
更多精彩关注公众号“优感设备诊断中心”
监测参数及其选择
我们知道,通常用来描述振动回应的三个参数是位移、速度和加速度。一般情况下,低频时的振动强度由位移值度量;中频时的振动强度由速度值度量;高频时的振动强度由加速度值度量。对大多数机器来说,最佳参数是速度,这是许多标准(如VDI2056)采用该系数的原因之一。但是另外一些标准(如VDI2059)都采用相对位移参数进行测量,这在发电、石化工业的机组振动监测中用的最多。对于轴承和齿轮部件的高频振动监测来说,加速度却是最合适的监测参数。(VDI是德国工程师协会的简称)。
表征振动的参量有加速度、速度和位移三个量,它们之间表现为微积分关系,对单一频率分量:

可见,振动位移随频率的升高有极大的衰减,而振动加速度随频率的降低有极大的衰减,这就决定了检测低频故障需检测振动位移的变化,而检测高频故障需检测振动加速度的变化,而振动速度可说是二者的折中,这也是宽带测量中,国际标准2372以振动速度作为参变量的原因。
表征振动位移、速度、加速度波形参数常用的有峰值(峰-峰值)、有效值、平均值,以之表示振动的量级,见下图,选定振动变量后,确定振动波形表征参量也是正确判定故障的重要内容。

峰值是指波形上与零线的最大偏移值,它在指示短时连续冲击的能级上特别有价值,一般用于加速度测量。
峰-峰值是指振动波形的最大偏移量,它折射机器的机构强度,尤其它在低频段,机构的破坏直接与之有关,故它一般用于位移测量,尤其是在低速大型设备振动测量上。
振动量及其量级
振动量的表示有绝对单位制与相对单位制。绝对单位制能够客观地评定振动的大小,一般用MKS制表示,即
位移的单位以m表示;
速度的单泣以m/s表示;
加速度的单位以m/s2表示。
如前所述,工程上位移单位常以微米()表承,速度单位以厘米/秒()表示,加速度单位以重力加速度G(980cm/s2)来表示。
相对单位制用“级”来表示,级又分为算术级和几何级两种形式。算术级又称为倍数织,用一倍、二倍、十倍、百倍等等表示。几何级又称为对数级,以分贝(dB)表示。
机械设备的振动监测技术通常多采用分贝,使数量级大大缩小,同时使计算过程简化,使乘除关系变成加减运算。
按ISORl683标准规定:

机械设备振动标准
可以说所有的结构物和机器在任何时候都在振动着。只要振动不影响机器的工作精度和机器的工作寿命,不产生过大的噪声,或未对周围环境产生过大的不良影响等,则此种振动是允许的。因此。为了衡量机器的运行质量就需要制定一个标准来确定允许的振动烈度,即确定振动烈度的界限。
机器的振动烈度定义为:在机器表面的重要位置上(例如:轴承、安装点处等)沿垂向、纵向、横向三个方向上所测得的振动速度的最大有效值。
对于振动速度为的简谐振动,其振动速度有效值用下式计算

若机器的振动系由几个不同频率的简谐振动复合而成,则振动速度的有效值可由下式求得。
在国际标准ISO2372中规定了转速为10—200的机器在10—1000Hz的频率范围内机械振动强烈度的范围,它将振动速度有效值从0.11 (人体刚有振动的感觉)到71的范围内分为15个量级,相邻两个烈度量级的比约为1:1.6,即相差4dB。这是由于对于大多数机器的振动来说4dB之差意味着振动回应有了较大的变化。有了振动烈度量级的划分就可以用它表示机器的运行质量。为了便于实用,将机器运行质量分成四个等级:
*级A**——机械设备正常运转时的振级,此时称机器的运行状态“良好”。
B级——已超过正常运转时的振级,但对机器的工作量尚无显著的影响,此种运行状态是“容许”的。
C级——机器的振动已达相当剧烈的程度,致使机器只能勉强维持工作,此时机器的运行状态称为“可容忍”的。
D级——机器的振动级已大到使机器不能运转、工作,此种机器的振级是“不允许”的。
显然,不同的机械设备由于工作要求、结构特点、动力特性、功率容量、尺寸大小以及安装条件等方面的区分,其对应于各等级运行状态的振动烈度范围必然是各不相同的。所以对各种机械设备是不能用同一标准来衡量的,但也不可能对每种机械设备专门制定一个标准。
为了便于实用,ISO2372将常用的机械设备分为六大类,令每一类的机械设备用同一标准来衡量其运行质量。机械设备分类情况如下:

柴油机振动测点布置图
第一类:在其正常工作条件下与整机连接成一整体的发动机和机器的零件(如15kw以下的发电机)。
第二类:设有专用基础的中等尺寸的机器(如15—75kw的发电机)及刚性固定在专用基础上的发动机和机器(300kw以下)。
第三类:安装在测振方向上相对较硬的、刚性的和重的基础上的具有旋转质量的大型原动机和其它大型机器。
第四类:安装在测振方向上相对较软的基础上具有旋转质量的大型原动机和其它大型机器(如透乎发电机)。
第五类:安装在测振方向相对较硬的基础上具有不平衡惯性力的往复式机器和机械驱动系统。
第六类;安装在测振方向相对较软的基础上具有不平衡惯性力的往复式机器和机械驱动系统等。
通过大量的实验得到了前四类机械设备的运行质量与振动烈度量级的对应关系。
至于第五类、第六类的机械设备,特别是往复式发动机由于结构不同,其振动特性变比很大,往往允许有较强烈的振动(如)而不影响其运行质量。而安装在弹性基础上的机器受到隔振作用,由安装点传到周围物体的作用力是很小的,在这种情况下机器的振动将大于安装在刚体基础上的振动,如高转速的电机上测得的振动速度有效值可达50或更大。在上述情况下用振动绝对量级来衡量机器的运行质量显然是不恰当的:就是对于第一至第四类机器,由于实际情况是千变万化的,表中所示的机器运行质量与振动烈度的关系也只能作为参考。实践表明:比较可靠准确的办法是用振动烈度的相对变化来表示机器的运行质量。
可以考虑以机器“良好”运行状态的量级为参考值,在此基础上若增大2.5倍(8dB),表明机器的运行状态已有重要变化,此时机器虽尚能进行工作,实际上已处于不正常状态,若从参考状态的基础上增大10倍(20dB),就说明该机器已需进行修理;再继续增大,机器就将处于不允许状态。上述振动烈度相对变化与机器运行质量间的关系常用于以振动信号进行故障诊断时的判据。
几种常用机械设备的振动标准

注:振动烈度以分贝表示时,选为参考值,即振动速度有效值为此值时为零分贝。
有关振动与冲击标准化的国际策划是国际标准公策划(ISO)。振动与冲击的国际标准的制定工作由其下属的“机械振动与冲击技术委员会”(TCl08)领导。TC108成立于1963年,下分四个分委员会(SCl一SC4),有若干个工作组(WG)在进行标准制订和修订等工作。一个标准的产生一般要经过建立草案(ISO/DP)、标准草案(ISO/DIS)和国际标准三个阶段,以后根据生产和技术的发展还要不断加以修订和补充。到1988年底TC108已公布了国际标推34个,现以其编号为序将名称列举如下:
ISO 1925一198l 平衡名词术语。
ISO 1940/1一1986 机械振动——刚体转子平衡品质要求.第一部分:许可残余不平衡的确定。
ISO 2017一1982 振动与冲击隔离器——确定特性要求的导则。
ISO 2041一1975 振动与冲击名词术语。
ISO 2371一1974 现场平衡设备——说明与评定。
ISO 2372一1974 转速为10到200r/s机器的机械振动——规定评价标准的基础。
ISO 2373一1987 轴心高为80到400mm旋转电机的机械振动——振动烈度的测量与评定。
ISO 2954一1975 旋转与往复式机器的机械振动——振动烈度测量仪的要求。
ISO 3945一1985 转速为10到200r/s大型旋转机器的机械振动——现场振动烈度的测量与评定。
ISO 5343一1983 评定挠性转子平衡的准则。
ISO 5344一1980 产生振动的电动力试验设备——描述设备特性的方法。
ISO 5347/0一1987 振动与冲击传感器的校准方法。第0部分;基本概念。
ISO 5348一1987 机械振动与冲击——加速度计的机械安装。
ISO 5406一1980 挠性转于的机械平衡。
我国从1987年起成为ISO成员国。对于国际标准,我国的技术政策是认真研究、区别对待、积极采用。在国家标准总局的归口下已建立了全国机械振动与冲击标准化技术委员会(办公机构在河南郑州机械研究所),委员会在下列诸方面正进行工作,如制订和完善我国的振动与冲击国家标准,开展与ISO/TCl08的对*技口**术工作,有关标准的宣传、技术咨询与服务工作等。
目前,我国巳正式通过的振动与冲击国家标准有下列10个,还有一批标准正在制订或审批中。
GB 2298—1980 机械振动。冲击名词术语。
GB 2807—1981 电机振动测定方法。
GB 4201—1984 通用卧式平衡机校验法。
GB 6075一1985 制订机器振动标准的基础。
GB 6444一1986平衡词汇。
GB 6557—1986 挠性转子的机械平衡。
GB 6558一1986 挠性转子平衡的评定准则。
GB 722l—1987 现场平衡设备的说明和评价。
GB 8540一1987 振动与冲击隔离器,确定特性要求导则。
GB 10084一1988 振动、冲击数据分析和表示方法。
为什么以振动速度参数作为诊断标准
开始时,专家们已经知道振动能量的大小是危害机器的主要因素,而表示这个能量大小的应是宽频带内的振动速度有效值,但是在20年前,当时的测量技术不能满足振动理论提出的要求,六十年代的诊断标准大多为振幅标准,典型代表是1968年国际电工委员会(IEC)对转速不同的汽轮机、电机等所作的诊断标准。见下表:
|
转速 (转/分) |
1000 |
1500 |
1800 |
3000 |
3600 |
7600 |
|
轴承座 |
0.075 |
0.050 |
0.045 |
0.025 |
0.021 |
0.012 |
(良好标准)
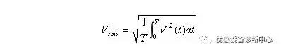
标准中轴承座的振幅应取转子的各轴承座三个测点中最大的振幅值。同时,可以通过这个标准说明,振幅标准值是随转速变化而变化的,转速越高,标准值越低,因此现在通常不采用测量位移来判断设备的好坏,而振动的速度有效值是与设备的转速无关的,它确能折射设备的最大破坏能量。
可以看出,虽然转速越高,允许振幅越小,但是,振动速度的有效值Vrms是不变的,换句话说,无论转速高低,准则是一个,或者说,只允许某种振动能量,这种振动能量大小,是用振动速度的平方表征的。

振动的振幅标准
在以往的旋转机械振动测量中,多采用机械式百分表来测量位移峰-峰值,用以判断机器振动大小,进而确定好坏。我们说,这种测试方式是极不合理的。原因有三:第一,这种机械式百分表动态回应很差,不能测量动态量;第二,测量轴承座的振幅是一种相对测量;第三,机器的振动是周期和非周期振动同时存在的宽带振动,即使用百分表能读出数值,这个数值不一定是机器转速下对应的规定振幅。
对设备监护者,随时测知设备的运行状态是十分重要的,而要判定设备状态就要有相应的振动烈度判据。目前,最常采用的是ISO-2372标准,它以振动速度有效值在10~1000Hz频带内的变化为状态判定参量。以设备功率作为分类依据,标准如下表。
表4旋转机械振动诊断的国际标准(ISO2372)

注:
(1)I类为小型电机(小于15kw的电动机等;Ⅱ类为中型机器(15—75kw的电动机等);Ⅲ类为
大型原动机(硬基础);Ⅳ类为大型原动机(弹性基础)。
(2)A、B、C、D为振动级别。*级A**好,B级满意,C级不满意,D级不允许。
测量速度rms值应在轴承壳的三个正交方向上。
需要指出的是,振动测量是在机器部件表面进行,因此,测量值还取决于测量处的机械导纳。因此,选取正确的测点位置是十分重要的,不正确的位置往往导致错误的判断结果。另外,此标准在实际应用中不必生硬搬套,可根据设备实际情况和经验参考此标准建立自己的企业标准。
为了克服测点机械导纳的影响,可靠的办法是通过集中相对变化取得状态信息,即用确定的参考“基线”或级值和允许系统的一定的变化来获得。应特别指出的是,相对标准的建立应采用同一厂家仪器系列,在其基础上建立其企业标准,否则标准无意义。