
泛夫君
身份:您的朋友
本文大概
2300字
阅读需要
6分钟
关于数学的学习方法,背熟公式是第一步。接下来才是在做题的过程中进行归纳总结,形成答题的套路和模板。今天就为大家整顿了高中数学必考公式,速速收藏吧!
基本初等函数Ⅰ




函数的应用



空间几何体

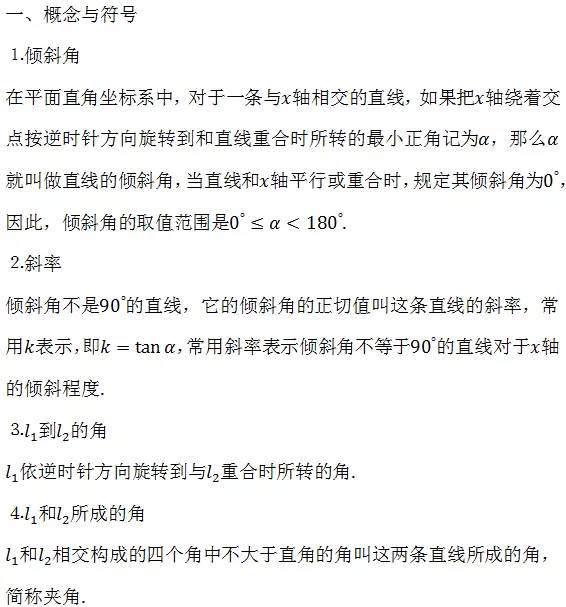
点、直线和平面位置关系


空间向量与立体几何





直线与方程


圆与方程



圆锥曲线与方程


统计

概率

离散型随机变量的分布列

三角函数





三角函数的图象与性质



三角恒等变换

解三角形

平面向量


数列



不等式


常用逻辑用语


导数及其应用




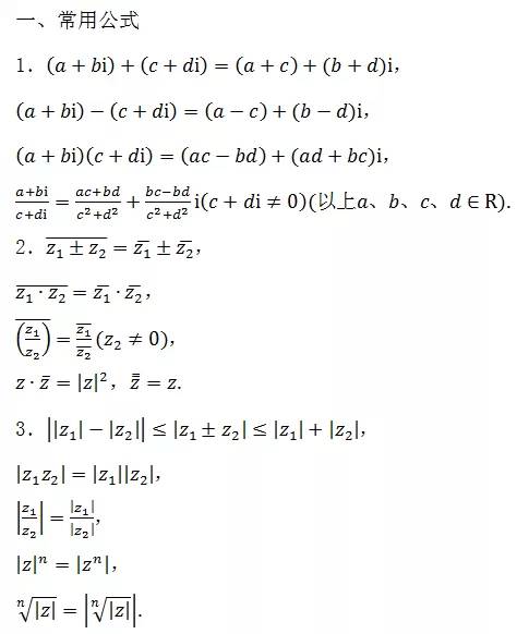
复数

计数原理



坐标系与参数方程


▍ 声明:本文整顿自网络,如有侵权,请联系删除。
编辑丨宋一文
来源丨泛夫课堂:高考之路,保驾护航