生物基阻燃剂是以天然可再生材料为原料的一类绿色阻燃剂,使用自然界中可再生的生物基材料作为阻燃剂。
以 纤维素、壳聚糖、木质素 等为代表的可降解生物材料,由于它们的 大分子结构的多羟基结构,在燃烧时具有很好的成炭率 ,所以可利用生物材料替代石油基阻燃剂和成炭剂。
01
# 纤维素

纤维素 是自然界中含量最丰富的生物聚合物。对纤维素进行化学改性,是一种用于提高基体阻燃性能的有效方法。
纤维素磷酸化是目前最广泛的一种改性方法,可以改善纤维素在的成炭能力,从而提高基体的阻燃性能。 纤维素的磷酸化反应可以通过与磷酸、磷酸盐、亚磷酸、多聚磷化物、五氧化二磷或五硫化磷、膦酸酐进行羟基*能官**化,或通过接枝含磷聚合物来实现。事实上,含磷化合物的存在,有利于催化纤维素热降解和形成残炭。
02
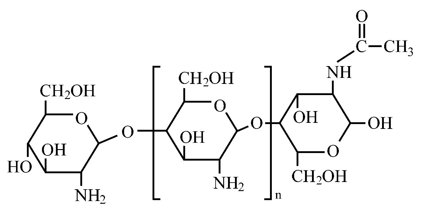
# 壳聚糖
壳聚糖 ( Chitosan) 是甲壳素脱乙酰化后的产物, 其侧链结构中含有相当数量的羟基和氨基,能够使壳聚糖聚合的高分子材料在 受热分解过程中会在聚合物中炭化(碳源),阻断火焰的蔓延,并释放出无毒不可燃气体,如 CO2、NH3、N2 (气源)等,降低燃烧区的氧浓度,起到阻燃的效果,降低对环境的危害。

壳聚糖化学结构式
近年来关于壳聚糖在阻燃方面的应用主要集中在两方面,一方面它可以作为阻燃涂层在棉织物、泡沫中发挥作用,另一方面,它可以作为添加剂加入基体发挥作用。
03
# 木质素
木质素 是含量第二丰富的高分子生物聚合物,木质素的 高芳族碳含量以及出色的结构修饰能力,特别是木质素的热分解能够在较宽的温度范围内发生 ,使得木质素成为了改善高分子材料热稳定性的理想材料。

木质素化学结构式
在聚丙烯(PP)中加入15%~20wt%的木质素可有效改善其燃烧性能。随着木质素在PP中含量的增加,复合材料的阻燃性能进一步提高,其中pHRR、THR和质量损失率呈下降趋势。 这是因为在燃烧过程中材料表面生成了大量致密且连续的残炭,它的存在起到一定绝缘层的作用,有效的阻止了氧气进入和热量、降解产物的挥发 。
在丙烯腈-丁二烯-苯乙烯(ABS)共聚物/木质素复合材料中,加入增容剂苯乙烯-丁二烯-苯乙烯-接枝马来酸酐可进一步提高其阻燃性能。 这一改善是由于在燃烧样品的表面形成了完整且几乎全部烧焦的、具有致密微观形貌的炭化层 。
木质素与金属氢氧化物、磷基化合物等其他阻燃添加剂复配,可进一步提高木质素的阻燃效果。这是因为增加了残炭的生成, 这要归功于无机热稳定化合物的形成,以及催化作用,导致放热率进一步降低 。
同时,木质素的磷酸化也正在被越来越多的研究。 磷酸化木质素同时具有热稳定的芳香结构和含磷基团,通常表现出更高的成炭能力, 这可以归因于热降解过程中生成的磷酸化合物的脱水作用。含磷化合物在燃烧过程中催化碳氢分子降解成焦炭。当磷化木质素加入到聚合物材料中时,这种焦炭会覆盖未燃烧的材料,并切断火焰的燃料供应,从而抑制火焰的进一步传播。
用含氮化合物对木质素进行*能官**化是改善其阻燃性能的另一种方法。含氮木质素可以很好地与磷化合物结合使用,并在高分子材料中起到膨胀型阻燃体系的作用 :磷化合物是酸源,而木质素是能够成炭的碳源,而接枝到木质素上的氮化合物可以释放不可燃气体,从而使炭层膨胀。
04
#植酸
在植物种子中,磷元素主要以 植酸(PA) 的形式存储,其约占谷类和油料种子干重的6%。由于可再生性和高磷含量(28wt%),植酸作为阻燃剂的使用也引起了人们的关注。

植酸化学结构式
植酸含有丰富的磷基团,在阻燃体系中主要作为酸源。 当高分子材料燃烧时,磷系阻燃剂受热分解为磷酸液态膜,保护材料基质,然后,进一步脱水生成偏磷酸,并聚合生成聚偏磷酸,这是高聚物脱水成炭的关键,同时,高浓度的磷基团能够有效抑制挥发物质的生成,提升基材的阻燃性能。
05
# 淀粉
淀粉主要用作膨胀型阻燃体系的成炭剂 ,在燃烧过程中,淀粉与膨胀体系中的其他组分(如APP或无卤阻燃剂)相互作用,导致在燃烧试样表面形成膨胀炭层,限制了氧的扩散和传热。
06
# 蛋白质
蛋白质 ,如酪蛋白、疏水性蛋白或乳清蛋白,是具有一定空间结构的高分子物质。 蛋白质作为阻燃剂使用主要用于棉织物阻燃。 酪蛋白和乳清蛋白磷含量高,有利于纤维素脱水成炭,而不是解聚产生可燃物。
07
# 其他生物基阻燃剂
自然界中的物质种类繁多,除了上述介绍到的从生物质中提取的可用于阻燃的物质外,像 β环糊精、异山梨醇、茶皂素、酒石酸 等 多糖类物质 , 间苯三酚、腰果酚、二酚酸 等 生物基芳香族化合物 , 植物油、DNA等一些天然物质 ,均可做为阻燃剂来展开研究。
[1]于凯旋,郭利静,石旭柳,张鲁民,马晶军.生物基阻燃剂的应用进展[J].塑料,2021,50(03):99-105+120.
[2]任亚静. 壳聚糖微球生物基阻燃剂的制备及其在聚乳酸中的应用[D].北京化工大学,2020.
[3]壳聚糖基阻燃剂的研究进展[J]. 郝凤岭,耿伟涛,张健,刘群,丁斌. 毛纺科技. 2019(02)
[4]有机蒙脱土协同含磷木质素基成炭剂阻燃聚乳酸[J]. 宋艳,王楠,李锦春,单雪影,邹国享,赵彩霞. 复合材料学报. 2019(01)
[5]壳聚糖/聚磷酸铵膨胀阻燃PP的阻燃及抑烟性能[J]. 白洁,薛宝霞,杨雅茹,宋英豪,彭云,牛梅. 工程塑料应用. 2017(07)
[6]阻燃木质素基聚氨酯漆膜材料的制备及研究[D]. 张玉美.长春工业大学 2019
[7]Rigid polyurethane foams with halogen‐free flame retardants: Thermal insulation, mechanical, and flame retardant properties[J] . Emre Akdogan,Murat Erdem,Mustafa Erdem Ureyen,Metin Kaya. Journal of Applied Polymer Science . 2020 (1)
[8]Sodium lignin sulfonate: a bio-macromolecule for making fire retardant cotton fabric[J] . Akshay Shukla,Veerender Sharma,Santanu Basak,S. Wazed Ali. Cellulose . 2019 (13-1)
[9]The Efficiency of Biobased Carbonization Agent and Intumescent Flame Retardant on Flame Retardancy of Biopolymer Composites and Investigation of Their Melt-Spinnability[J] . Muhammad Maqsood,Fabian Langensiepen,Gunnar Seide. Molecules . 2019 (8)