三角形面积计算公式高中数学讲解 (三角形的面积公式怎么推理出来的)

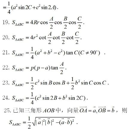
高中数学:三角形的30个面积公式总结,超级干货,高中生快来收啦~

查看更多初中、高中知识内容,关注我哦,每天都会更新!

数学高二三角形的面积及正弦定理,三角形面积计算公式高中数学讲解

数学高二三角形的面积及正弦定理,三角形面积计算公式高中数学讲解

数学高二三角形的面积及正弦定理,三角形面积计算公式高中数学讲解

数学高二三角形的面积及正弦定理,三角形面积计算公式高中数学讲解

数学高二三角形的面积及正弦定理,三角形面积计算公式高中数学讲解

数学高二三角形的面积及正弦定理,三角形面积计算公式高中数学讲解

数学高二三角形的面积及正弦定理,三角形面积计算公式高中数学讲解

数学高二三角形的面积及正弦定理,三角形面积计算公式高中数学讲解

数学大师