第九章 刚体平面运动

1.求平面图形内各点速度的方法
基点法 速度瞬心法 速度投影法
2.求平面图形内各点加速度-----基点法
刚体的平面运动是运动学的重点,一般会出现简答题 、判断题 、选择题和填空题;尤其是与点的合成运动综合应用的问题会出计算题,望考研者足够重视。
第十章 质点动力学基本方程
1.牛顿三定律
2.质点的运动微分方程

应用时经常用其在直角坐标轴或自然轴上的投影式
本章内容主要是复习物理学中的力学部分,因此不是理论力学的主要内容.在考研试题中很少出现这一章的试题,若出现也只能是分数很少的小题(简答题等).
第十一章 动量定理
1.动量(矢量)

注意:无论什么运动,只要算出质心的速度,即可按照此公式计算.
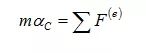
2. 质心运动定理

式中

为质心加速度,

为外力主矢.
第十二章 动量矩定理
由于刚体的运动可分解为随质心的平动和绕质心的转动两部分,故刚体平面运动方程:

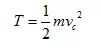
第十三章 动能定理
1.刚体运动

2.定轴转动


3.平面运动

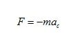
第十四章 达朗贝尔原理
1. 刚体作平动(向质心简化)

2.刚体作定轴转动(向固定轴简化)

3.刚体做平面转动(向质心简化)

第十五章 虚位移原理
1. 虚位移:在某瞬时,质点系在约束允许的条件下,可能实现的无限小的位移.
2. 虚功:力在虚位移中做的功.
3. 虚位移原理:对于只有理想约束的质点系,其平衡的充分必要条件是:作用于质点系的所有主动力在任何虚位移中所做虚功之和等于零即

(1) 虚位移概念 .在简答题中可能会画出一个机构,要求画出某些点的虚位移 .
(2) 虚位移原理的应用.在计算题中,可能会出现一个机构或结构在力作用下的静 平衡问题,要求用虚位移原理求解(其他方法不给分).
前八章,关注后查看历史文章哦~
关注 爱启航理工考研 微信公众号,爱启航理工教育 官方微博,加群了解更多资讯哦!
20爱启航机械类考研交流群:649961344
20爱启航通信类考研交流群:739654999
20爱启航电气类考研交流群:629113932