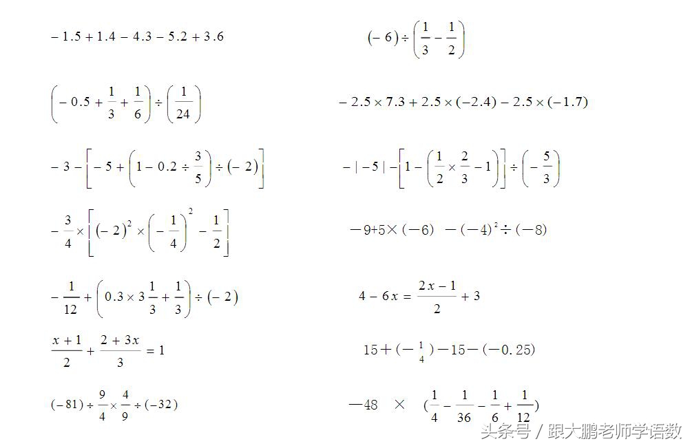
2017暑假复习之计算题专题——七年级

估计孩子们都已经考完试了,准备过暑假,
但期末成绩是有人欢喜有人忧,几家欢乐几家愁。
其实他们掌握的基础知识特别是计算题并不一定很熟练,
今天,
大鹏老师
将整顿出七年级(初一)下册计算题专题,不妨*载下**给自己的孩子做做看,
帮助孩子查缺补漏,在来年新的学期,更上一层楼!
特别是为马上升初二夯实基础,未雨绸缪!
暑假有网络提升课程哦,敬请期待。
文末有几个链接,可获得更多资讯
欢迎点击关注!!!

2017暑假复习之计算题专题(初一)——七年级













2017北师大七年级数学期中考试试题
2017年人教版七年级下册语文期中考试卷(附参考答案)
人教版2017七年级下册数学期中测试卷(非常有名)
2017年北师大七年级数学期末试卷
七年级上册期末数学知识点总结(下)(附思维导图)
微课讲解:
七年级上册期末数学知识点总结(上) 七年级数学上册《有理数的除法》
七年级数学上册《有理数的乘法》
七年级数学《有理数加减混合运算》
七上(正数与负数》第二课时
