正余弦定理是揭示三角形边角关系的重要定理,近几年高考的命题主要以三角形为依托,考察正余弦定理,主要就是三角形边角转换、三角形形状的判断和三角形函数的求值问题,充分考察了转化思维及一定的推理和运算能力,这是高考命题的热点。
同学们对正余弦定理并不陌生,但是很少思考在应用这两个定理时候应该注意些什么,特别是高考中如何正确选择正余弦定理解三角形是一个难点。说来也怪,三角函数无非就两个定理,不是用正弦定理就是用余弦定理,而且都是必考点,所以你休想拿“没思路”这种话搪塞过去。
高考竞争越来越激烈,靠大量做题,搞什么题海战术,上课就是讲题,已经越来越不适应现在的高考环境了。
如果想有所突破,必须限时快速分辨出题型,还是那句话,公式就是工具,用公式你若卡壳,你就输了。所以,一定要明白公式是怎么来的前提下,找到“关键字”,运用“文字意思,几何意义”,明确出题者的意图。
言归正传,说了这么多就是想告诉你,题别瞎做,“题海”只能淹死人,公式是条船,如何熟练运用这条船,才能在“题海”中游玩,那你的这条船是小木船呢,还是掀起浪花一朵朵的皮艇呢。本期我就带你玩转正余弦定理。
学习知识,我们一定要遵循着这四个顺序:
①它是什么,
②怎样表达,
③什么性质,
④做题练练
首先,什么是正余弦定理,先把公式回忆一下。

怎样,看着多吧,其实正弦定理用一句话总结,就是“对边比对角正弦值等于定值”,这个定值就是“外接圆”直径。
余弦定理就是勾股定理的演变:

好了,知道了定理,这个定理有什么用呢,前面说过,就是求解三角形边角关系的。再把话说的直白点就是,三角形三个边加上三个角,一共六个关系吧,如果知道了三角形中任意三个,用正余弦定理完全可以求出另外三个。正余弦定理就是干这个用的。
一、那么正弦定理就是一个比例关系的定理,把边角互换的前提是每项中都有三角形的边或者角的正弦值,就可换。高考题的题干中如果给出这样的式子:

一道简单的题的开始,观察每项中是否都有边或者正弦角,有的话,直接用正弦定理,然后就正常运用你会的那四个公式即可。
最后强调一下“关键字”:①对边对角,②外接圆。
二、余弦定理是计算为主,如果能用正弦一定先别用余弦定理。那什么时候能用余弦定理呢。这里先强调“关键字”:①两边一角,②最大最小,③范围。后两个关键字会涉及到均值不等式这个知识点,我会在后期的节目中讲解高考中均值不等式的考法和均值不等式与三角函数、向量的互相联系。

现在知道了两个定理怎么来的,通过关键字明确该怎样应用,那么用我们以前讲过的记忆方式,把它们记住吧,最后做题的目的不是为了完成作业,而是实行的我们学习知识的第四步,练一练公式和定理,只有熟练使用,你的小船才会加上螺旋桨。
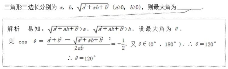
最后趁热打铁,来道高考真题练练。

通过两期内容,我们把三角函数的定理和公式学完了。下期我会把高中三角函数面积公式是如何推导来的做讲解,面积公式可是初中学过的啊。
先讲关键字,再去辨题型,题型不过三,方法很简单!
陪你一起备战高考,我是数学毛老师,我们下期再见。
