古词大全
首页
知道不知道吖
满小明灬
从头再来0522
小牙哥
UG模具设计
皮肤美容邬宗周
首页
›
王杰高中数学
›
2012新课标卷理科解析几何 (2012新课标高考试卷)
2012新课标卷理科解析几何 (2012新课标高考试卷)
🏷️
王杰高中数学
✍️ 教育领域创作者
📅 2026-04-20 21:40:55
使用地区
选择题,每题5分,共60分
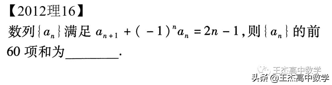
填空题,每题5分,共20分
解答题,每题12分,共60分
选做题(3选1),共10分
参考答案