中华人民共和国国家标准
风机盘管机组 Fan coil unit GB/T 19232-2019
发布部门:国家市场监督管理总局中国国家标准化管理委员会发布日期:2019年08月30日实施日期:2020年07月01日
前 言
本标准按照GB/T 1.1-2009给出的规则起草。 本标准代替GB/T 19232-2003《风机盘管机组》。与GB/T 19232-2003相比,除编辑性修改外主要技术变化如下: ——修改了标准产品的风量、风压范围(见第1章,2003年版的第1章); ——增加了风机盘管机组能效的规定(见5.7、5.9、5.11、6.12、6.13); ——增加了对干式风机盘管机组和单供暖风机盘管机组的要求(见5.2、5.8~5.11); ——增加了对永磁同步电机风机盘管机组的要求(见5.3、5.6~5.11); ——增加了四管制风机盘管机组的性能要求(见5.6、5.7); ——修改了检验项目表(见表23,2003年版的表9)。 本标准由中华人民共和国住房和城乡建设部提出。 本标准由全国暖通空调及净化设备标准化技术委员会(SAC/TC 143)归口。 本标准负责起草单位:中国建筑科学研究院有限公司。 本标准参加起草单位:上海一冷开利空调设备有限公司、上海新晃空调设备股份有限公司、江苏风神空调集团股份有限公司、江森自控楼宇设备科技(无锡)有限公司、浙江亿利达风机股份有限公司、深圳麦克维尔空调有限公司、无锡市富尔盛机电有限公司、浙江盾安人工环境股份有限公司、青岛奥利凯中央空调有限公司、广东美的暖通设备有限公司、特灵空调系统(中国)有限公司、珠海格力电器股份有限公司、南京天加环境科技有限公司、广东欧科空调制冷有限公司、常州祥明电机有限公司、昆山台佳机电有限公司、山东格瑞德集团有限公司、博世热力技术(山东)有限公司、浙江省台州市亿莱德空调设备有限公司、曼瑞德集团有限公司、广东新菱空调科技有限公司、雷勃电气集团、靖江市春意空调制冷设备有限公司、上海通意空调设备有限公司、江苏吉祥空调设备有限公司、江苏大翔科技有限公司、江苏瑞翔空调设备有限公司、靖江市产品质量综合检验检测中心、靖江市九洲空调设备有限公司。 本标准主要起草人:曹阳、王立峰、李强、郑炜、许骏、陆辉、顾斌、章启忠、周威、支正光、李东平、闫文彬、叶斌、张维加、何伟光、吴小泉、陆军、袁涛、王智超、李华、刘敬辉、管志广、于伟波、李建荣、陈立楠、谭小卫、聂庆、刘兴非、卢福松、刘桂兴、陶宇、李佳、章力军、朱利群、杨芳、孟令然。 本标准所代替标准的历次版本发布情况为: ——GB/T 19232-2003。
1 范围
本标准规定了风机盘管机组(以下简称“机组”)的术语和定义、分类与标记、一般要求、要求、试验方法、检验规则、标志、包装、运输和贮存等。 本标准适用于使用外供冷水、热水对房间进行供冷、供暖或分别供冷和供暖,送风量不大于3400m3/h,出口静压不大于120Pa的机组。类似用途的机组也可参照执行。
2 规范性引用文件
下列文件对于本文件的应用是必不可少的。凡是注日期的引用文件,仅注日期的版本适用于本文件。凡是不注日期的引用文件,其最新版本(包括所有的修改单)适用于本文件。 GB/T 191 包装储运图示标志 GB/T 1040.1 塑料 拉伸性能的测定 第1部分:总则 GB/T 2423.3 环境试验 第2部分:试验方法 试验Cab:恒定湿热试验 GB/T 2518 连续热镀锌钢板及钢带 GB/T 3198 铝及铝合金箔 GB/T 3880 一般工业用铝及铝合金板、带材 GB/T 5171.1-2014 小功率电动机 第1部分:通用技术条件 GB/T 9068 采暖通风与空气调节设备噪声声功率级的测定 工程法 GB/T 11253 碳素结构钢冷轧薄钢板及钢带 GB/T 12350 小功率电动机的安全要求 GB/T 15675 连续电镀锌、锌镍合金镀层钢板及钢带 GB/T 17791 空调与制冷设备用铜及铜合金无缝管 GB 50016-2014 建筑设计防火规范 JG/T 21-1999 空气冷却器与空气加热器性能试验方法
3 术语和定义
下列术语和定义适用于本文件。
3.1 风机盘管机组 fan coil unit 用于空气处理的设备,基本配置包括风机、盘管、电机、凝结水盘等。根据使用要求的不同可附加配置控制器、排水隔气装置、空气过滤和净化装置、进出风风管、进出风分布器等配件。
3.2 额定值 rated value 在标准规定的试验工况下,机组性能的基本值。
3.3 名义值 nominal value 产品铭牌和产品样本上标注的值。
3.4 额定风量 rated air volume flow rate 在标准规定的试验工况下,机组测得的单位时间内送出的空气体积流量。 注:单位为m3/h。
3.5 额定供冷量 rated cooling capacity 在标准规定的试验工况下,机组测得的总供冷量,即显热量和潜热量之和。 注:单位为W或kW。
3.6 额定供热量 rated heating capacity 在标准规定的试验工况下,机组测得的总显热供热量。 注:单位为W或kW。
3.7 额定出口静压 rated external static pressure 在标准规定的试验工况下,机组测得的克服机组自身阻力后,出风口处的静压。 注:单位为Pa。
3.8 低静压机组 low-static pressure unit 在额定或名义风量时,出口静压为0Pa或12Pa的机组。 注:带风口和过滤器的机组,出口静压为0Pa;不带风口和过滤器的机组,出口静压为12Pa。
3.9 高静压机组 high-static pressure unit 在额定或名义风量时,出口静压不小于30Pa的机组。
3.10 机组供冷能效系数 fan coil cooling energy efficiency ratio;FCEER 机组额定供冷量与相应试验工况下机组风侧实测电功率和水侧实测水阻折算电功率之和的比值。
3.11 机组供暖能效系数 fan coil heating coefficient of performance;FCCOP 机组额定供热量与相应试验工况下机组风侧实测电功率和水侧实测水阻折算电功率之和的比值。
3.12 单供暖机组 heating fan coil unit 仅用于供暖的风机盘管机组。
3.13 干式机组 dry fan coil unit 在干工况条件下运行,仅对空气进行显热处理的风机盘管机组。
3.14 永磁同步电机 permanent magnet synchronous motor 无刷直流电机 由永磁体励磁产生同步旋转磁场的同步电机。 注:永磁体作为转子产生旋转磁场。
4 分类与标记
4.1 分类 4.1.1 按结构形式可分为卧式、立式、卡式和壁挂式,代号分别为“W”“L”“K”和“B”。 4.1.2 按安装形式可分为明装和安装,代号分别为“M”和“A”。 4.1.3 按进出水方位可分为左式和右式(面对机组出风口,供回水管分别在左侧和右侧),代号分别为“Z”和“Y”。 4.1.4 按出口静压可分为低静压型和高静压型,低静压型代号省略,高静压型代号为“G+出口静压值”。 注:带风口和过滤器等附件的低静压型机组,其出口静压默认为0Pa,不带风口和过滤器等附件的低静压型机组,其出口静压默认为12Pa;高静压型机组按不带风口和过滤器进行测试。 4.1.5 按用途类型可分为通用、干式和单供暖,通用代号省略,干式和单供暖代号分别为“G”和“R”。 4.1.6 按电机类型可分为交流电机和永磁同步电机,交流电机代号省略,永磁同步电机代号为“YC”。 4.1.7 按管制类型可分为两管制(盘管为1个水路系统,冷热兼用)和四管制(盘管为2个水路系统,分别供冷和供暖),两管制代号为“2(盘管排数)”,四管制代号为“4(冷水盘管排数+热水盘管排数)”。
4.2 标记

示例:额定风量为680m3/h的卧式暗装、左进水、高静压50Pa、交流电机、两管制三排盘管通用机组,标记为FP-68WA-Z-2(3)-G50。
5 一般要求
5.1 机组的制造应按本标准的规定,并应按经规定程序批准的图纸和技术文件制造。
5.2 机组的结构应满足以下要求: a)凝结水盘的长度和坡度应确保凝结水排除畅通、机组凝露滴入盘内; b)机组应在能有效排除盘管内滞留空气处设置放气装置; c)具有特殊功能(如抑菌、杀菌、净化等)的机组,其实现特殊功能的构件应满足国家有关规定和相关标准的要求; d)干式机组应配置凝结水盘; e)单供暖机组可不保温,可不配置凝结水盘。
5.3 机组的调节特性应满足以下要求: a)交流电机机组和永磁同步电机机组应能进行风量调节,设高、中、低三挡风量调节时,三挡风量宜按额定风量的1:0.75:0.5设置; b)永磁同步电机机组出厂未设置默认挡位的,应按最高挡位的风量进行考核。
5.4 机组的电源应为单相220V,频率50Hz。
5.5 机组的材料应满足以下要求: a)机组使用的材料不应出现锈蚀和霉变,并鼓励使用符合环保要求的新材料; b)机组的绝热材料应符合GB 50016-2014中9.3.15的规定,粘贴应平整牢固; c)机组主要部位的材料应按表1的要求选用,并鼓励使用优于表1要求的优质材料; d)当机组采用冷轧钢板加工面板和零部件时,其内外表面应进行有效的防锈处理; e)当机组采用黑色金属加工的零配件时,应对表面进行热镀锌工艺处理和有效的防锈处理。

5.6 高挡转速下通用机组基本规格的额定值分别满足表2~表4的要求。



5.7 高挡转速下交流电机通用机组和永磁同步电机通用机组的能效限值应分别满足表5和表6的要求。


5.8 高挡转速下干式机组基本规格的额定值应分别满足表7~表9的要求。


5.9 高挡转速下交流电机干式机组和永磁同步电机干式机组的能效限值应分别满足表10和表11的要求。


5.10 高挡转速下单供暖机组基本规格的额定值应满足表12的要求。

5.11 高挡转速下交流电机单供暖机组和永磁同步电机单供暖机组的能效限值应分别满足表13和表14的要求。


5.12 机组连线应满足以下要求: a)机组电气线路的连接应整齐、牢固,电线穿孔和接插头应采用绝缘套管或其他保护措施。 b)机组应设有电气接线盒,所有外露电线宜采用金属软管保护。
5.13 没有列入本标准基本规格型号的机组,在名义试验工况下,其性能数值应优于按照本标准规定的试验方法测试的结果。
6 要求
6.1 外观 机组外表面应光洁平整,无明显划伤、锈斑和压痕。卡式和明装机组喷涂层应均匀,色调应一致,无流痕、气泡和剥落。
6.2 耐压性 按7.3规定的方法进行试验,机组盘管在1.6MPa压力下应无破损,机组应运行正常。
6.3 密封性 按7.4规定的方法进行试验,机组盘管在1.6MPa压力下进行密封性检查时应无渗漏。
6.4 启动和运转 按7.5规定的方法进行试验,机组在各挡转速下应能正常启动和运转;可连续调节转速的机组在额定转速和可调节转速范围内应能正常启动和运转。
6.5 风量 按7.6规定的方法进行试验,风量实测值不应低于额定值及名义值的95%。
6.6 输入功率 按7.7规定的方法进行试验,输入功率实测值不应大于额定值及名义值的110%。
6.7 供冷量和供热量 按7.8规定的方法进行试验,机组供冷量和供热量的实测值不应低于额定值及名义值的95%。
6.8 水阻 按7.9规定的方法进行试验,机组实测水阻不应大于额定值及名义值的110%。
6.9 噪声 按7.10规定的方法进行试验,机组实测声压级噪声不应大于额定值,且不应大于名义值+1dB(A)。
6.10 凝露 按7.11规定的方法进行试验,机组表面应无凝露外滴。
6.11 凝结水 按7.12规定的方法进行试验,机组不应有凝结水外溢或吹出。
6.12 供冷能效系数(FCEER) 按7.13规定的方法进行试验,计算得到的机组FCEER不应小于表5、表6、表10、表11、表13、表14所规定的能效限值及名义值的95%。
6.13 供暖能效系数(FCCOP) 按7.14规定的方法进行试验,计算得到的机组FCCOP不应小于表5、表6、表10、表11、表13、表14所规定的能效限值及名义值的95%。
6.14 绝缘电阻 按7.15规定的方法进行试验,其冷、热态对地绝缘电阻值不应小于2MΩ。
6.15 电气强度 按7.16规定的方法进行试验,电气强度应无击穿或闪络。
6.16 电机绕组温升 按7.17规定的方法进行试验,电机绕组温升应符合GB/T 5171.1-2014中表1的规定。
6.17 泄漏电流 按7.18规定的方法进行试验,机组外露金属部分和电源线间的泄露电流值不应大于1.5mA。
6.18 接地电阻 按7.19规定的方法进行试验,机组外露金属部分与接地端之间的电阻值不应大于0.1Ω。
6.19 湿热特性 按7.20规定的方法进行试验,机组湿热特性应满足以下要求: a)机组带电部分与非带电金属部分之间的绝缘电阻值不应小于2MΩ; b)施加1250V电压1min,机组应无击穿或闪络。
7 试验方法
7.1 试验条件 7.1.1 机组应按铭牌上的额定电压和额定频率进行试验。 7.1.2 通用机组额定风量和输入功率的试验工况参数应满足表15的要求;其额定供冷量、供热量的试验工况参数应满足表16的要求;其他性能的试验工况参数应满足表17的要求。



7.1.3 干式机组额定风量和输入功率的试验工况参数应满足表15的要求;其额定供冷量、供热量的试验工况参数应满足表18的要求;其他性能的试验工况参数应满足表19的要求。


7.1.4 单供暖机组额定风量和输入功率的试验工况参数中的出口静压应按0Pa设定,其他参数应满足表15的要求;其额定供热量和噪声试验工况参数应满足表20的要求。

7.1.5 试验用测量仪表应有计量检定有效期内的合格证,其准确度应符合表21的规定。

7.1.6 试验读数的允许偏差应符合表22的规定。

7.1.7 机组试验时的安装应按附录A的要求进行,并应满足以下要求: a)被试机组出口断面尺寸应与其相连接的试验管段的断面尺寸相同; b)暗装机组试验时不应带空气进出口格栅、空气过滤器(网)等部件,且测量时机组出口静压应为额定静压;其他被试机组若带有空气进出口格栅、空气过滤器(网)等部件,试验时应安装完备; c)若被试机组带有旁通阀门,试验时应关闭。
7.2 外观 应用目测法进行检查。
7.3 耐压性 机组盘管应采用气压浸水方法进行耐压性试验。试验时,保压不应少于5min,环境温度不应低于5℃。
7.4 密封性 机组盘管应采用气压浸水方法进行密封性试验。试验时,保压不应少于1min,环境温度不应低于5℃。
7.5 启动和运转 7.5.1 型式检验时,机组在额定电压90%条件下启动,稳定运转10min,而后切断电源,停止运转。风机各挡转速条件下反复进行此试验不应少于3次,检查零部件,应无松动、杂音和发热等异常现象。 7.5.2 出厂检验时,机组应在额定电压90%、风机各挡转速条件下启动1次,检查零部件,应无松动、杂音和发热等异常现象。
7.6 风量 在表15规定的试验工况下,按附录A规定的试验方法测量机组的风量。
7.7 输入功率 在表15规定的试验工况下,按附录A规定的试验方法测量机组的输入功率。
7.8 供冷量和供热量 在表16、表18、表20规定的试验工况下,按附录B规定的试验方法测量并计算机组的供冷量和供热量。
7.9 水阻 按附录B规定的试验装置测量盘管进出口水压降,即为水阻值。试验时,应满足以下要求: a)水温为7℃~12℃,调整水流量为额定供冷工况水流量; b)热水盘管水温为40℃~60℃,调整水流量为额定供暖工况水流量。
7.10 噪声 在表17、表19、表20规定的试验工况下,按附录C规定的试验方法测量机组噪声。
7.11 凝露 在表17、表19规定的试验工况下,按附录B规定的试验装置进行试验。试验时,机组应在低挡转速下运行,待工况稳定后,应再连续运行4h。若机组带可调节导风条,应将其固定到厂家规定的开机默认位置;若厂家没有规定该位置或只能手动调节,导风条应调节到最大开度。
7.12 凝结水 在表17规定的试验工况下,按附录B规定的试验装置进行试验。机组应在高挡转速下运行,待工况稳定后,应再连续运行4h。
7.13 供冷能效系数(FCEER) 在表16、表18、表20规定的试验工况下,按附录B规定的试验方法和试验装置,测得输入功率、水阻、水流量和供冷量后,按式(1)和式(2)计算得到机组供冷能效系数(FCEER):

7.14 供暖能效系数(FCCOP) 在表16、表18、表20规定的试验工况下,按附录B规定的试验方法,测得输入功率、水阻、水流量和供热量后,按式(3)和式(4)计算得到机组供暖能效系数(FCCOP):

7.15 绝缘电阻 绝缘电阻试验应符合下列规定: a)在常温、常湿条件下,用500V绝缘电阻计测量机组带电部分和非带电金属部分之间的绝缘电阻(冷态); b)在表17规定的凝结水试验工况下,连续运行4h后,用500V绝缘电阻计测量机组带电部分和非带电金属部分之间的绝缘电阻(热态)。
7.16 电气强度 电气强度试验应符合下列规定: a)在机组带电部分和非带电金属部分之间施加额定频率1500V的交流电压,开始施加电压不应大于规定值的一半,然后快速升为全值,持续时间应为1min; b)大批量生产时,可为1800V交流电压及持续时间1s来代替。
7.17 电机绕组温升 在表17、表19规定的凝露试验工况下,按GB/T 5171.1-2014规定的电阻法进行测量,分别在试验前和连续运行4h后测量电机绕组电阻和温度。电机绕组温升应按式(5)进行计算:

7.18 泄漏电流 7.18.1 型式试验时: a)对于通用机组,在表17规定的凝结水试验工况下,连续运行4h后,通电不运行,施加110%额定电压,测量机组外露的金属部分与电源线之间的泄漏电流; b)对于干式机组,在表18规定的供冷试验工况下,连续运行4h后,通电不运行,施加110%额定电压,测量机组外露的金属部分与电源线之间的泄漏电流; c)对于单供暖机组,在表20规定的供暖试验工况下,连续运行4h后,通电不运行,施加110%额定电压,测量机组外露的金属部分与电源线之间的泄漏电流。 7.18.2 出厂检验时,通电不运行,施加110%额定电压,测量机组外露的金属部分与电源线之间的泄漏电流。
7.19 接地电阻 应用接地电阻仪测量机组外壳与接地端子之间的电阻。
7.20 湿热特性 应按GB/T 2423.3规定的试验条件,连续运行48h后进行测量。
8 检验规则
8.1 检验分类 机组检验分出厂检验和型式检验。
8.2 出厂检验 8.2.1 每台机组需经制造厂质量检验部门检验合格后,方可出厂。出厂检验项目应按表23规定的项目进行。

8.2.2 对于成批生产的机组,应进行例行抽样检验,抽样时间应均衡分布在1年中。 8.2.3 抽样数量和判定应满足表24的要求。

8.3 型式检验
8.3.1 有下列情况之一者,应进行型式检验: a)新产品定型鉴定时; b)定型产品的结构、制造工艺、材料等更改对产品性能有影响时; c)转厂生产时; d)停产1年以上,恢复生产时。 8.3.2 型式检验应按表23规定的项目进行。 8.3.3 型式检验的数量: a)机组具有相同的结构、零部件布置和电机转速的机种,可用一台代表性样机进行试验,获得这一机种的额定性能; b)各型号之间,在盘管形式、风机和电机转速或零部件布置结构等不同时,应分别进行试验。
9 标志、包装、运输和贮存
9.1 整体要求 机组的标志、包装、运输和贮存应满足GB/T 191的相关要求。
9.2 标志 9.2.1 每台机组上应有耐久性铭牌,并应固定在明显部位。 9.2.2 铭牌上应清晰标出以下内容: a)名称和型号; b)主要技术参数(风量、出口静压、供冷量、供水温度为60℃和/或45℃的供热量、输入功率、电压、频率、水阻、声压级噪声、FCEER、FCCOP等); c)机组重量; d)生产编号; e)生产日期; f)制造厂名。 9.2.3 机组上应有旋转方向标志、电气接地标志,并附有电气线路图。
9.3 包装 9.3.1 机组包装前应进行清洁干燥处理。 9.3.2 机组包装应有防潮、防尘及防震措施。 9.3.3 机组包装箱内应随带以下技术文件: a)产品合格证的内容应至少包括:检验结论、检验员签字或印章、检验日期。 b)产品说明书的内容应至少包括:产品型号和名称、适用范围、执行标准、产品的外形尺寸图、接线图、安装说明和要求、使用说明、维修和保养注意事项。 c)装箱单应列出所有附件。
9.4 运输和贮存 9.4.1 装箱后的机组在运输过程中,不应碰撞、倾倒、压坏和受雨雪淋袭。 9.4.2 机组应存放在清洁、干燥、防火和通风良好的场所,周围应无腐蚀性气体。
9.5 产品样本的基本内容 产品样本的基本内容包括: a)产品名称、执行标准、型号规格、工作原理、特点及用途等; b)主要技术参数:各挡风量下输入功率和噪声值,标准规定试验工况下的供冷量(包含显冷量、全冷量)和供热量选用表、其他试验工况下的供冷量(包含显冷量、全冷量)和供热量(至少包含供水温度分别为60℃、45℃、40℃,温差为15℃的供热量)选用表,水量与水阻性能表或曲线,风量和静压关系表或曲线(高静压机组),重量等; c)产品结构尺寸图。
附录A(规范性附录)风机盘管机组风量试验方法
A.1 适用范围 本附录规定了机组风量、出口静压和输入功率的试验装置和方法。
A.2 试验装置 A.2.1 风量测量装置由静压室、流量喷嘴、穿孔板、排气室(包括风机)等部件组成,示意图见图A.1。

A.2.2 风量测量装置中流量喷嘴示意图见图A.2,并应符合JG/T 21-1999中附录A的要求: a)喷嘴喉部速度应为15m/s~35m/s; b)多个喷嘴应按图A.1所示方式布置,即两个喷嘴之间中心距离不应小于3倍最大喷嘴喉部直径(Dmax),喷嘴距箱体距离不应小于1.5倍最大喷嘴喉部直径(Dmax); c)喷嘴加工应按图A.2的要求进行,喷嘴的出口边缘应呈直角,不应有毛刺、凹痕或圆角。

A.2.3 穿孔板的穿孔率应为40%。 A.2.4 被试机组安装示意图见图A.3。卧式、立式机组应按图A.3a)方式安装;卡式机组应按图A.3b)方式安装;壁挂式机组应按图A.3c)方式安装。连接风管高度不应小于机组出风口高度的4倍。


A.3 试验条件 A.3.1 试验应按表15规定的试验工况、表21规定的测量仪表准确度进行。 A.3.2 试验机组应为安装完好的产品。
A.4 试验方法
A.4.1 试验要求 A.4.1.1 机组应在高、中、低三挡风量和规定的出口静压下测量风量、输入功率、出口静压、温度、大气压力。 A.4.1.2 永磁同步电机机组应在风量比为1:0.75:0.5条件下进行风量测试。 A.4.1.3 高静压机组应进行风量和出口静压关系的测量,中、低挡风量时的出口静压值应按式(A.1)和式(A.2)进行计算:

式中: PH、PM、PL——分别为高、中、低三挡的出口静压,单位为帕(Pa); LH、LM、LL——分别为高、中、低三挡风量,单位为立方米每小时(m3/h)。 A.4.2 出口静压测量 A.4.2.1 在机组出口静压测量截面上将静压孔的取压口连接成静压环,将压力计一端与该环连接,另一端和周围大气相通,压力计的读数为机组出口静压。 A.4.2.2 管壁上静压孔直径应为1mm~3mm,孔边应呈直角、无毛刺,取压接口管的内径不应小于两倍静压孔直径。
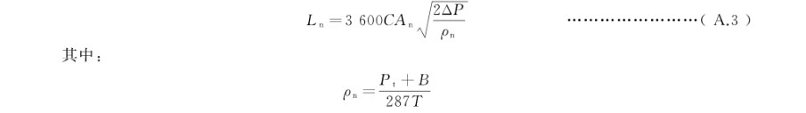
A.5 风量计算 A.5.1 单个喷嘴的风量应按式(A.3)计算:

式中: Ln——流经每个喷嘴的风量,单位为立方米每小时(m3/h); C——喷嘴流量系数,见表A.1;喷嘴喉部直径大于或等于125mm时,可设定C=0.99; An——喷嘴面积,单位为平方米(m2); ΔP——喷嘴前后的静压差或喷嘴喉部的动压,单位为帕(Pa); ρn——喷嘴处空气密度,单位为千克每立方米(kg/m3); Pt——在喷嘴进口处空气的全压,单位为帕(Pa); B——大气压力,单位为帕(Pa); T——机组出口空气热力学温度,单位为开尔文(K)。

A.5.2 若采用多个喷嘴测量,机组的试验风量应等于各单个喷嘴测量的风量总和。 A.5.3 试验结果应按式(A.4)换算为标准空气状态下的风量:

式中: LS——标准空气状态下的风量,单位为立方米每小时(m3/h); L——试验风量,单位为立方米每小时(m3/h); ρn——喷嘴处空气密度,单位为千克每立方米(kg/m3)。
附录B(规范性附录)风机盘管机组供冷量和供热量试验方法
B.1 适用范围 本附录规定了机组供冷量和供热量的试验装置和方法。
B.2 试验装置 B.2.1 装置组成 机组供冷量和供热量应采用图B.1、图B.2和图B.3所示试验装置之一进行测量。试验装置由空气预处理设备、风路系统、水路系统及控制系统等组成。整个试验装置应保温。



B.2.2 空气预处理设备 B.2.2.1 空气预处理设备包括加热器、加湿器、冷却器及制冷设备等。 B.2.2.2 空气预处理设备应有足够的容量,应能满足被试机组入口空气状态参数的要求。
B.2.3 风路系统 B.2.3.1 风路系统由测试段、静压室、空气混合室、空气流量测量装置、静压环和空气取样装置等组成。 B.2.3.2 测试段截面尺寸应与被试机组出口尺寸相同。 B.2.3.3 风路系统应满足以下要: a)便于调节机组测量所需的风量,并能满足机组出口所要求的静压值; b)保证空气取样处的温度、湿度、速度分布均匀; c)机组出口至流量喷嘴段之间的漏风量应小于被试机组风量的1%; d)测试段和静压室至排气室之间应隔热,其漏热量应小于被试机组换热量的2%。 B.2.3.4 空气取样装置和该装置前的混合器示意图分别见图B.4、图B.5,并应符合JG/T 21-1999中附录B的相关规定。


B.2.4 水路系统 B.2.4.1 水路系统包括空气预处理设备水路系统和被试机组水路系统,应满足如下要求: a)空气预处理设备水路系统应包括冷、热水输送和水量、水温的控制调节处理功能; b)被试机组水路系统应包括水温、水阻测量装置、水量测量、水箱和水泵、量筒(应能贮存至少2min的水量)、称重设备和调节阀等,水管应进行保温; c)水温测量装置示意图见图B.6; d)水阻测量装置示意图见图B.7。




B.2.4.2 水路系统测量时应便于水量的调节,并确保测量时水量稳定;同时应确保测量时达到所规定的水温。
B.3 试验方法 B.3.1 按表16、表18、表20规定的试验工况和图B.1~图B.3所示装置之一进行湿工况风量、供冷量和供热量的测量。 B.3.2 湿球温度测量时应满足以下要求: a)流经湿球温度计的空气速度应为3.5m/s~10m/s,最佳速度为5m/s; b)湿球温度计的纱布应洁净,用蒸馏水使其保持润湿,并应与温度计紧密贴住,不应有气泡; c)湿球温度计应安装在干球温度计的下游。 B.3.3 测量步骤如下: a)在试验系统和工况达到稳定30min后,进行测量记录。 b)连续测量30min,按相等时间间隔(5min或10min)记录空气和水的各项参数,应至少记录4次数值。测量期间允许对试验工况参数坐微量调节。 c)取每次记录的平均值作为测量值进行计算。 d)分别计算风侧和水侧的供冷量或供热量,两侧热平衡偏差应在5%以内。取两侧的算术平均值作为机组的供冷量或供热量。 B.3.4 试验应记录的数据见表B.1。

B.4 测量结果计算 B.4.1 风量计算 风量应按式(B.1)进行计算:

式中: L——试验风量,单位为立方米每秒(m3/s); C——喷嘴流量系数,见表A.1; An——喷嘴面积,单位为平方米(m2); ΔP——喷嘴前后静压差或喷嘴喉部处的动压,单位为帕(Pa); ρ——湿空气密度,单位为千克每立方米(kg/m3); B——大气压力,单位为帕(Pa); Pt——在喷嘴进口处空气的全压,单位为帕(Pa); d——喷嘴处湿空气的含湿量,单位为千克每千克干空气(kg/kg干空气); T——机组出口空气热力学温度,单位为开尔文(K)。
B.4.2 供冷量计算 供冷量计算如下: a)风侧供冷量和风侧显热供冷量应分别按式(B.2)和式(B.3)进行计算:

式中: Qa——风侧供冷量,单位为千瓦(kW); L——试验风量,单位为立方米每秒(m3/s); ρ——湿空气密度,单位为千克每立方米(kg/m3); I1 、I2——被试机组进、出口空气焓值,单位为千焦每千克干空气(kJ/kg干空气); d——喷嘴处湿空气的含湿量,单位为千克每千克干空气(kg/kg干空气); QSC——风侧显热供冷量,单位为千瓦(kW); Cpa——空气比定压热容,取为1.005kJ/(kg·℃); ta1、ta2——被试机组进、出口空气干球温度,单位为摄氏度(℃)。 b)水侧供冷量应按式(B.4)进行计算:

式中: QW——水侧供冷量,单位为千瓦(kW); G——供水量,单位为千克每秒(kg/s); CpW——水的比定压热容,取为4.18kJ/(kg·℃); tW1、tW2——被试机组进、出口水温,单位为摄氏度(℃); N——输入功率,单位为千瓦(kW)。 c)实测供冷量应按式(B.5)进行计算:

式中: QL——被试机组实测供冷量,单位为千瓦(kW); Qa——风侧供冷量,单位为千瓦(kW); QW——水侧供冷量,单位为千瓦(kW)。 d)两侧供冷量平衡误差应按式(B.6)进行计算:

式中: Qa——风侧供冷量,单位为千瓦(kW); QW——水侧供冷量,单位为千瓦(kW); QL——被试机组实测供冷量,单位为千瓦(kW)。
B.4.3 供热量计算 供热量计算如下: a)风侧供热量应按式(B.7)进行计算:

式中: Qah——风侧供热量,单位为千瓦(kW); L——试验风量,单位为立方米每秒(m3/s); ρ——湿空气密度,单位为千克每立方米(kg/m3); Cpa——空气比定压热容,取为1.005kJ/(kg·℃); ta1、ta2——被试机组进、出口空气干球温度,单位为摄氏度(℃)。 b)水侧供热量应按式(B.8)进行计算:

式中: QWh——水侧供热量,单位为千瓦(kW); G——供水量,单位为千克每秒(kg/s); CpW——水的比定压热容,取为4.18kJ/(kg·℃); tW1、tW2——被试机组进、出口水温,单位为摄氏度(℃); N——输入功率,单位为千瓦(kW)。 c)实测供热量应按式(B.9)进行计算:

式中: Qh——被试机组实测供热量,单位为千瓦(kW); Qah——风侧供热量,单位为千瓦(kW); QWh——水侧供热量,单位为千瓦(kW)。 d)两侧供热量平衡误差应按式(B.10)进行计算:

式中: Qah——风侧供热量,单位为千瓦(kW); QWh——水侧供热量,单位为千瓦(kW); Qh——被试机组实测供热量,单位为千瓦(kW)。
附录C(规范性附录)风机盘管机组噪声试验方法
C.1 噪声测量室要求 C.1.1 噪声测量室应为消声室或半消声室,半消声室地面应为反射面,噪声测量应符合GB/T 9068的相关规定。 C.1.2 测量室的声学环境应满足表C.1的要求。

C.2 噪声测量条件 C.2.1 被试机组电源输入应为额定电压、额定频率,并可进行高、中、低三挡风量运行。 C.2.2 被试机组出口静压值应与风量测量时一致。 C.2.3 在半消声室内测量时,测点距反射面应大于1m。 C.2.4 被测风机盘管机组与背景噪声之差应大于10dB(A)。
C.3 噪声测量 C.3.1 出口静压为0Pa的立式、卧式、卡式和壁挂式机组应分别按图C.1 a)~b)的要求进行测量。

C.3.2 出口静压不大于12Pa的机组应按图C.2的要求进行测量,低静压机组可只测出风口噪声。测量时,在机组回风口连接长度为1m且内壁光滑的风管,风管材质应为20mm厚挤塑聚苯板,密度不应小于32kg/m3。在风管端部应设置阻尼网调节机组静压。高挡风量出口静压取额定出口静压,中、低挡风量出口静压值应按式(A.1)确定。

C.3.3 出口静压大于12Pa的机组应按图C.3的要求测量,高静压机组应测试机外噪声。测量时,在机组回风口和出风口分别连接长度为2m且内壁光滑的风管,风管材质应为20mm厚挤塑聚苯板,密度不应小于32kg/m3。风管进、出风口不应朝向半消声室反射面,距噪声测点位置不应小于2m。在回风口风管端部应设置阻尼网,调节机组静压。高挡风量出口静压取额定出口静压,中、低挡风量出口静压值应按式(A.1)确定。

C.3.4 应使用声级计测出机组高、中、低三挡风量时的声压级dB(A)。