算机网络的概念
计算机网络是计算机技术与通信技术相结合的产物,严格来说,计算机网络并无一个统一的定义,随着现代计算机与通信技术的发展,以及人们考虑问题的侧重点不同,对于计算机网络的含义往往有着不尽一致的理解,但是都有一个共同的基本点:计算机的互联与资源共享。一般来说,我们可以将计算机网络定义为: 计算机网络是用不同形式的通信线路将分散在不同地点并具有独立功能的多台计算机系统互相连接,按照网络协议进行数据通信,实现资源共享的信息系统。这里,"连接"有两重含义:一是指通过传输介质和传输设备建立的物理上的连接;二是指由一些网络软件实现的逻辑上的连接。 与单台的计算机系统相比,计算机网络的最主要功能就是资源共享,具体表现在以下3个方面。

计算机网络功能
(1)通信。通信是指在计算机之间传送数据。例如,文件传输协议(File Transfer Protocol,FTP)、电子邮件(E-mail)、网络传呼(QQ、微信)、IP电话、万维网(WWW)、公告板系统(Bulletin Board System,BBS)等。 (2)资源共享。资源共享即实现计算机硬件资源、软件资源和信息资源的异地互用。"共享"是指可以互通有无和异地使用。例如,使用异地的大型计算机进行本地计算机无法进行的计算,使用浏览器从其他计算机中获取信息等。 (3)提高计算机系统的可靠性。在计算机网络中,各台计算机间可以互为后备,从而提高了计算机系统的可靠性。
2.计算机网络的形成与发展
计算机网络的形成与发展经历了4个阶段:

计算机网络的形成与发展
3. TCP/IP参考模型
Internet中包含的网络是各种各样的,它们的硬件组成以及运行的协议也不相同。要使大家协调工作,必须有一个大家都公认的协议,这就是TCP/IP协议组,它的前身是ARPANET的通信协议。由于Internet的巨大成功,TCP/IP已经成为世界公认的事实上的网络标准。TCP/IP模型是在物理网基础上建立的,它自下而上分成物理链路层、网络层、运输层、应用层共4层。

TCP/IP模型
TCP/IP模型自下而上各层(物理链路层、网络层、运输层、应用层)信息传输的格式分别是:比特流、帧、包(报文分组)和报文。
3.1.2 网络基本分类
计算机网络的分类标准很多,通常是按照网络覆盖的地理范围的大小分为局域网、城域网、广域网。 (1)局域网(Local Area Network,LAN)。局域网是计算机硬件在比较小的范围内由通信线路组成的网络。它一般限定在较小的区域内,通常采用有线的方式连接起来。LAN一般在距离上不超过10 km,通常安装在一个建筑物或校园(园区)中。覆盖的地理范围从几十米至数千米。例如,一个实验室、一栋大楼、一个校园或一个单位,将各种计算机、终端与外部设备互联成网。局域网传输速率较高,通常为10~1 000 Mb/s,由学校、单位或公司集中管理。通过局域网,各种计算机可以共享资源,如共享打印机和数据库。 (2)城域网(Metropolitan Area Network,MAN)。城域网规模局限在一座城市的范围内,覆盖的地理范围从几十千米至数百千米。城域网基本上是局域网的延伸,像一个大型的局域网,通常使用与局域网相似的技术,但是在传输介质和布线结构方面牵涉范围较广。例如,满足一座城市范围内大型企业、机关、公司以及社会服务部门的计算机联网需求,实现大量用户的多媒体信息(声音方面包含语音和音乐;图形方面包含动画和视频图像;文字方面包含电子邮件和超文本网页等)共享。 (3)广域网(Wide Area Network,WAN)。广域网跨越国界、洲界,甚至覆盖全球范围,其采用的技术、应用范围和协议标准方面有所不同。覆盖的地理范围从数百千米至数千千米,甚至上万千米。它可以是一个地区或一个国家,甚至世界几大洲。网络上的计算机称为主机(Host),主机通过通信子网连接。通信子网的功能是把消息从一台主机传输到另一台主机。通信子网由传输信道和转接设备两部分组成。传输信道用于机器之间传送数据。转接设备是一种特殊的计算机,用于连接两条甚至更多条传输线。当数据从传输线到达时,转接设备必须为它选择一条传递用的输出线。 (4)互联网(Internet)。互联网即广域网、局域网及单机按照一定的通信协议组成的国际计算机网络。互联网是指将两台计算机或两台以上的计算机客户端、服务端通过计算机信息技术的手段互相联系起来的结果。互联网始于1969年的美国,又称因特网,是全球性的网络。
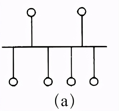
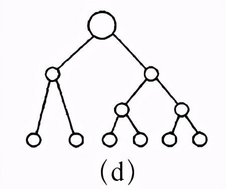
3.1.3 网络拓扑结构
拓扑结构是计算机网络的重要特性。从拓扑学的观点看,网络是由一组节点(Node)和连接节点的链路(Link)组成的。在计算机网络中,计算机作为节点,连接计算机的通信线路作为链路,形成计算机的地理分布和互联关系上的几何构型。这种计算机与链路之间的拓扑关系,称为计算机网络的拓扑结构。计算机网络的拓扑结构主要有以下几种:
|
|
|
|
|
|
|
通过一条传输线路将网络中所有节点连接起来。网络中各节点都通过总线进行通信,在同一时刻只允许一对节点占用总线进行通信 |
结构简单,容易实现,易扩充 |
故障检测比较困难。总线中任何一个节点出现线路故障,都可能导致网络瘫痪 |
|
|
在星型拓扑结构中,每个节点都由一个单独的通信线路与中心节点连接。中心节点控制全网的通信,任何两个节点之间的通信均要通过中心节点 |
结构简单,实现容易,便于管理 |
中心节点是全网可靠性的瓶颈,中心节点一旦出现故障会导致全网瘫痪 |
|
环型 |
|
在环型拓扑结构中各节点通过通信线路组成闭合环型。环中数据沿一个方向传输 |
结构简单,实现容易,传输延迟确定 |
每个节点与连接节点之间的通信线路都成为网络可靠性瓶颈。环中任何一个节点出现线路故障,都可能导致网络瘫痪 |
|
树型 |
|
树型拓扑结构可以看作星型拓扑结构的扩展。在树型拓扑结构中,节点按层次进行连接。树型拓扑网络适用于汇集信息的应用要求 |
||
|
网状型 |
|
网状型拓扑结构中,节点之间的连接是任意的,没有规律。目前实际存在和使用的远程计算机网络的拓扑基本上都采用了网状型拓扑结构 |
系统可靠性高 |
结构复杂,必须采用路由选择算法与流量控制方法 |
3.1.4 网络协议基本概念
通俗地说,网络协议就是网络之间沟通、交流的桥梁,只有相同网络协议的计算机才能进行信息的沟通与交流。从专业角度定义,网络协议是计算机在网络中实现通信时必须遵守的约定,也就是通信协议(Protocol)。网络协议主要是对信息传输的速率、传输代码、代码结构、传输控制步骤、出错控制等做出规定并制定标准。常见的网络协议有以下几种:
(1)传输控制协议/网际协议(TCP/IP)。在实际应用中,最重要的是TCP/IP,它是目前最流行的商业化的协议,也是因特网使用的协议。相对于OSI,它是当前的工业标准或“事实的标准”,在1974年由Vinton Cerf和Robert Kahn提出。它从下至上分为4个层次:物理链路层、网络层、运输层、应用层。
(2)超文本传送协议(Hypertext Transfer Protocol,HTTP)。它是用于从WWW服务器传输超文本到本地浏览器的传送协议。它可以使浏览器更加高效,使网络传输减少。它不仅可保证计算机正确快速地传输超文本文档,还可确定传输文档中的哪一部分,以及哪部分内容首先显示等。HTTP是一个应用层协议,由请求和回应构成,是一个标准的客户端/服务器模型。它的主要特点是:
● 支持客户/服务器模式。
● 简单快速:当客户向服务器请求服务时,只需传送请求方法和路径。
● 灵活:HTTP允许传输任意类型的数据对象。
● 无连接:无连接的含义是限制每次连接只处理一个请求。服务器处理完客户的请求,并收到客户的应答后,即断开连接。
● 无状态:无状态是指协议对于事务处理没有记忆能力。缺少状态意味着如果后续处理需要前面的信息,则它必须重传,这样可能导致每次连接传送的数据量增大。反之,在服务器不需要先前信息时它的应答就较快。
(3)简单邮件传输协议(Simple Mail Transfer Protocol,SMTP)。SMTP是一种提供可靠且有效电子邮件传输的协议。SMTP是建立在FTP文件传输服务上的一种邮件服务,主要用于传输系统之间的邮件信息并提供与来信有关的通知。SMTP目前已是事实上的在Internet传输E-mail的标准,是一个相对简单的基于文本的协议。在其之上只要指定了一条消息的一个或多个接收者(在大多数情况下被确定是存在的),然后消息文本就可以传输了。
SMTP的重要特性之一是其能跨越网络传输邮件。
3.1.5 局域网的特点、功能与基本组成
1.局域网的特点
从局域网应用角度看,局域网主要有以下特点: ● 局域网覆盖有限的地理范围,一般在几千米以内。它适用于机关、公司、校园、军营、工厂等有限范围内的计算机、终端与各类信息处理设备联网的需求。 ● 局域网具有高数据传输速率(10~10 000 Mbps)、低误码率(<10−8)的高质量数据传输环境。 ● 局域网一般属于一个单位所有,易于建立、维护和扩展。 ● 决定局域*特网**性的主要技术要素是网络拓扑、传输介质与介质访问控制方法。
2.局域网的基本组成和功能
局域网由网络硬件和网络软件两部分组成。网络硬件主要有服务器、工作站、传输介质和网络连接部件等。工作站和服务器之间的连接是通过传输介质和网络连接部件来实现的。网络连接部件主要包括网卡、中继器、集线器和交换机等。网络软件包括网络操作系统、控制信息传输的网络协议及相应的协议软件、大量的网络应用软件等。

局域网的基本组成
(1)服务器。服务器是整个网络系统的核心,它为网络用户提供服务并管理整个网络,在其上运行的操作系统是网络操作系统(Windows Server、Linux或UNIX)。随着局域网功能的不断增强,根据服务器在网络中所承担的任务和所提供的功能不同,服务器可分为文件服务器、打印服务器和通信服务器。在因特网上还有Web、FTP、E-mail服务器等。在整个网络中,服务器的工作量通常是普通工作站的几倍甚至几十倍。 (2)工作站,又称客户机。客户机是指当一台计算机连接到局域网时,这台计算机就成为局域网的一个客户机。客户机与服务器不同,服务器为网络上许多网络用户提供服务以共享它的资源,而客户机仅对操作该客户机的用户提供服务。客户机是用户和网络的接口设备,用户通过它可以与网络交换信息,共享网络资源。客户机都用具有一定处理能力的个人计算机(Persional Computer,PC)来承担。客户机有自己的操作系统(Windows或Linux),通过运行有关的网络应用软件,访问服务器共享资源。 (3)网络适配器(Network Interface Card,NIC),也就是俗称的网卡。网卡是构成计算机局域网络系统中最基本的、最重要的和必不可少的连接设备,计算机主要通过网卡接入局域网络。网卡除了起到物理接口作用外,还控制数据帧的发送和接收。 (4)传输介质。目前常用的传输介质有双绞线、同轴电缆、光纤和无线等。 (5)网络交换机或集线器。网络交换机采用交换方式进行工作,能够将多条线路的端点集中连接在一起,并支持端口工作站之间的多个并发连接,实现多个工作站之间数据的并发传输,可以增加局域网带宽,改善局域网的性能和服务质量。集线器又叫作HUB,能够将多条线路的端点集中连接在一起。集线器可分为无源和有源两种。无源集线器只负责将多条线路连接在一起,不对信号做任何处理。有源集线器具有信号处理和信号放大功能。除了网络硬件外,网络软件也是局域网的一个重要组成部分。目前常见的网络操作系统主要有UNIX、Windows Server、Linux等。
3.1.6 广域网的概念和组成
(1)广域网。
|
广域网(Wide Area Network,WAN)是覆盖地理范围相对较广的数据通信网络。它常利用公共网络系统(如电信局、广电局等)提供的便利条件进行传输,可以分布在一个城市、一个国家,甚至跨过许多国家分布到全球 |
|
|
|
一般由主机[Host,有时也称端系统(End System)]和通信子网[Communication Subnet,简称子网(Subnet)]组成,子网用于在主机之间传递信息。将网络的通信(子网)和应用(主机)分离,可以简化整个网络的设计。在许多广域网中,一般由公共网络充当通信子网,它包括两个组成部分:传输线和交换节点。传输线用来在计算机之间传送比特流;交换节点有时也叫作分组交换节点、节点交换机,用于连接两个或多个传输线。数据沿输入线到达交换节点后,交换节点必须为其选择输出线并将其输出。节点交换机执行分组存储转发的功能。节点之间是点到点的连接 |
|
广域网所提供的服务有数据报服务和虚电路服务两种。广域网向上提供的服务有无连接的网络服务和面向连接的网络服务。 |
(2)网关。
|
网关(协议转换器)是互联网络中操作在TCP/IP网络层之上具有协议转换功能的设施,之所以称为设施是因为网关不一定是一台设备,还有可能是能够连接不同网络的软硬件结合的产品,也有可能是在一台主机中实现网关功能。网关工作在TCP/IP模型中的高层 |
|
网关用于具有不同结构的网络互连,所连接的网络可以使用不同的格式、通信协议或结构 |
|
具有高层协议的转换功能,它可以接收一种协议格式的数据包,在转发之前将它转换为另一种协议 |
|
网关可以设在服务器、微机或大型机上。网关通常是安装在路由器内部的软件 |
|
网关主要分为协议网关、应用网关和安全网关3种 |




