一楼放大神图镇楼!
下面这位老兄,有几个朋友认识?

让·巴普蒂斯·约瑟夫·傅里叶
小编和他也不熟,但是却学过他的傅里叶级数变换!
没错这个人就是:让·巴普蒂斯·约瑟夫·傅里叶,法国著名的数学家,物理学家。

一直以来,在我们的大学专业课本中,“傅里叶”都保持着极高的出镜率。围绕这三个字的一系列名词,例如傅里叶变换、傅里叶积分、傅里叶级数,傅里叶分析等等,曾经让无数人苦不堪言、生不如死,甚至形成了长期的心理阴影。

(1)电力系统中谐波的含义

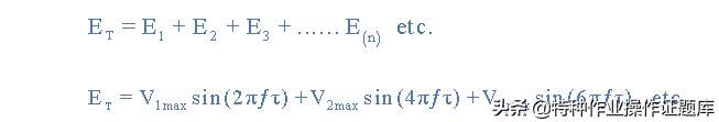
电力系统对谐波的定义:对周期性非正弦电量(电压或电流)进行傅立叶级数分解,除了得到与电网基波频率相同的分量,还得到一系列大于电网基波频率的分量,我们把除了基波以外的电量称为谐波。

(基波及其表达式)
(基波及2.3.4次谐波)
(2)谐波的产生
重点:用电环节的谐波是由于电网中整流元器件引起的!!!!
电力系统是由发电、变电、输配电和用电这四个环节所组成的整体,每个环节均有可能产生谐波。
我们今天抛开发电环节、变电环节和输配电环节,只讨论用电环节的谐波产生。
用电环节:用电系统中谐波主要是由非线性负载引起,由于正弦电压加压于非线性负载,基波电流发生畸变产生谐波。
主要非线性负载有UPS、开关电源、整流器、变频器、逆变器等。
非线性负载是指内含整流设备的负载。在电子线路中,电压与电流不成线性关系,在负载的投入、运行过程中,电压和电流的关系是经常变化的。

三次谐波公式:

复合波公式:

(3)非线性设备含义
设备中产生的电流波形是断续的或突变的,它不是一个可采用线性法则进行运算的连续函数,一般要采用傅里叶级数来描述它。
例如:

上图为三相整流回路,整流后的电流波形为阶梯方波;右图是按傅里叶级数展开后的频谱,可以看出五次和七次谐波比例很高。
又如:

上图为单相整流回路,整流后的电流波形为断续波形,右图是按傅里叶级数展开后的频谱,其中三次谐波比例很高。
(4)三次谐波电流的特殊性
三次谐波电流主要是由单相非线性负载(如荧光灯,节能灯及镇流器等)产生的。因其频率的特殊性,三次谐波在电网中性线上产生的后果尤为严重。在三相电网中,基波各相的相位差为 120°;而三次谐波相位差为360°。
由下图可见,各相线内的三次谐波电流在中性线上汇集时,其瞬时值是直接同相相加的,故中性线上的三次谐波电流一般为约为3倍的相线上的三次谐波电流,甚至会大于相线上的基波电流。

(5)消除谐波的方法
1、从源头上消除谐波。不采用有谐波的装置或负载,如采用矩阵变频器、12相以上整流装置,都可以大大减少或消除谐波。 2、被动消除谐波。抑制谐波的方法主要有两种: 一种是减小的方法,即采用无源滤波器,它是利用L-C谐振特性,形成对某一频率的低阻抗特性,从而减小流向电网的谐波电流; 二是让补偿装置提供反相的谐波电流,以抵消变流器所产生的谐波电流,即有源滤波器。
大神傅里叶简介:
1768年3月21日,他生于法国中部奥塞尔的一个平民家庭,他的父亲是一个裁缝,母亲是一个普通的家庭妇女。
傅里叶的童年并不算幸福。9岁时,双亲亡故,他变成一个孤儿,被当地的一个主教收养。
1780年,他被教会送入镇上的军校就读,表现出对数学的特殊爱好。他曾经希望参加炮兵或工程兵,但因家庭地位低贫而遭到拒绝。
后来,他希望到巴黎更优越的环境中去从事数学研究。可是,法国大革命爆发,中断了他的计划。无奈之下,他于1789年回到家乡奥塞尔的母校执教。
在大革命期间,傅里叶以热心地方事务而知名,而且是一个非常有正义感的人。他替当时恐怖行为的受害者申辩,结果因此被捕入狱。出狱后,他短暂就读于巴黎师范学校,再次表现出惊人的数学才华。
1795年,当巴黎综合工科学校成立时,傅里叶被任命为助教,协助J.L.Lagrange(也就是拉格朗日,相信大家一定不会陌生)和G.Monge(蒙日,也是超级大牛),从事数学教学工作。这一年,他再次因政治原因被捕,后经同事营救获释。

拉格朗日 蒙日
1798年,蒙日选派他跟随拿破仑远征埃及。
在埃及开罗,他担任埃及研究院的秘书,并从事许多外交活动。这一期间,他仍不断地进行个人的业余研究,即数学物理方面的研究。
1801年,傅里叶回到法国。他希望继续执教于巴黎综合工科学校,但因拿破仑赏识他的行政才能,任命他为伊泽尔地区首府格勒诺布尔的高级官员。
由于政声卓著,1808年,拿破仑授予他男爵称号。
此后,几经宦海浮沉,1815年,傅里叶终于在拿破仑百日王朝的尾期辞去爵位和官职,毅然返回巴黎以图全力投入学术研究。但是,失业、贫困以及政治名声的落潮,使得傅里叶进入了一生中最艰巨的时期。
好在昔日同事和学生对他施以援手,为他谋得统计局主管之职,才算维持住了生活。统计局的工作并不繁重,傅里叶得以继续从事研究。
1816年,傅里叶被提名为法国科学院的成员。一开始,路易十八因为怀疑他与拿破仑的关系,拒绝了他的提名。后来,事情得到澄清,傅里叶于1817年就职科学院,其声誉随之迅速上升。
傅里叶的任职得到了当时年事已高的 P.S.M.deLaplace(也就是拉普拉斯)的支持,却不断受到 S.D.Poisson(泊松)的反对。事实上,后来两人之间的恩恩怨怨一直就没停歇过。

拉普拉斯 泊松
1822年,傅里叶被选为科学院的终身秘书,这是极有权力的职位。
1827年,他又被选为法兰西学院院士,还被英国皇家学会选为外国会员。此时,他的个人荣誉达到了巅峰。
傅里叶一生为人正直,他曾对许多年轻的数学家和科学家给予无私的支持和真挚的鼓励,从而得到他们的忠诚爱戴,并成为他们的至交好友。
在他帮助过的科学家中,有知名的 H.C.奥斯特(Oersted)、P.G.狄利克雷(Dirichlet)、N.H.阿贝尔(Abel)和 J.C.F.斯图姆(Sturm)等人。
有一件令人遗憾的事,就是傅里叶收到伽罗瓦(Galois)的关于群论的论文时,他已病情严重而未阅,以致论文手稿失去下落。
傅里叶极度痴迷热学,他甚至认为热能包治百病。于是,在一个夏天,他关上了家中的门窗,穿上厚厚的衣服,坐在火炉边,结果,他被活活热死了。。。死了。。。了。。。
1830年5月16日,傅里叶卒于法国巴黎。
