异步电机与同步电机同属于交流电机,从功能上两者均分为电动机与发电机两种,按照相数又有单相异步电机、三相异步电机、单相同步电机、三相同步电机。我们将以三相异步电动机和三相同步电动机为例讲述交流电机的工作原理。
三相异步电动机和三相同步电动机在运行时,其三相定子绕组接三相交流电源,由电源提供三相交流电流,在电机内部产生一旋转磁场,该磁场交链定子绕组和转子绕组,实现从定子到转子能量的传递和转换。因此, 交流电机的旋转磁场与力的转换是其工作的关键 。
首先来看看关于磁场的几个基础知识。
01关于磁场与力的几个基础知识
右手螺旋定则
也叫安培定则,是表示电流和电流激发磁场的磁感线方向间关系的定则,简而言之就是用于判断通电线圈判断极性。通电直导线中的安培定则(安培定则一):用右手握住通电直导线,让大拇指指向直导线中电流方向,那么四指指向就是通电导线周围磁场的方向;通电螺线管中的安培定则(安培定则二):用右手握住通电螺线管,让四指指向电流的方向,那么大拇指所指的那一端是通电螺线管的N极。

左手定则
左手定则用于判断通电导线在磁场中的受力方向。伸开左手,让磁感线穿入手心(手心对准N极,手背对准S极),四指指向电流方向,那么大拇指的方向就是导体受力方向。

右手定则
右手定则用以确定导体切割磁感线运动时在导体中产生的感应电流方向。伸开右手,使大拇指跟其余四个手指垂直并且都跟手掌在一个平面内,把右手放入磁场中,让磁感线垂直穿入手心,大拇指指向导体运动方向,则其余四指指向感应电流的方向。

02交流电机的旋转磁场
三相交流电机定子绕组为三相对称绕组,即由三组形状与匝数相同,轴线在空间位置上相差120°的绕组组成。如下图所示,红、黄、绿三种颜色分别代表电机定子U、V、W三相绕组。

下图为电机绕组截面示意图,图中U1、V1、W1为绕组首端,U2、V2、W2为绕组末端。

三相交流电的电流波形为相位互差120°的正弦波,如下图所示

当定子绕组中流过三相交流电,ωt = 0时,iU为零,没有电流;iV为负向电流,由U2流向U1;iW为正向电流,由W1流向W2;由右手螺旋定则判断三相绕组的合成磁场方向如下

磁场示意图中,定义流向纸内为正方向,用 × 表示,流向纸外为负方向,用 · 表示 。
ωt = 2π/3时,iU为正向电流,由U1流向U2;iV为零,没有电流;iW为负向电流,由W2流向W1;由右手螺旋定则判断三相绕组的合成磁场方向如下

ωt = 4π/3时,iU为负向电流,由U2流向U1;iV为正向电流,由V1流向V2;iW为零,没有电流;由右手螺旋定则判断三相绕组的合成磁场方向如下

ωt = 2π时,iU为零,没有电流;iV为负向电流,由V2流向V1;iW为正向电流,由W1流向W2;由右手螺旋定则判断三相绕组的合成磁场方向如下

经过以上分析可见,合成磁场在空间是旋转的。电流变化一个周期,两极磁场便在空间转过一周。
以上是一对极的情况,同理可分析,当磁场为两对极时,电流每变化一个周期,两对极磁场旋转半周。
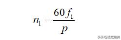
由定子绕组形成的这个旋转磁场的转速称为同步转速n1

式中,p为磁场极对数,f1为三相电频率。
03三相同步电机的工作原理
同步电机转子为励磁绕组或永磁体,这里可以简单理解成通电就带有磁场或本体带有磁场,并具有N和S两个磁极,如下图所示

同步电机工作时,定子绕组接到三相电源上,根据以上分析三相电流通过三相绕组形成以同步转速n1旋转的旋转磁场,根据同性相吸、异性相斥的原理,旋转磁场便会牵着转子以相同的转速旋转

因而,同步电机的转子转速n与同步转速n1相同。
04三相异步电机工作原理
异步电机转子结构与定子类似,其横截面可以理解为由很多根首位相连的导线组成,示意图如下所示

当异步电机工作时,定子绕组接到三相电源上,根据以上分析三相电流通过三相绕组形成以同步转速n1旋转的旋转磁场。为了方便说明,我们将定子磁场等效成两极
该旋转磁场与转子导体有相对切割运动,根据电磁感应原理,转子导体(转子绕组是闭合通路)产生感应电动势(感应电动势的方向用右手定则判定),进而产生与感应电动势方向一致的感应电流,图中同样用 · 和 × 表示电流方向。

载流的转子导体在定子产生的磁场中受到电磁力作用,由左手定则可以判断每根转子导体的受力方向,进而驱动转子沿着旋转磁场方向旋转。

因为三相异步电机转子线圈中的感应电流是由于转子导体与磁场有相对运动而产生的。 三相异步电机的转子转速不会与旋转磁场同步,更不会超过旋转磁场的速度 。
如果三相异步电机转子的转速与旋转磁场的转速成大小相等,那么,磁场与转子之间就没有相对运动,导体不能切割磁力线,因此转子线圈中也就不会产生感应电势和电流,三相异步电机转子导体在磁场中也就不会受到电磁力的作用而使转子转动。
因而三相异步电机的转子旋转速度不可能与旋转磁场相同,总是小于旋转磁场的同步转速,因此会有一个速度差(称为转差或滑差)。正因为转子转速与定子磁场转速不同,才称为异步电机。