该内容转载自职需学
三极管放大有三种基本放大电路,分别是共射极放大电路、共集极放大电路和共基极放大电路。总结与比较如下图。

NPN三极管内部等效电路图

Rbb’: 基区本身的体电阻,几欧姆到几百欧姆之间,低频典型值为300欧姆,超高频管子只有几欧姆
Rb’e:发射节电阻,它的阻值与发射节电流有关;
Re’: 发射区电阻,阻值较小,只有几欧姆,远小于rb’e.
Re:简化以后电路图中,re=rb’e+re’
NPN三极管电路及等效电路图图如下:

Rbe: 晶体管输入电阻也就是be间电阻,在小信号的情况下,rbe是一常数。低频小功率晶体管输入电阻常用下式估算。
β:晶体管的电流放大系数,一般在20~100之间。
Rbe=rbb’+(β+1)re’≈200(ohm)+(β+1)*26(Ure: mV)/Ie(ib:mA,通常为2.4或者2.5ma)
下面来分析一个基本共发射极放大电路:

其:UCC=12, Rb=510kohm, Rc=5kohm,RL=5kohm, rbe=1kohm,β=80;
来看一下放大倍数。先把交流等效图画出来如下。

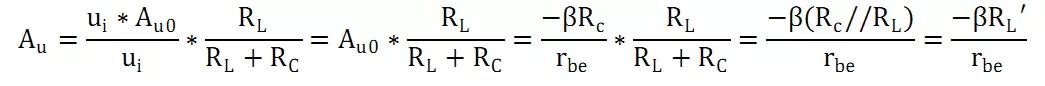
Au=Uo/Ui
Uo = β*ib*(RL//RC)
Ui=ib*Rbe
Au=Uo/Ui=β*ib*(RL//RC)/ib*Rbe=-β*(RL//RC)/rbe
通常RL’=RL//RC, 那么Au = -β*RL’/rbe
把数字带入就可以求出来放大倍数为-200。
再来看一下输入电阻Ri,也就是从Ui处看进去的电阻值,从交流等效模型中可以看出,就是Rb//rbe,因此:
Ri = Rb//rbe= 510k//1k = 998
再来看一下输出电阻ro,也就是从输出端向放大电路看进去的交流等效电阻。对于基本放大电路来说,就是RC与rce并联值,如:ro = rce//Rc≈Rc。(一般电流源的内阻很大,即rce很大)。

从这里也可以看出,如果接RL,输出电阻就是RC//RL,如果不接RL那么输出电阻就是Rc。红色划掉的线是错的,当初我是那么认为是对的。记住一点放大电路的输出电阻是不包含负载RL的。这里知道一点,空载放大倍数(Au0)和带载放大倍数(Au),也就是有没有RL是两个放大倍数。不做过多解释,只是用下面的式子给大家做个说明。

这个电路进一步的优化,就是改成分压式放大电路,其温度特性更好,这篇文章主要是为了注册电气工程师考试,因此不去看那么深入的东西,只是看放大倍数。如下图所示。

分析此电路,还是老样子,先画一下等效电路图。


所以输出电阻就是:

那么再来看看输入电阻,从图中可以看出,输出电阻就是Ro’和Re的并联,而Ro’ = Rce+Re,前面讲过Rce很大,在串个Re那就更大了,因此可以忽略不计了。那么输出电阻就是Rc。
Ro=Rc
再来看一下放大倍数:

如果把所有的数值带入就可以算出来了。
这么做呢,会影响交流放大倍数,通常会在Re两端并个电容Ce,只要Ce足够大,其对交流的容抗就很小,对交流就像短路,而对直流没什么影响,因此这个电容就叫做 发射极交流旁路电容,其大小为几十到几百微法。电路图就改成了如下所示。


此时的输入电阻,输出电阻,和电压放大倍数如下。
Rbe=rbb’+(β+1)re≈200(ohm)+(β+1)*26(Ure:mV)/Ie(ib:mA,通常为2.4或者2.5ma)
令rbb’=5, Ie=2.98ma,那么rbe=886ohm
Ri=Rb1//Rb2//rbe,只要把对应的电阻值带入就可以求出来。
Ro= Rc,这个前面讲过了,不再过多重复。
电压放大倍数也跟基本电路的相同。
Au=Uo/Ui=β*ib*(RL//RC)/ib*Rbe=-β*(RL//RC)/rbe
通常RL’=RL//RC, 那么Au = -β*RL’/rbe
来个例题,也是2020年的真题,令Rb1=20Kohm,Rb2=10kohm,Rc=2kohm,Re=2kohm,RL=6kohm,又知道Vcc=12V,放大倍数为37.5,求放大倍数,输入电阻和输出电阻。
先求静态工作点的各个参数,这样就能求rbe了,也就是看直流等效电路,前面没有讲过,这里简单介绍一下。把交流电容都断开就是直流等效电路了。

Ub =Rb2*UCC/(Rb1+Rb2) = 10*12/(20+10)=4V, Ube=0.7V
Ie=(Ub-Ube)/Re=(4-0.7)/2=1.65mA
Rbe= rbb’+(β+1)re=200+(1+37.5)*26/Ie=806
Au=-β*(RL//RC)/rbe=-37.5*(2//6)/0.806=-69.8
Ri=rbe//Rb1/Rb2=10//20//0.806=0.719
Ro=Rc=2kohm
是不是很简单了。
该内容是小编转载自职需学 ,仅供学习交流使用,如有侵权,请联系删除。如果你还想了解更多关于电子元器件的相关知识及电子元器件行业实时市场信息,敬请关注微信公众号 【上海衡丽贸易有限公司】主要以代理:铝电解电容、薄膜电容、MOSFET、压敏电阻、保险丝等国产知名品牌元器件。