古词大全
首页
乐趣做
鹏鹏鸟生活笔记
深圳巢里巢外民宿
进击的申申
子初母婴生活研究院
缘来妙不可言言
首页
›
幼教杂谈
›
三年级数学六单元测试卷含答案 (六年级上册数学月考三卷附答案)
三年级数学六单元测试卷含答案 (六年级上册数学月考三卷附答案)
🏷️
幼教杂谈
✍️ 关注教育,关注幼儿健康全面地成长。
📅 2026-04-21 22:34:45
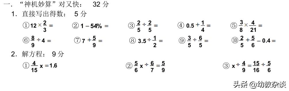
小学六年级上册测试卷(一)
小学六年级上册测试卷(二)
小学六年级上册测试卷(三)