来源:赛柏蓝器械
编辑:林楚恒
各地不得自行制定目录或用变通的方法增加目录内医用耗材,也不得自行调整目录内医用耗材的限定支付范围
1
未列入的耗材,基金不予支付
4月12日,广东省医疗保障局、广东省人力资源社会保障厅下发关于印发《广东省基本医疗保险、工伤保险和生育保险医用耗材目录(2021年)》的通知。

《医用耗材目录》是广东省基本医疗保险、工伤保险和生育保险基金支付医用耗材费用的标准,能够进一步规范医用耗材使用,提高基金效率,更好地保障参保人员权益。机构要求各地各级医疗保障部门、人力资源社会保障部门要做好《医用耗材目录》的实施工作。
各地要严格执行《医用耗材目录》,不得自行制定目录或用变通的方法增加目录内医用耗材,也不得自行调整目录内医用耗材的限定支付范围。
《医用耗材目录》自2021年8月15日起执行,《广东省城镇职工基本医疗保险诊疗项目范围》等文件与本通知不一致的,以本通知为准。《医用耗材目录》按国家有关要求及广东省实际情况适时调整。
《医用耗材目录》的医用耗材是指经药品监督管理部门批准,根据我省医疗服务价格文件规定可以单独收费,并具有医保医用耗材编码的一次性医用耗材。《医用耗材目录》所列的医用耗材为基本医疗保险、工伤保险和生育保险基金准予支付费用的医用耗材,未列入的医用耗材基金不予支付。
临床医师根据病情进行诊疗行为、开具处方不受《医用耗材目录》的限制。
2
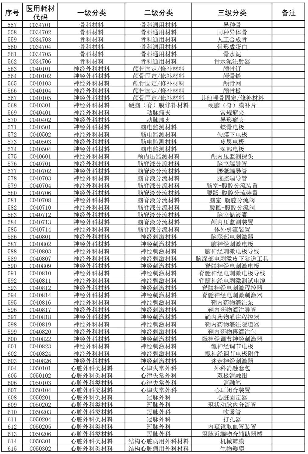
耗材目录,采用三级分类
《医用耗材目录》综合考虑监管需求及临床匹配需求,采用三级分类的方法。一级分类为医用耗材的学科、品类,二级分类为医用耗材的用途、品目,三级分类为医用耗材的部位、功能、品种。
《医用耗材目录》的“医用耗材代码”数字共6位,前两位为一级分类,第3、4位为二级分类,后两位为三级分类。
在文末的表格中,“备注”栏中对部分医用耗材规定了限定支付范围。
1.“备注”栏标为“限基本医疗保险”的医用耗材,仅限于基本医疗保险基金支付的耗材,不属于工伤保险基金支付的范围。
2.“备注”栏标为“限生育保险”的医用耗材,是生育保险可以支付的医用耗材,城乡居民医保参保人员发生的与生育或终止妊娠有关的费用时也可支付,不属于工伤保险基金支付的范围。
3.“备注”栏标为“限工伤保险”的医用耗材,仅限于工伤保险基金支付的医用耗材,不属于基本医疗保险、生育保险基金支付范围。
广东医保局对部分三级分类条目内涵的说明如下:


“人工耳蜗”列入基本医疗保险基金支付部分费用的医用材料类项目,基本医疗保险基金支付应当同时满足以下条件:
首先是双耳重度或极重度感音神经性聋患者,同时也是7周岁以下的语前聋患者或经听力语言康复后有一定听力言语基础的18周岁以下语前聋患者。
3
正式文件目录下发


















