本文作者潘恺璠参加过清北学堂NOIP2017训练营提高组精英班,笔记非常详细。特分享给大家!基本数论相关笔记较多,为方便大家阅读,我们预计会分为三到四篇文章介绍给大家。
点击一下标题可查看其他相关笔记!
NOIP训练营集训笔记—基本数论(一)
NOIP2019年冬令营正在报名中,寒假和元旦都会开课,欢迎大家咨询报名!欢迎咨询报名NOIP2019冬令营!<-点击查看
基本数论(二)
15.欧拉定理:
费马小定理的推广:aφ(m)≡1(mod m)。
补充一些同余的性质:
①反身性:a≡a(mod m)
②对称性:若a≡b(mod m),则b≡a(mod m)
③传递性:若a≡b(mod m),b≡c(mod m),则a≡c(mod m)
④同余式相加:若a≡b(mod m),c≡d(mod m),则a±c≡b±d(mod m)
⑤同余式相乘:若a≡b(mod m),c≡d(mod m),则ac≡bd(mod m)
经典例题:给定数a、b、p,求a x ≡b(mod p)的最小正整数解x。
BSGS算法——“北上广深算法”或“拔山盖世算法”:
令x=im-j,m=⌈sqrt(p)⌉,则aim-j≡b(mod p),
移项,有:(am)i≡baj(mod p)
首先,从0~m枚举j,将得到的baj的值存入hash表;
然后,从1~m枚举i,计算(am)j,查表,如果有值与之相等,则当时得到的im-j是最小值。
#include<iostream>
#include<cstdio>
#include<cstring>
#include<algorithm>
#include<map>
#include<cmath>
using namespace std;
long long a,b,c,m,f[10000000];
map<long long,int> mp;
long long qsm(long long x) //快速幂
{
long long sum=1;
long long aa=a;
while(x>0)
{
if(x&1)
sum=(sum*aa)%c;
x=x>>1;
aa=(aa*aa)%c;
}
return sum;
}
int main()
{
mp.clear();//删除map中的所有元素。
while(scanf("%lld%lld%lld",&c,&a,&b)!=EOF)
{
mp.clear();
if(a%c==0)//判断a,c 是否互质,因为c 是质数,所以直接判断是否整除即可
{
printf("no solution\n");
continue;
}
int p=false;
m=ceil(sqrt(c));
long long ans;
for(int i=0;i<=m;i++)
{
if(i==0)
{
ans=b%c;
mp[ans]=i;
continue;
}
ans=(ans*a)%c;
mp[ans]=i;
}
long long t=qsm(m);
ans=1;
for(int i=1;i<=m;i++)
{
ans=(ans*t)%c;
if(mp[ans])
{
int t=i*m-mp[ans];
printf("%d\n",(t%c+c)%c);
p=true;
break;
}
}
if(!p)
{
printf("no solution\n");
}
}
}
经典例题:求[l,r]之间的所有素数,1≤l≤r≤10 9 ,r-l≤10 5 。
三个解法:
①Miller-Rabin
②线性筛
③SPOJ PRIME1
二、概率:
一些定义和推论:
①Pr[i]表示事件i发生的概率
②Pr[1]+Pr[2]+…Pr[N]=1
③xi表示事件i的权重(自己定义的权重)
④事件xi的期望E[xi]=Pr[i]×xi(i:1~N) 期望=概率×权重
⑤对于独立事件i和j,Pr[i^j]=Pr[i]×Pr[j],事件i和j的期望是可加的
⑥当事件j已经发生时,事件i发生的概率为:Pr[i|j]=Pr[i^j]/Pr[j]
一个有趣的结论:当太阳已经从东边升起N天后,第N+1天从东边升起的概率:(N+1)/(N+2)。
1.Problem 1:
在小葱和小泽面前有三瓶药,其中有两瓶是毒药一瓶是可乐,每个人必须喝一瓶。
小葱和小泽各自选了一瓶药,小泽手速比较快将药喝了下去,然后就挂掉了。
小葱想活下去,他是应该喝掉手上这瓶药,还是喝掉另外一瓶呢?
我们把瓶子编号为1、2、3,1、2号药是毒药,3号药是可乐。
根据全排列的知识,我们列出6种情况:
1、2、3;1、3、2;
2、1、3;2、3、1;
3、1、2;3、2、1;
由于第一个人是被毒死了,所以只可能是1、2、3;1、3、2;2、1、3;2、3、1;这四种情况,我们发现第二个人喝的是解药的概率为:Pr[是解药]=(1+1)/4=50%。
更简单的想法:小葱选哪个都一样,因为小葱不知道哪个是毒药哪个是可乐。
钟神:显然无所谓!
2.浅谈玛丽莲问题:
美国某娱乐节目的舞台上,台上有三个门,其中一个门后边有汽车,另外两个门后边是山羊,主持人让你任意选择其中一个,然后他打开其余两个门中的一个,你看到的是山羊,这时,主持人会让你重新选择,那么你会坚持原来的选择还是换选另外一个未被打开过的门呢?
分两种情况讨论:
①不换门:抽中汽车的概率是1/3。
②换门:我们编号三个门分别为1、2、3,分别对应羊、羊、车
情况1:假设你第一次猜的那个门是1,主持人必将打开2,选择换门3必能得到车。
情况2:假设你第一次猜的那个门是2,主持人必将打开1,选择换门3必能得到车。
情况3:假设你第一次猜的那个门是3,主持人会打开1或2,你会换1或2号门,得不到车。
综上所述:换门抽中汽车的概率为2/3。
Pr(换门)>Pr(不换门),所以应该换门!
现在思考:同样是二选一,为什么概率会不同?
因为主持人知道哪个门是羊哪个门是车,上一题中小葱不知道哪瓶是毒药,因为主持人从中作怪,所以概率不同!
3.Problem 2:
小胡站在原点,手里拿着两枚硬币。抛第一枚硬币正面向上的概率为p,第二枚正面向上的概率为q。
小胡开始抛第一枚硬币,每次抛到反面小胡就向x轴正方向走一步,直到抛到正面。
接下来小胡继续抛第一枚硬币,每次抛到反面小胡就向y轴正方向走一步,直到抛到正面。
现在小胡想回来了,于是他开始抛第二枚硬币,如果小胡抛到正面就向x轴的负方向走一步,否则小胡就向y轴的负方向走一步。
现在小胡想知道他在往回走的时候经过原点的概率是多少?
根据定理:往x轴走k步的概率为(1-p)x×p,同理于y轴。
我们可以枚举小胡在第一轮中走到的点(x,y)
小胡走到点(x,y)的概率为(1-p)x+y×p2(乘法原理)
小胡从点(x,y)走回原点的概率为qx×(1-q)y×[(x+y)!/(x!×y!)]。
说明:qx×(1-q)y表示前几步都走x步,后几步都走y步的概率,而实际情况是可以交替着走的,所以我们在后面乘上

(也就是[(x+y)!/(x!×y!)]),才能表示从两种情况中选择往x、y之一走的概率。
所以最终的概率为(对所有情况进行求和):

这个式子很不好求啊!!肆意展示一下数学功底的时候到了!
我们改变枚举量进行化简!过程如下:

其中:

说明:在以上的推理过程中,打"*"的这一步和红框的推理过程:
①打红框这一步推理:
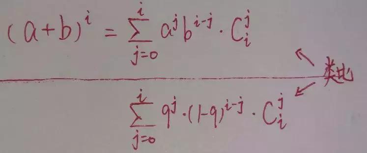
根据二项式定理,有(字丑不要介意;′⌒`):

类比一下,有a=q,b=(1-q),所以原式可以化简为(q+1-q)i=1i=1(太™聪明了啊!!)
②打"*"这一步推理:
直接是等比数列求和即可!
4.Problem 2.333333:
小葱想要过河,过河有两条路:
一条路有100个石头,每个石头有1/100的概率会挂掉。
另一条路有1000个石头,每个石头有1/1000的概率会挂掉。
小葱应该走哪条路呢?(请勿使用计算器)

5.Problem 3(这道题太丑被丢掉了):
小葱在平面上画了很多条平行等间距为l的直线,小葱将长度为1的针投到这个平面上,求针和直线相交的概率?
典型的蒲丰投针问题:
分情况讨论:
①当l≤1:

②当l>1:

6.Problem 4:
小泽在数轴上的0点处,他每次有r的概率向右走,有1-r的概率向左走,求小泽走到-1处的概率为?
解法:如果直接列式求和计算:大量组合数求和!卡特兰数!级数!(mmp看得我想死)
设到达x-1的概率为p,则p=(1-r)×1+r×p×p 第一步向左走到-1的概率+第一步向右走回到-1的概率(往左走两次到-1)
根据上式,变形得:rp2-p+1-r=0,解方程可得到:p=(1±|2r-1|)/2r,因为有绝对值,所以分类讨论2r和1的关系:
经过紧张又激烈的讨论,我们得出一个分段函数(r都可以取):

7.Problem 5:
小胡有一棵一个点的树,小胡会给这个点浇水,于是这个点会有的概率长出两个儿子节点。
每次长出新的节点之后,小胡又会给新的节点浇水,它们也都有的概率长出两个新的儿子节点。
小胡不希望自己被累死,所以小胡希望知道这棵树的大小是有限的的概率。
解法:这道题和上一题是一毛一样的!
8.经典题1:
给出n行m列矩阵,k次操作,每次操作选取一个子矩阵,子矩阵内的所有矩阵标记,做了k次操作内,被重复标记的标记为已标记。
求:k次操作后,对于左上角坐标为(x,y)的矩形,至少被1个子矩阵包含的概率为多少?
例如:下面一个2×2的矩阵:

当k=1时,有9种标记方法:

而我们总共能够标记1×4+2×4+4×1个矩阵,所以得到的概率为1/9×(1×4+2×4+4×1)=16/9。
推理过程:
假设k=1时,我们来观察一个3×4的矩阵:

要使得A包含这个红色的矩阵B,那么这个矩阵A的左上点和右下点应该在蓝色的区域,这样才能保证完全覆盖红色矩阵。
假设这个矩阵的左上的点为(x,y),右下的点为(n-x+1,m-y+1),在这个图形里面总共有:(1+2+3+…+n)=[n×(n+1)×m×(m+1)]/(2×2)个矩阵,并且满足蓝色文字的条件后,矩阵一共有:x×y×(n-x+1)×(m-y+1)个,所以概率为:x×y×(n-x+1)×(m-y+1)/{[n×(n+1)×m×(m+1)]/(2×2)}。
9.经典题2:
有n个点,坐标为(x1,y1),(x2,y2),(x3,y3),…,(xn,yn),求一个圆,包含这所有的点,并且保证半径最小。
*力暴**解法:枚举三个点,算出圆,把剩下的点全部丢进去判断在不在里面,算法复杂度:O(n4)
优化*力暴**解法O(n3):
for(int a=1;a<=n;a++)//往已知圆内一个一个地丢点
{
if(!in(p[a])) circle=cir(p[a]);//a不在圆内
circle=cir(p[a]);//构造以a位圆心的圆
for(int b=1;b<=a;b++)
{
if(!in(p[b])) circle=cir(p[a],p[b]);//构造以a、b两点为直径的圆
for(int c=1;c<=b;c++)
{
if(!in(c)) circle=cir(p[a],p[b],p[c]);//构造a、b、c三点共圆的圆
}
}
}
最优雅地优化O(n):利用C++中的一个函数叫:random_shuffle(随机打乱n个点的顺序),可以将时间复杂度优化到O(n),怎么样?很神奇很诡异吧??!
思想就是:随机选三个点形成一个圆,于是接下来的那些的点进入下面两个for循环的概率实际上很小!

欢迎咨询报名NOIP2019冬令营课程!<-点击查看详情

咨询方式:
司老师 18610112920 赵老师 18610112915 高老师18611056259 老师 18611083835 张老师 18610150289
定期推送帐号信息学新闻,竞赛自主招生,信息学专业知识,信息学疑难解答,信息学训练营信息等诸多优质内容的wx公众平台noipnoi