第一章中已经说明了时间和空间的概念,当时牛顿认为时间和空间都是绝对的,互相不影响。有句话说“支持相对论者不一定真正的懂相对论,但反对相对论者一定不懂相对论”。
时空是什么?
在狭义相对论中,爱因斯坦发现了时间和空间的神秘联系,带领人们意识到了时空的存在。在狭义相对论范畴内,时间是相对的,空间也是相对的,但时空确实一个整体的。两个事件的时间间隔和空间距离在不同速度的人看来是不一样的。在我们看来都是三围的空间,但时间和空间是联系的,不能把时间抛开,所以必须加上时间这个维度,爱因斯坦的数学老师闵可夫斯基在相对论基础上提出了“四维空间”,思维时空也就是一个数学家的名词。那么时空究竟是怎么发现联系起来的,狭义相对论是如何建立的呢?首先必须普及两个知识点,一个是光速不变原里和经典力学时空变换。

光速不变原里
什么是光速不变原里?
简单理解为光不受其它因素的干扰而影响了光的传播速度,光的速度是恒定不变的。
我们生活中身边时常都伴随着光,但对光的概念却少之又少。爱因斯坦提出了光由携带能量的粒子——光子组成的。我们都知道电磁波,生活中很多种信息传递是靠电磁波传递,太阳光是电磁波其中一种可见辐射形态,我们可以把他当做“光线”或“光波”,光又是“粒子”又有“光波”,因此光具备“波粒二象性”的很奇怪性质。
当时光学家们认为光的传播需要媒介,而这种媒介叫做“以太”,以太(ether)这个词看着怪异,先不管他的含义,迈克尔逊(美国物理科学家,犹太人)也是当时寻找以太行动痴迷者,在1886年迈克尔逊开始了实验”迈克尔逊-莫雷实验”(因为实验的结果远远没达到预期效果,所以实验过程在这里就不提了)。,本来满怀信心认为一定有把握找到以太的存在,但实验后却令人大跌眼镜。不过这个实验虽然找不到“以太”,到后来科学家们借此实验和改进实验装置,其结果是,测量的却精准,越证明光速不变原则。再到后来科学家们经过多次实验,到量子力学领取,都证明了光的传播速度是不变的,没有什么“以太”的介质。狭义相对论中同时也提到了“光的传播速度是宇宙中最快的,人们无法超越它的速度”,至于为什么,后面章节会解释得清楚。

伽利略变换
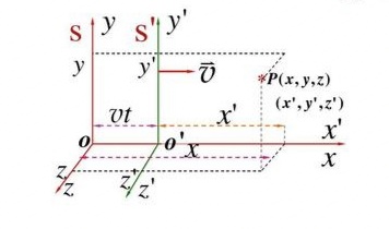
首先我们来看伽利略(1564年2月15日-1642年1月8日,是意大利天文学家,物理学家)时空变换。

上一章中已经说明了空间坐标系,那么这个坐标系给我们什么知识呢?空间中的某一个点P,以恒定速度v向x坐标方向运动,经过一段时间t以后,P点的坐标为(x,y,z),那原先P的坐标为多少呢?很显然x轴重合,y和z距离O点不变,即 y' = y,z' = z。那么x呢?根据s = vt公式,x' = x - vt。表达式如下

这是经典力学中的时空计算方法,这看似很简单无懈可击的计算很符合理论,随着电磁学的发展,其破绽就越来越明显了。狭义相对论中发现这个式子只适合于低速运动,高速运动中就错了。但由于这式子中加进了t(时间),是不是逐渐走向了四维空间。
这一章说明了时空的联系和时空的变换,下一章说明为什么速度越快时间流逝越慢,经典力学已经不适合应用高速运动,如何实现时空之旅。
谢谢观看!