1,、数形结合的思想
数形结合的思想是指将数量与图形结合起来进行分析,研究、解决问题的一种思维策略,著名数学家华罗庚先生说;“数与形,本是相依,怎能分作两边飞,数缺形时少直说,形少数时难入微,数形结合百般好,隔离分家万事休”。这充分说明了数形结合思想在数学中的重要性。数形结合思想,可以使抽象复杂的数量关系通过几何图形直观表现出来;也可以使图形的性质通过数量间的计算,分析,达到更加完善,严密、准确。本文将考虑数轴和相反数的概念时体现了数形结合的思想。
例题 1、 已知实数 a、b 在数轴上的对应点的位置如图所示,则 |a| - |a+b| - |b-a| 的值为 ( )。

A. 2b+a B. 2b-a C. a D. b
考点分析:此题为与数轴有关的代数式化简问题。
思路梳理:观察数轴可知 a<0,b>0,且|b|<|a|,从而可简化代数式。
|a|-|a+b|-|b-a|=(-a)-[-(a+b)]-(b-a)=-a+a+b-a=a.
答案:C.
(你会做下面这道题目吗?回复可把你的答案写下来哦)
例题2、 已知 a, b 在数轴上的对应点如下图所示,则 a, b,-a, -b 的大小关系是( )。

A. a.> -b > -a > -b B. -b > a >-a >b
C. -b > a >b > -a D. a >-b > -a >b
2、 分类讨论的思想
在解题中,将某一数学对象,根据他的本质属性,按一定的标准分成若干类型,然后再讨论,进行解答,称这种方法为分类讨论。
分类讨论时应注意以下三个问题:
(1) 分类讨论的关键是要弄清楚引起分类讨论的原因;
(2) 要确定分类讨论的对象和标准,标准不同,分类的结果也不同;
(3) 分类讨论的原则是不重复,不遗漏。
例题 3、 若 a, b, c 为不等于 0 的有理数,则
的值为多少?
考点分析:本题考查绝对值的意义以及分类讨论的思想方法。
思路梳理:

解:(1)当 a, b, c 同为正数时, 原式 = 1+1+1+1=4.
(2)当 a, b, c 同为负数时, 原式 = -1 -1 -1-1= -4.
(3)当 a, b , c 两正一负时, 原式 = 1+1 -1 -1 =0.
(4)当 a, b ,c 一正一负时, 原式 = 1- 1 -1 +1 = 0.
综上可得, 原式= 4 或 -4 或 0.
(你会做下面这道题目吗?回复可把你的答案写下来哦)

考点分析:本题用分类讨论的思想来比较大小。
3.转化与划归的思想
所谓转化与划归就是将所要解决的问题转化归结为另一个较易问题或已经解决的问题,具体地说就是把新知识转化为旧知识,把未知转化为已知,把复杂转化为简单问题。
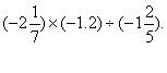
例题 4、计算:

考点分析:本题考查有理数乘法及转化的思想方法。
思路梳理:将题目中的小数转化为分数,带分数转化为假分数,除法转化为乘法后进行计算。
解:原式=

数学思想是教学的灵魂,然而如今课下问一下学生数学思想都有什么,往往让人感到失望。学生们现在竟说不出个一二来,这不是在耍花把势,我想5年前的学生起码可以说出几个数学思想来。为此在以后的文章中我将继续为大家讲解数学思想以及他的用途。实数个知识点还有很多内容,我希望家长和学生们可以细细体会数学思想。
更多经典习题有需要者留言回复,我将把你需要的章节经典习题发给你。有任何关于数学学习的问题也可以留言哦!我相信我一定是你学习与生活上的好友。