
连续路面压实度无损测量原理
作为一种连续测试方法,探地雷达逐渐在国内外的相关测试中得到认可,在工程的QC / QA(质量控制/质量保证)中起到了积极作用,大大提高了检测效率和测试普查精度,为质量把控和落实修建方案提供了有利参考。
探地雷达测试原理
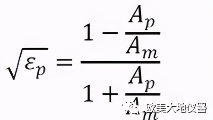
探地雷达的工作原理是发送电磁波离散脉冲在路面和捕捉反射信号的不同层之间传动,用雷达反射振幅和反射之间的时间延迟来计算层介电常数(公式1),由于空气的介电常数小于沥青混合料的其他组分,所以沥青混合料的综合介电常数会随着压实程度的增大而增大,因此,测量的介电常数与压实度成正比。

式中:
=路面表面的介电值;
Ap =路面表面的反射振幅;
Am =源振幅,用金属板反射测量来评估;
不同材料的介电常数不尽相同。热拌沥青混合料(HMA)的一般表面介电常数在4~6之间,区别取决于骨料类型、沥青含量和级配。介电值高往往表明材料内部含有水分。

低频雷达可以穿透到路面深处,而高频雷达(2GHz以上)可以测量较浅的深度,但是分辨率更高。因此,对于小于2in (5.08cm)厚的典型HMA叠加层,高频雷达具有良好的分辨率。较小的高频天线的另一个优点是,装置更加便携,更加容易进行现场安装、无损测量。另外该系统最大的优点是能够快速收集连续的测量数据。
PaveScan RDM 2.0连续式路面压实测量仪
PaveScan RDM 2.0是第二代沥青路面密度评估工具,可以提供精确的实时测量,以确保沥青路面寿命和质量。该系统是检测出现在路面铺装过程中不一致性的理想工具,包括较差的均匀性和明显的密度偏差。通过检测这些问题,PaveScan可以帮助避免路面的早期破坏,如道路断层、裂缝和沿接缝处的损坏。
PaveScan自动测量介电值,以实时识别异常。介电值可以作为一种手段来关联新铺路面的空隙率和密度。这项技术使得操作人员能够获得新铺路面的质量保证/质量控制(QA/QC)所需的重要密度数据。
PaveScanRDM 2.0特征
简单而经济的评估工具
以无损测试的方法确定沥青路面在服役期间的介电值,PaveScan是一种电介质断面系统(DPS),是识别新沥青路面不均匀区域的测试方法。它可以通过两种不同的测试方法——介电值或空隙率,进行数据采集。不存在现场危险,也无需像使用核子仪/放射性产品那样封闭工作区域。
坚固的安装推车
- 模块化组装,便于现场安装和运输;
- 具有高可见度的可折叠安装臂,确保现场安全;
- 后轮脚动制动;

集成化的集线盒
- 可热插拔,双电池;
- 可容纳多达3个传感器,每个传感器频率为2GHz(最大测量宽度为6英尺);
- 用于缆线收集的外壳;

传感器设置
- 专为极端的沥青铺装环境制造;
- 激光帮助精确定位;
- GPS和安装杆提供高精度的位置信息,并与PaveScan接口无缝对接;

PaveScanRDM 2.0可视化数据
配置松下G1平板电脑操作平台,可实现简洁的用户界面, PaveScan操作简单,无缝集成的GPS,可实现实时的屏幕数据显示和导出选项。

实时测量介电值显示
PaveScan可以自动计算新铺路面的介电测量值。沥青混合料介电值的变化与沥青空隙率的变化有关。因此,PaveScan识别出压实中的异常值,让用户能够确定新铺路面和大致区域钻芯样的结果一致性。
采集结果:显示空隙率百分比
PaveScan为用户提供了一种全覆盖的采集方法,通过将空隙率与密度相关联来确定沥青路面的完整性。测量的数据在PaveScan系统中可通过.CSV或KML文件进行输出。

PaveScan数据的可视化输出,彩*图色**显示介电测量中的异常,折线图为每个传感器的介电值输出
PaveScan RDM 2.0结果可靠性研究

美国德州农工大学交通学院(Texas A&M Transportation Institute )在2019年发布的一份研究报告中显示,该机构在北美针对PaveScan RDM 2.0以及手持式核子密度定点测试仪进行了对比,通过钻芯法和两种无损测试方法进行了比对,对大量的数据采集点以及相关性进行分析,获得了传统法(钻芯法)和PaveScan RDM 2.0以及手持式核子密度仪的对比数据,并取得了具有价值的相关性分析结果。
钻芯法和PaveScan RDM测量结果对比分析

钻芯法和密度仪法测量结果对比分析

SHRP 2 R06C报告中指出“现场路面密度是决定热拌沥青混合料(HMA)路面耐久性的一个关键因素” 。 局部的不均匀混合料区域称为离析,通常会成为路面摊铺层的低密度区域。离析仍然是与路面铺装相关的一个主要问题,会对路面使用寿命产生严重的不利影响。
因此,GSSI在2016年研制了PaveScan,这是一个提供实时全覆盖数据的无核解决方案。通过进一步的研究和实地测试,PaveScan 2.0集成了全新的传感器设计、安装配置和软件更新,提高了数据检测的准确性。
注:文中的部分分析图表和数据参考来自以下文献:
[1] Evaluation of the Rolling Density Meter for Rapid Continuous Measurement of Asphalt Mixture Density,Texas A&M Transportation Institute,2019.
[2] Using Infrared and High-Speed Ground-Penetrating Radar for Uniformity Measurements on New HMA Layers, SHRP 2, R06C, 2013.
更多PaveScan RDM 2.0连续式路面压实测量仪的信息或其他路面检测方法,请咨询@欧美大地仪器。