高考数学复习之解三角形基础 (高三二轮解三角形求值)

今天学长继续说高三复习,在高考数学的13个板块当中,三角形部分占整个第五大章,占高考总分数的12到15分之间。知识点繁杂,而且涉及很多公式的转换,很多同学不能灵活应用知识解题,导致频繁丢分。

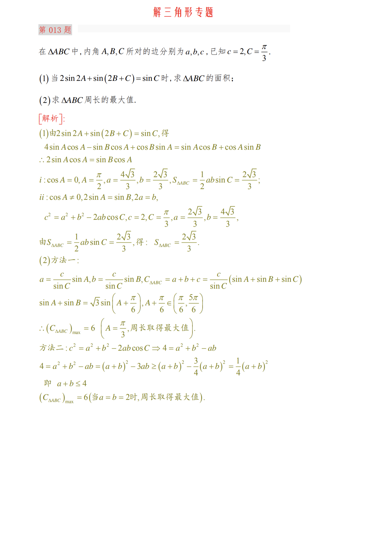
高三二轮解三角形求值,高考数学解三角形大题题型全归纳

那么如何解决这个问题呢?我们在二轮复习的时候不会像一轮复习那样,去研究知识点,最高效的方法就是经过题型专项训练,让我们更快、更全面地了解高考的出题方式,从而挑出最常考的重点、难点逐一击破,实现“针对性”提分。

这里就给大家总结了《解三角形专题高频题型全归纳》都是近三年高考出题频率最高的经典题型,有解析,吃透这些题型,那么这12分很容易拿到了。

因为篇幅有限,点击我的头像私信我回复“学习资料”就可以领取word电子版。

以下是部分资料内容,完整高清版的发送私信即可。更多资料将持续更新,敬请关注

高三二轮解三角形求值,高考数学解三角形大题题型全归纳

高三二轮解三角形求值,高考数学解三角形大题题型全归纳

高三二轮解三角形求值,高考数学解三角形大题题型全归纳

高三二轮解三角形求值,高考数学解三角形大题题型全归纳

高三二轮解三角形求值,高考数学解三角形大题题型全归纳

高三二轮解三角形求值,高考数学解三角形大题题型全归纳

高三二轮解三角形求值,高考数学解三角形大题题型全归纳

高三二轮解三角形求值,高考数学解三角形大题题型全归纳

以上分享希望能帮助到大家