选型依据:
1.规程、条例类:
《锅炉安全技术监察规程》
《特种设备安全法》
2.国标类
GB/T1921—2004 《工业蒸汽锅炉参数系列》
GB/T3166—2004 《热水锅炉参数系列》
GB/T1576—2008 《工业锅炉水质》
GB12348—2008 《工业企业厂界环境噪声排放标准》
GB13271—2001 《锅炉大气污染物排放标准》
GB/T17954—2007 《工业锅炉经济运行》
GB24500—2009 《工业锅炉能效限定值及能效等级》
GB50041—2008 《锅炉房设计规范》
3.行标类
NB/T16508—2013 《锅壳锅炉》
NB/T16507—2013 《水管锅炉》
锅炉用户应提供的相关资料:
1.当地燃料、水、电供应状况,包括燃料发热量、单价,水价、电价;
2.当地地质、气象、水文等情况,包括该地区抗震设防标准要求;
3.对供热介质、供热负荷、供热介质参数及品质的具体要求;
4.周边大气环境、水环境及声环境保护目标与要求;
5.供热半径、采暖建筑层数与层高;
6.供热负荷近期增容规划要求。
7.对新建项目,应给出可供锅炉房布置的长、宽、高尺寸限值;对利用原锅炉房改建项目应给出原锅炉房有关设计资料,包括土建设计、平面布置图、管路系统图等。
锅炉整机供应商应提供的资料:
1.企业资质证书、质量体系认证证书、企业荣誉证书、专利证书、技术成果鉴定证书等;
2.锅炉产品投产鉴定资料:包括投产鉴定报告、能效测试报告、环保测试报告等;
3.产品样本:包括锅炉主机、辅助机械、附属设备、控制装置等;
4.锅炉总图、锅炉安装使用说明书,包括燃烧设备部分;
5.锅炉及锅炉房对抗震设防烈度的要求;
6.锅炉整机各部分报价、供货周期与付款方式等商务资料。
选型基本原则:
1.贯彻执行国家有关法律、法规、规范和标准,达到节约能源、保护环境、安全生产、技术先进、经济合理和确保质量的要求,并符合锅炉用户所在地城建规划要求。
2.应选用符合锅炉安全技术监察规程并通过投产鉴定的定型产品,对于节能环保新产品,应经过试点、示范验证已达到技术性能稳定、制造质量可靠的产品。
3.锅炉工作介质、容量、参数及自动调节性能应能满足客户用热需求,容量及参数能有效地适应热负荷变化。
4.锅炉配套辅机、附属设备等应由通过质量体系认证的定点厂家生产,应优先采用国家鼓励推广的节能环保新产品、新技术,不得使用国家明令淘汰的高耗能设备。
5.锅炉大气污染物排放和噪声控制等环保性能指标应能满足项目环境评价要求,并保持有一定的超前空间;还应防止二次污染,改善锅炉房自身环境条件。
6.锅炉应适应当地燃料资源供应情况,燃煤锅炉对当地的煤炭资源应具有较强的煤种适应性,锅炉设计燃煤种类应以当地煤炭为主,降低运行燃料成本。
7.锅炉应具有较完善的自动监控系统和较高的自动化水平,确保机组运行安全可靠,减轻司炉劳动强度,改善工作条件,提升司炉岗位身价。
8.应把握“技术可行、经济合理”的方针,因地制宜,针对不同地区、不同供热工程项目,科学选用最佳炉型,在保证安全可靠、保护环境和满足用热需求的前提下力求节省项目投资,提高投资效益。
选型具体要求:
(一)容量、参数能否满足用热需求:
锅炉用户的用热需求包括供热介质、供热负荷、供热介质参数及品质等要求。
1.供热介质,锅炉供热介质的选择,应符合下列要求:
① 供作生产用汽的锅炉,包括热电联产锅炉机组,应采用蒸汽作为供热介质;
② 供采暖通风、空调和生活用热的锅炉,宜采用热水作为供热介质;
③ 同时供生产用汽及采暖通风、空调和生活用热的锅炉,经技术经济比较后,可选用蒸汽或蒸汽与热水作为供热介质;
④ 供生产高温用热的锅炉,应采用有机热载体作为供热介质。
2.供热负荷,锅炉供热负荷由锅炉容量和台数决定,应符合下列要求:
① 锅炉台数和容量应按所有运行锅炉在额定蒸发量或热功率时,能满足最大设计热负荷要求,最大设计热负荷中应包括锅炉房系统自用热量;
② 应保证锅炉在较高或较低热负荷工况下能安全稳定运行,锅炉台数、容量能有效适应热负荷变化要求;
③ 当蒸汽用户的热负荷变化较大且较频繁或周期性变化时,在经济合理的原则下,宜设置蒸汽蓄热器,锅炉容量则按平均热负荷确定;
④ 一般情况下,锅炉台数不宜少于2台,当选用1台锅炉能满足热负荷和检修需要时,可只设置1台;
⑤ 同一锅炉房,宜选用容量和燃烧设备相同的锅炉,当选用不同容量和不同燃烧设备类型的锅炉时,其容量和类型不宜超过2种;
⑥ 一个锅炉房的锅炉总台数,对新建锅炉房不宜超过5台,对扩建或改建锅炉房,不宜超过7台;
⑦ 一个锅炉房具有多台锅炉时,当其中1台容量最大的锅炉检修时,其余锅炉应能满足连续生产用热或采暖通风、空调和生活用热所需的最低热负荷要求;
⑧ 锅炉台数和容量还应考虑到用户近期增容要求以及锅炉投运数年后因结垢、积灰等原因导致的出力、热效率有所下降所需的储备系数。
3.供热介质参数:
供热介质参数为压力、温度,其中:
压力有额定蒸汽压力、额定热水出口压力、额定有机热载体出口压力;
温度有额定蒸汽温度、额定过热蒸汽温度、额定热水进出口温度、额定有机热载体进出口温度、热风温度。
锅炉供热介质参数的选择,应符合下列要求:
① 供生产用汽的压力和温度、供生产用热的有机热载体温度、热风温度应满足生产工艺的要求,还应考虑到供热半径内管道沿程介质的压损或温降引起的附加压力值或温度值;
② 对生产用饱和蒸汽温度的工艺要求,应按饱和蒸汽温度相对应的饱和压力供汽,并考虑供热半径内管道沿程压损引起的附加压力值;
③ 对采暖通风、空调和生活用热的供水压力和供回水温度,应根据工程具体情况,综合考虑热源、管网、终端用户用热需求,区分直接供热方式和间接供热方式进行技术经济分析比较后确定;
④ 对热电联产的锅炉,应根据工艺用汽的压力参数要求,选用不同型式的背压式汽轮机组或抽背式汽轮机组,进行技术经济分析比较后,最终确定锅炉额定蒸汽压力和额定过热蒸汽温度。
4.供热介质品质
供热介质品质包括蒸汽湿度、过热蒸汽含盐量、有机热载体特性指标等,应符合下列要求:
① 对供生产用饱和蒸汽的场合,当生产工艺对蒸汽湿度有要求时,除了考虑锅炉出口蒸汽湿度M(一般为2%~4%)外,还应考虑到供热半径内管道沿程因散热损失引起的湿度增大值;
② 对供生产用过热蒸汽的场合,特别是热电联产汽轮机组的过热蒸汽,过热蒸汽含盐量关系到汽轮机运行的安全可靠性和经济性,应予严格保证。控制蒸汽中的含盐量主要是控制含钠量和含硅量,应符合GB/T12145—2016《火力发电机组及蒸汽动力设备水汽质量》的规定,如表【1】蒸汽质量列示。
表【1】蒸汽质量

③ 有机热载体的粘度、闪点、残碳和酸值等特性指标关系到有机热载体炉的运行安全性和经济性,据《有机热载体炉安全技术监察规程》第31条规定:“使用中有机热载体每年应对其残碳、酸值、粘度、闪点进行分析,当有两项分析不合格或热载体分解成分的含量超过10%时,应更换热载体或对热载体进行再生”。具体要求是:
a) 粘度值变化超过原技术指标值的15%时,不应继续使用;
b) 闪点变化超过原指标值的20%时,应停止使用;
c) 残碳值超过1.5W%时,应进行再生处理,否则不能继续使用;
d) 酸值超过0.5mgKOH/g时,应停止使用。
整机能否实现经济运行:
锅炉整机能否实现高效经济运行,要由一系列技术经济指标来衡量,对于燃煤锅炉,涉及系统经济运行的指标有:
1.锅炉热效率;
2.锅炉燃烧效率;
3.锅炉燃料耗量;
4.单项指标:排烟温度、排烟处空气系数、灰 渣可燃物含量、炉体外表面温度;
5.锅炉机组耗电量;
6.锅炉排污率。
1.锅炉热效率:
锅炉热效率是锅炉本体是否经济运行的最主要综合性技术经济指标,是工业锅炉选型的主要依据之一。锅炉热效率有正反平衡效率之分,记为η1、η2,单位为%。作为工业锅炉产品的能效指标,应符合GB24500—2009《工业锅炉能效限定值及能效等级》的有关规定,该标准为强制性标准。
锅炉热效率在产品质量证明书或锅炉总图及产品安装使用说明书上应予以明示,在产品的购销合同中也应予以标明,可作为产品验收的依据之一。
在GB24500中,能效等级分为3级,其中1级最高,3级最低。3级指标是工业锅炉产品能效限定值,为在标准规定的测试条件下,锅炉在额定工况下所允许的热效率最低值,是工业锅炉产品市场准入门槛,即低于3级能效的工业锅炉产品不允许在市场上销售。2级指标是工业锅炉产品节能评价值,为在标准测试条件下,工业锅炉节能产品在额定工况下的热效率最低值。1级指标是工业锅炉新型高效产品研发的目标期望值。各个级别之间的热效率级差为2%~3%。表【2】列示了层燃锅炉燃用AⅡ、AⅢ煤种情况下相应于3个能效等级的热效率限定值;表【3】列示了循环流化床燃烧锅炉燃用AⅡ、AⅢ与WⅡ、WⅢ煤种情况下相应于3个能效等级的热效率限定值。
表【2】 层燃锅炉能效分级的热效率限定值
表【3】 循环流化床燃烧锅炉能效分级的热效率限定值,%

2.锅炉燃烧效率
① 定义—燃料在锅炉燃烧设备中燃烧时所释放出的燃烧热与其所拥有的化学能的百分比,表征燃料所拥有的化学能在燃烧时释放出的完全程度,记为ηrs,单位为%。即:

锅炉燃烧效率只是折射锅炉燃烧设备能否实现高效燃烧的技术指标,并不能全面折射锅炉整机能否实现经济运行,目前还不是节能考核的硬性指标。影响燃烧效率的因素是:
a) 燃烧方式,如室燃方式的燃烧效率高于层燃方式;
b) 燃料种类,如气体、液体燃料的燃烧效率高于固体燃料;
c) 燃烧设备性能,包括配风、风速、湍流度、自动调节性能等。
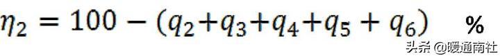
② 燃烧效率与热效率的关系:

燃烧效率与热效率的关系为:

式中:η1.2—锅炉正反平衡热效率,η1为正,η2为反,%;
q2—锅炉排烟热损失,%;
q3—气体未完全燃烧热损失,%;
q4—固体未完全燃烧热损失,%;
q5—散热损失,%;
q6—灰渣物理热损失,%;
由上述关系式可见,锅炉热效率高,就意味着燃烧效率必然较高;相反,燃烧效率高并不意味着锅炉热效率就一定高,因为燃烧效率所涉及的仅仅是热效率中的一部分(q3与q4)而非全部。
③ 燃烧效率与燃尽率的区别:
燃尽率定义—燃料燃烧时可燃物的烧失量与可燃物原有量的质量百分比,表征燃料中可燃物参与燃烧的完全程度,记为ηrj,单位为为%。 即:

燃尽率的表达式为:

式中:εlz、εyh、εfh—炉渣、烟道灰、飞灰中残留的固定碳质量与燃料中原有的可燃物总质量的百分比,%;
目前许多有关锅炉高效燃烧的表述中往往将燃烧效率与燃尽率两者混为一谈,其实两者之间有着质的区别,燃烧效率指的是热量比率,而燃尽率指的是可燃物的质量比率。
④ 燃烧效率数值
通常可认为ηrs≥98%才称得上高效燃烧。所以,现如今,许多厂家在宣扬他们所研发的高效锅炉产品时,都强调燃烧效率高达98%以上,甚至99%以上。实际呢,欲使ηrs≥98%,就必须做到q3≈0% 、q4≤2.0%,这对燃油、燃气锅炉,是容易做到的,但对燃煤锅炉就不那么容易实现。大量工业锅炉热工测试结果表明,几乎都没有真正做到,所谓ηrs≥98%仅仅停留在文字宣传上,目前多数实际水平在95%~96%左右。鉴于目前燃烧效率并非节能考核指标,在工业锅炉选型时没必要特别关注。
3.锅炉燃料耗量
锅炉燃料耗量,对燃油、燃煤锅炉,记为B,单位为kg/h或t/h;对燃气锅炉,记为V,单位为m3/h。作为锅炉能耗指标,锅炉燃料耗量很直观地折射了锅炉是否实现经济运行,是锅炉节能考核时的重要指标之一。在锅炉产品选型时,如果单从锅炉制造单位所提供的产品样本上看锅炉燃料耗量,则往往有如下几个误区:
a) 在给出燃料耗量时,并没有给出相应的燃料收到基低位发热量,产生了误导作用;
b) 燃料耗量简单地与锅炉容量成正比例关系,而实际上随着锅炉容量的增大,锅炉热效率有所提高,单位蒸发量或供热量的燃料耗量相应减少;
c) 燃料耗量似乎与锅炉介质种类无关,也与介质的参数高低无关。将蒸汽锅炉的一蒸吨与热水锅炉的2.512GJ/h等同起来,由此可导致6.7%误差,即蒸汽锅炉的燃料耗量相对于同等容量的热水锅炉是偏低的。
鉴于上述误区,在锅炉选型时,不应将燃料耗量作为依据。
4.锅炉经济运行单项指标
工业锅炉热效率是评价锅炉经济运行总控制指标,而锅炉排烟温度、排烟处空气系数、灰渣可燃物含量及炉体外表面温度则是评价锅炉经济运行的单项指标。
锅炉反平衡热效率的表达式为:

上述四个单项指标涉及上式中的三项,即
锅炉排烟温度和排烟空气系数决定了q2的大小;
灰渣可燃物含量决定了q4的大小;
炉体外表面温度决定了q5的大小;
在锅炉选型时,可不考虑这四个单项指标,它们在锅炉产品出厂的诸多技术资料中也几乎不出现,唯一出现的是在热力计算书中。在燃煤锅炉产品能效测试报告的结果汇总表中,要求给出排烟温度、排烟空气系数及灰渣可燃物含量数据;在锅炉节能考核时,往往都要测定这四个单项指标,用以分析锅炉热效率偏低的原因所在。
5.锅炉机组耗电量
锅炉本体中的燃烧设备、辅助机械、附属设备及监控装置所需的总电能耗量称为机组耗电量,记为∑N,单位为KW·h。锅炉机组各种用电设备并不全是连续运转,设备配用电动机功率由于电动机产品系列所限往往高于所需的轴功率,所以各种设备的装机电功率总是高于实际耗用电功率,两者之间要考虑一个小于1的运转系数,通常为0.75~0.85左右。在锅炉产品选型时,只能依据锅炉整机的装机电功率,而机组实际耗电量是在锅炉节能考核时通过实测得到。
锅炉机组耗电量的高低,将影响锅炉整机的能效指标。对于燃煤锅炉,由于机组耗电量引起的锅炉热效率降低值为:

式中:B—锅炉燃料耗量, kg/h;
Qnet.ar—燃煤收到基低位发热量,kJ/kg;
3600—电能与热能的换算关系,即1Kw·h =3600kJ。
在锅炉选型时,为了确切评价锅炉整机的能效指标,单凭热效率指标是不够的,还应进一步了解和掌握机组的耗电量,并按上式计算得到相应的锅炉热效率降低值。
[计算示例1]:一台10t/h链条炉排蒸汽锅炉,燃煤低发热量为20930kJ/kg,燃煤耗量1710kg/h,机组装机电功率为123Kw,求由机组耗电引起的热效率降低值。
解:∑N0=123Kw·h,B=1710kg/h,Qnet.ar=20930kJ/kg,取电动机运转系数φ=0.8,∑N=φ·∑N0=0.8×123=98.4 (Kw·h),

6.锅炉排污率
锅炉排污率定义为锅炉排污水量与额定蒸发量的百分比,记为p,单位为%。工业锅炉排污率一般在5%~10%左右,在锅炉给水水质较好的情况下,一般可控制在5%以下。锅炉排污率作为锅炉的水耗指标,是节能考核的重要指标,但对锅炉产品的选型,并没有实际意义,换句话说,锅炉排污率不必作为锅炉选型的经济性指标。
机组环保性能是否达标:
1.锅炉机组的环保性能包括:
① 大气环境污染防控性能,如大气污染物排放防控;
② 水环境污染防控性能,如锅炉排污水的防控;
③ 声环境污染防控性能,如设备运行噪声与锅炉房整体噪声防控;
④ 对锅炉房自身环境的二次污染防控性能。
2.判断依据:
判断锅炉机组环保性能是否达标的依据是:
① 国家及锅炉使用单位所在地关于环境保护的标准,如GB13271、GB50041、GB12348、DB11/139、DB31/387、DB12/151等;
② 锅炉使用单位所提供的项目环评报告中对环境保护的总体规划与要求;
③ 锅炉产品制造单位所提供的产品投产鉴定报告中环保测试报告,一些典型示范工程的锅炉环保测试报告;
④ 锅炉所配套的烟气净化装置、噪声防控设施是否适宜,其性能是否符合环保标准要求。
应特别强调的是,我们绝不能轻信锅炉制造企业在产品样本上或广告上所宣传的环保指标。
3.锅炉大气污染物排放指标
锅炉大气污染物排放指标有烟尘排放浓度、SO2排放浓度及NOX排放浓度,单位为mg/Nm3;还有排烟烟色黑度,单位为林格曼黑度级。若锅炉使用单位所在地已出台地方标准,应首先执行地方标准,若无地方标准时,则应执行国家标准GB13271的有关规定,并适当考虑到GB13271修订后指标值可能提升的幅度。近年来,北京、上海、天津、广东等发达地区都陆续制订、修订了本地区的锅炉大气污染物排放标准,其要求比GB13271要高许多。
表【4】列示了GB13271与部分地标的指标对照。
有些地方锅炉大气污染物排放标准如下:
① DB11/139-2015(代替DB11/139-2007)《锅炉大气污染物排放标准》;
② DB12/151-2016《锅炉大气污染物排放标准》;
③ DB31/387-2018《锅炉大气污染物排放标准》,上海市地方标准;
④ DB44/765-2010(代替DB44/27-2001)《锅炉大气污染物排放标准》,广东省地方标准.2010.06.09发布;
3.锅炉大气污染物排放指标
表【4】GB13271与部分地标对新建工业锅炉大气污染物排放限值对照,mg/Nm3

注:某些指标以最新标准变动为准,仅供参考。
a) 锅炉大气污染物排放限值既不分区域,也不分燃料种类。
b) A区指自然保护区、风景名胜区、国家地质公园、森林公园及经济技术开发区、技术产业园、港口保税区等需要特殊保护的区域;B区指A区以外的其它区域。
c) 括号外为燃用高炉煤气、焦炉煤气锅炉,括号内为其它燃气锅炉。
d) 括号外为容量≤7MW的锅炉,括号内为>7MW的锅炉。
4.锅炉污水排放指标
锅炉排污水一般情况下不会对水环境导致污染,因此没有特别的要求,只要按照GB8978-2002《污水综合排放标准》的有关规定即可,在锅炉产品选型时不予考虑。暖通南社
5.锅炉机组运行噪声指标
锅炉机组运行噪声包括设备运行噪声与锅炉房整体噪声。
① 锅炉机组运行噪声首先应符合GB50041-2008《锅炉房设计规范》第16.2.2条规定“锅炉房操作层和水处理间操作地点的噪声,不应大于85dB(A);仪表控制室和化验室的噪声,不应大于70 dB (A)”。
② 锅炉房噪声对厂界噪声的影回应符合国家标准GB12348-2008《工业企业厂界环境噪声排放标准》的有关规定,位于城市的锅炉房,其噪声控制应符合国家标准GB3096-2008《声环境质量标准》的有关规定。
在锅炉产品选型时,只着重考虑锅炉机组运行噪声导致的锅炉房内各工作场所噪声声级的卫生标准。
6.锅炉房自身环境二次污染防控要求
燃煤锅炉机组的燃料供应系统、除灰出渣系统、除尘系统等往往会发生粉尘二次污染问题,在锅炉产品选型时,应关注锅炉附属设备制造企业在这方面所采取的防控措施。目前,全密闭的气力输送系统已取得了极佳的防控粉尘二次污染效果。
整机配套是否良好匹配
1.锅炉整机构成
据GB/T2900.48-2008 《电工名词术语锅炉》,锅炉机组定义为 “锅炉本体及其必要的辅助机械、附属设备、监控装置和它们的连接管路系统的总称”。其中:
a) 锅炉本体包括承压件、炉膛、燃烧设备或燃烧器、尾部受热面等;
b) 辅助机械包括水泵、风机、空压机等;
c) 附属设备包括水处理、燃料储供、烟气净化、出渣除灰等装置;
d) 监控装置包括测量、调节、控制、安全保护等仪表与装置;
e) 连接管路包括汽水、烟风、取样及信号等管线。
①锅炉本体
煤粉工业锅炉的锅炉本体由以下10个部分组成:
a)承压部件:由锅筒、集箱、受热面管件及连接管道构成,可整装出厂,也可散装出厂到现场装焊而成,俗称为“锅”;
b)炉膛(燃烧室):作为燃料及空气燃烧放热并进行辐射传热过程的有限空间,俗称为“炉”的炉体;
c)燃烧器:将煤粉及空气按所设定的混合方式、配比和湍流度送入炉膛,并使煤粉着火与稳定燃烧的器具,俗称为“炉”的炉具;
炉膛与燃烧器的组合俗称为“炉”;“锅”与“炉”组合成了锅炉。

d) 尾部受热面:利用烟气余热加热给水或燃烧所需空气的换热装置,如省煤器、空气预热器;
e) 炉墙:耐热层、绝热层、护板;
f) 构架:钢架、平台、扶梯;
g) 安全附件:安全阀、压力表、水位表、炉膛烟道防爆门;
h) 锅内装置:汽水分离、连续排污、给水等装置;
i) 吹灰装置:对流管束或烟道蒸汽吹灰、压缩空气吹灰或声波吹灰装置;
j) 阀门、附件、炉门、看火孔,检查孔等。
②附属设备
煤粉工业锅炉的附属设备包括如下6个部分:
a) 水处理设施:离子交换器(软水器)、除氧器、锅内加药装置、软水箱、补水箱等;
b) 煤粉储供系统:炉前煤粉储仓(粉塔)、计量仓、给粉装置、排粉风机、煤粉罐车等;
c) 炉内脱硫装置:炉内喷钙装置;
d) 烟气净化装置:布袋除尘器、烟气脱硫塔、烟气脱硝装置;
e) 灰渣处理装置:出渣机(刮板、螺旋、水力冲渣)、除灰设备(螺旋、气力除灰)、仓泵、灰塔、灰罐车等;
f) 油气点火系统:油箱、液化气罐及其管路。
③辅助机械
a) 泵:给水泵、除氧水泵、补水泵、循环水泵、凝结水泵、蒸汽泵等;
b) 风机:鼓风机、二次风机、引风机;
c) 空压机及贮气罐;
d)其它:电动机、变速箱等。
2.整机配套的重要性
锅炉本体、辅助机械、附属设备、监控装置通过连接管路组成一体,环环相扣,缺一不可。通常锅炉本体称为“主机”,其余部分统称为“辅机”。对于煤粉工业锅炉,“辅机”种类繁多,而且有很多转动机械,构成了“主机不主,辅机不辅”的态势。不论是“主机”,还是“辅机”,任何一环节出现故障,轻则影响机组的正常运行,降低运行经济性;重则构成了事故隐患,威胁机组的安全运行,甚至最终导致停炉事故,使锅炉“主机”背负“黑锅”的罪名。
3.如何确保辅机配套良好
确认辅机配套良好与否应从以下几方面着眼:
① 看配套辅机是否集成各种高效节能、低噪低排放的优质产品和先进技术,是否国家优先推荐的高效节能产品;
② 看辅机制造企业有否产品企业标准、产品投产鉴定报告、产品性能检测报告等技术资料;
③ 看辅机产品出厂有否图样、产品质量证明书、产品安装使用说明书等图纸资料;
④ 看辅机制造企业是否与锅炉主机制造企业建立定点配套生产关系,是否通过质量考察认证;
⑤ 看辅机制造企业的产品性价比是否合理,销售业绩如何,查看同类工程用户的反馈意见,了解供货是否及时,售后服务是否到位;
⑥ 水处理设施配套选型时,应把握锅炉容量、类型、原水水质以及用热工艺对汽水品质的要求。
使用燃料能否适应:
当锅炉的实际使用燃料与设计燃料不同时,如差别较小,将影响锅炉出力、效率,甚至环保性能;如差别较大,则影响锅炉的正常运行,使锅炉不能稳定着火、正常燃烧,发生熄火、爆燃、结焦等故障,严重时使锅炉无法运行。暖通南社
1.锅炉没有通用的燃料,无论是燃煤、燃油或燃气锅炉,都有其设计燃料,如表【7】列示。
表【7】 锅炉设计燃料种类

有关燃料适应性的规定:
锅炉经济运行国家标准中的规定要求:
GB/T17954—2007《工业锅炉经济运行》在基本要求中规定“工业锅炉运行时,应燃用设计燃料或与设计燃料相近的燃料”;
GB/T18292—2009《生活锅炉经济运行》在基本要求中规定“生活锅炉应选用与设计燃料同一类的燃料为运行燃料”。
2.工业锅炉行业煤种分类:
表【8】 工业锅炉行业煤的分类及主要特性指标值

3.燃煤锅炉用煤技术条件
① 煤粉锅炉用煤技术条件
GB/T26126—2016《中小型煤粉工业锅炉用煤技术条件》,由国家质检总局、国家标准化管理委员会于2011.01.14发布,2011.06.01实施,该标准适用于容量不大于35t/h(24.5MW)的中小型固态除渣煤粉锅炉,适用煤种为烟煤和褐煤,其技术要求如表【9】列示。
② 链条炉排锅炉用煤技术条件
GB/T18342—2009《链条炉排锅炉用煤技术条件》(代替GB/T18342—2001)由国家质检总局、国家标准化管理委员会于2009.03.11发布,2009.11.01实施。该标准适用于各类链条炉排锅炉用煤,包括抛煤机链条炉排锅炉。链条炉排锅炉用煤分为块煤和混煤,其技术要求如表【10】列示。块煤宜用于链条炉排锅炉,由表【10】所示的技术要求不难看到,属于工业锅炉行业煤种分类中的AⅢ。
表【9】 中小型煤粉锅炉适用煤种及其特性指标要求

表【10】 链条炉排锅炉用煤分类及其特性指标要求

监控装置是否先进、完备:
1.监测项目及仪表配置
锅炉机组监测项目应符合GB50041第11章11.1“监测”和JB/T100943.5“检测与监控仪表及装置的配置要求”中的有关规定,其中涉及锅炉安全经济运行的项目必须保证。下面以蒸汽锅炉为例加以说明。
① 锅炉本体必须装设监测下列安全运行参数的仪表:
a) 锅筒蒸汽压力指示仪表,当额定蒸发量De≥20t/h时,还应装设记录仪表;
b) 锅筒水位指示仪表,当额定蒸发量De≥20t/h时,还应装设记录仪表;
c) 锅筒进口给水压力指示仪表;
d) 过热器出口蒸汽压力和温度指示仪表,当额定蒸发量De≥20t/h时,还应装设记录仪表;
e) 省煤器进出口水压和水温记录仪表
② 应装设监测锅炉经济运行参数的仪表,其中有关节能考核计量管理的在线检测仪表必须齐全,如表【5】列示。当额定蒸发量De≥20t/h时,还应装设大气污染物排放在线检测仪表。
表【5】 蒸汽锅炉经济运行参数监测仪表装设要求一览表

表【5】 蒸汽锅炉经济运行参数监测仪表装设要求一览表 (续1)
表【5】 蒸汽锅炉经济运行参数监测仪表装设要求一览表 (续2)
③ 锅炉辅助机械、附属设备运行参数的监测仪表装设要求如下:
a) 水泵、油泵出口压力,水泵、油泵负荷电流及汽动水泵进汽压力的指示仪表;暖通南社
b) 除氧器工作压力,除氧器水箱水位、水温,除氧器进水温度、蒸汽压力调节器前后蒸汽压力的指示仪表;
c) 离子交换水处理器进出口水压、进水温度、出水电导率、出水PH值、出水SiO2值,软化或除盐水流量、再生液流量指示仪表;
d) 蒸汽蓄热器工作压力、水位、水温指示仪表;
e) 水箱、油箱液位和温度、连续排污膨胀器工作压力和液位指示仪表;
f) 煤粉仓中煤粉温度、粉仓料位、粉风混合物温度指示仪表。
④ 锅炉整机应装设下列有关安全运行的报警信号,如表【6】列示。
表【6】 锅炉整机报警信号表装设要求一览表

表【6】 锅炉整机报警信号表装设要求一览表 (续)

锅炉机组控制项目及装置设置应符合GB50041第11章11.2“控制”和JB/T100943.5“检测与监控仪表及装置的配置要求”中的有关规定,分述如下:
① 自动调节
a) 蒸汽锅炉应设置给水自动调节装置,De≤4t/h锅炉可设置位式给水自动调节装置;De>4t/h锅炉应设置连续给水自动调节装置;
b) 除氧器应设置水位、压力或进水温度自动调节装置;
c) 燃用煤粉、油或气体且De≥10t/h的锅炉,宜装设燃烧过程自动调节装置;De≥20t/h锅炉应设置燃烧过程自动调节装置。燃烧过程自动调节宜采用计算机控制系统。
②安全保护
a) 蒸汽锅炉应设置极限低水位联锁保护装置;
b) De≥6t/h的蒸汽锅炉,应设置蒸汽超压联锁保护装置;
c) 有过热器的锅炉,应设置过热蒸汽超温联锁保护装置;
d) 燃用煤粉、油或气体的锅炉应设置熄火保护装置。
③电气联锁
a) 燃用煤粉、油或气体的锅炉,应设置下列电气联锁装置:
引风机故障时,自动切断鼓风机和燃料供应;
鼓风机故障时,自动切断燃料供应;
燃油、燃气压力低于规定值时,自动切断燃油、燃气供应;
燃气锅炉房室内可燃气体浓度超限时,自动切断燃气供应并开启事故排气扇。
b)层燃锅炉鼓引风机与加煤设备之间应装设电气联锁:引风机故障时,自动切断鼓风机和燃煤供应;鼓风机故障时,自动切断燃煤供应。
c)机械化燃运、除灰出渣系统各有关设备之间应设置电气联锁装置,按顺序启停车。
d) 燃用煤粉锅炉的制粉系统各设备之间,应装设电气联锁装置。
④程序控制
燃用煤粉、油或气体的锅炉,应设置点火程序控制装置。
⑤远程控制
a) De≥6t/h的锅炉,宜设置风机进风门(进口挡板)的远程控制装置;
b) 锅炉电动设备、阀门、烟风道门宜设置远距离控制装置。
⑥集中控制与集散控制
a) De≥4t/h的锅炉,宜设置运行工况集中监控装置;
b) De≥10t/h的锅炉,宜设置集中控制系统;
c) 同一锅炉房内多台锅炉之间,宜采用综合协调控制的集散控制系统。
⑦控制方式:手动/自动,无扰动切换。
⑧控制系统的供电应设置不间断电源供电方式。
真空锅炉选型设计:
工作原理:

输入热能加热溴化锂溶液,产生水蒸汽将制热铜管内的水加热,凝结水流回溶液中再次被加热⋯⋯如此循环不已。
燃料选择: 可用于真空锅炉的燃料有:天然气、煤气、液化石油气、沼气、柴油、再生油。建议用户优先考虑天然气和再生油,可油气两用。
燃料品种不同,机组配备的燃烧机不同。
负荷选择:任何一座建筑的制热负荷选型绝不能估算,它与建筑隔热和室内用途关系甚大,反而与建筑面积关系较小。
承压选择:温水、卫生热水标准承压0.8MPa。承压0.81〜1.2MPa系统建议选择高压型机组。如果承压1.21〜1.6MPa系统,应根据经济技术综合因素分析是采用超高压型机组,还是进行二次换热。如承压高于1.6MPa系统,建议设计二次换热。最高可选承压2.4MPa。
机房土建:
选址:机组运转安全、几乎无震动、噪音小,其机房场地选择十分方便,地下室、地面、楼层中、屋顶都可作机房。对于高层建筑,为减小机组承压,宜将机房设于建筑中段或顶层。
通风:通风不良将导致机房潮湿而腐蚀机组,机房通风应大于每小时换气2次,并加机组消耗的空气。按每万大卡热值燃料消耗15m3空气估算。
排水:①保持机组基础处于机房较高位置。②所有排水管、泄水管均应置于机房地漏或排水沟上可见处。③地下室机房设置于集水坑上,集水坑应设液位联动潜水泵。
温度:控制在5〜43℃内。过低则在机组停机时会导致机体内铜管及水室冻裂,过高则会损坏机组电气元件。机房必须设置温度计和超温报警。
湿度:控制在85%以下,过高将影响电器绝缘。
基础荷载:①建议按设备运行重量的1.5倍考虑。②基础必须平整结实,确保不会下沉或超载(机组置于楼顶)。③荷载按底座走条与基础的接触面均匀分布。
管路系统:
燃气系统:
管道最低处应设泄水阀。管路施工后应进行0.6MPa气压检漏并彻底吹灰。
2台或多台机组并联时,务必在燃气主管上设置较主管管径大3〜6倍的缓冲管,避免同时开机时燃气欠压熄火。缓冲管下部设手动泄水阀。
用户应在订货时将燃气品种、热值、压力向厂商提供,以便厂商及时、准确地选配相应的燃烧机,并将燃气所需管径反馈给用户,用户依此规格设置过滤器、流量计、球阀、放散管、压力计。厂商一般负责供货范围内阀组的安装。外接管路系统由用户安装,接至距燃烧机1m处。
用户管道试压时,应将与厂商供货阀组相接的球阀关闭,以免过高的压力损坏阀组器件。
机房必须安装燃气泄漏检测报警装置,其动作值应设在危险值下限的20%,该装置还应与机房强力排风扇联动。机房务必保持24小时通风良好。
燃油系统:
燃油系统一般包括储油罐、输油泵、日用油箱、燃油过滤器和计量器具等。油罐应设检查孔、阻火透气帽(呼吸阀)、注油阀、油位传感器及排污阀。日用油箱最低油位应高于燃烧机0.1m。
油输送管用铜管或无缝钢管,至少用0.8MPa气压检漏。
油罐入口及出口均需设置中燃油过滤器(60目)。过滤器应有足够截面,其设置场所应便于拆装和排污。
油罐务必设计量装置。
水系统:
水系统初次灌水须采用软化水,使用中每年泄漏率应小于10%,否则大量补充自来水会导致系统结垢。
在水系统中不采用Y型过滤器,而应采用滤网截面比管截面大8〜15倍的0阻力过滤器,以减少阻力损失。
机组温水、卫生热水出/入口必须设置软接头,所有机外管路的重力绝不允许由机组承受。
管路设置要求:任何管路阀门应尽量避免从机组上部穿过,以免管道施工、维修时弄伤机组或漏水损坏机组。暖通南社
水质硬度高的地区,建议卫生热水采用二次换热系统。
排气系统:
建议每台机组设独立的烟道。若受现场条件限制只能用共用烟道,则共用烟道应采取插入式,且主烟囱应较大、较高,以避免相互干扰。每个烟道应设置电动风门,以免烟气进入未运行的机组,导致腐蚀。
机组排气量由输入燃料热量决定,估算每万大卡热值的燃料排气量约18m3,建议烟道、烟囱内烟气设计流速3〜5m/s。
烟道进入机组前应有集污斗,以免凝结水直接流入机内。室内烟道必须保温,室外钢制烟囱较矮时可不作保温,较高时须作保温,以保持烟气的浮升力。排气口应尽量远离冷却塔,或高于冷却塔2m以上。
机组额定排气温度145℃,但从消防安全考虑,设计时应按300℃选择保温材料并设计周围防火隔离区。

排气系统实施例
水系统:
水系统初次灌水须采用软化水,使用中每年泄漏率应小于10%,否则大量补充自来水会导致系统结垢。
在水系统中不采用Y型过滤器,而应采用滤网截面比管截面大8〜15倍的0阻力过滤器,以减少阻力损失。
机组温水、卫生热水出/入口必须设置软接头,所有机外管路的重力绝不允许由机组承受。
管路设置要求:任何管路阀门应尽量避免从机组上部穿过,以免管道施工、维修时弄伤机组或漏水损坏机组。
水质硬度高的地区,建议卫生热水采用二次换热系统。
控制系统:

本图参照远大真空锅炉样册。
吊装及就位要领:
1.务必请具有合格资质且已投保险的专业吊装队伍卸车吊装。
2.吊车支脚必须垫实,确保起吊后不会下沉。起吊前检查吊具,确保不会在起吊后脱落或断裂。钢丝绳起吊夹角必须小于90°,严禁使用单根钢丝绳起吊。吊离车厢面或地面约20mm时,稍作停留,仔细观察确保无问题,再缓缓起吊。
3.落地要轻缓,严禁冲击着地,因机组为真空设备,任何对机组的冲击与碰撞都绝对禁止。
4.移动时,应使用圆钢或厚壁钢管,不准使用木棒作滚筒。只允许拖拉走条上的拖拉孔,其它部位严禁承力。提升设备只能在走条下使用起道机。
5.在设备到达之前应用混凝土浇注好基础并校水平。就位时直接将机组安放其上,无需螺栓固定(若机组周围有强震动源或用户有特殊防震要求的,订货时予以说明)。基础必须平整结实,确保不会下沉或超载(当机组置于楼上时)。
6.机组就位后,应在2小时内进行前、后、左、右水平校订(用透明胶管检测各处水平高度),水平校订后,最大不平度为0.8/1000。就位后,如不迅速垫实机脚,会拉伤机组。
7.走条与基础表面的接触务必严实,承力均匀,若对此不予重视,日后可能出现受力不匀导致慢性扭伤,导致主机泄漏,酿成无法挽回的事故,绝对不可掉以轻心。
8.运输及安装全过程应派专人看护,严禁无关人员接触,严禁拧动任何阀门。若机房尚要进行其它施工,务必在施工完成后才撕开保护膜,并防止坠物砸伤或污物弄脏设备。切不可划伤油漆或保温。

燃气锅炉热负荷计算方法:
燃气锅炉因其负荷自动调节能力强,按照现行国家住建部执行标准,每吨位按照8000~10000平方米计算。北京及以南地区供热负荷负荷可按每吨供热10000平方米计算。北京以北及西部冬季严寒地区供热负荷每吨按照8000平方米计算。
如采暖面积为36000平方米,需要选多大锅炉?
可按照36000÷10000=3.6(吨),设计考虑余量,选4吨锅炉合适。4吨热水锅炉,按照标准热功率:每吨为0.7MW,4吨为:4*0.7MW=2.8MW。选择工程压力的级别可根据用户管网设计压力选型。工作压力对锅炉能耗消耗影响不大。
关于燃气锅炉燃气消耗量的计算:
燃气锅炉采用标准天然气燃烧时,按照四川纳溪天然气低位发热值,Qdw=35588kJ/Nm3(8513.8大卡/Nm3)计算:
1吨锅炉(0.7MW),设计热效率:91.24%,则需要天然气为:
1吨锅炉为60万大卡/h(600000大卡/h):
计算方法:1*600000/(8513.8*0.9178)=77.24Nm3/h
则:WNS0.7-1.0/95/70-Q天然气消耗量每小时77.24标立方米。
蒸汽锅炉可参考上述计算,不需要增加天然气消耗量。
燃气锅炉选型时注意事项:
落实用户为地温采暖还是暖气片采暖?
如地温采暖:则应考虑地暖设计温度为60度左右,如采用95直接给水,会导致地温暖气管道损坏,则考虑采用板式换热器二次换热后再给地暖管道供水。此时二次低温侧循环水泵流量考虑为暖气片采暖时1.5~2倍流量。
如暖气片采暖:可按照每吨需要循环水泵流量为24m³/h,如2吨 (1.4MW)需要循环水泵流量为48m³/h。依次类推。如采用地暖采暖时,1.4MW锅炉选用循环泵流量为1.5~2倍流量,即:72~96m³/h。
锅炉为采暖锅炉时,特别是集中供热的小区或住宅,要考虑一用一备,或两用一备的原则。在暖冬时节考虑集中用一台,另一台备用的原则,当极度寒冷的季节,可同时启用所有锅炉,满负荷运行。以防止在锅炉检修或出现故障时,能及时启动备用锅炉对循环系统进行机械循环,防止出现暖气设施冻坏冻裂事故,同时在采用应急措施中,能及时对负荷及时有效调节。
锅炉选型尽量选用同一种压力规格型号的锅炉,便于并网,共用辅机,在其他锅炉配件出现故障或维修时,能交替使用,便于应急处理。
本文素材取自互联网,暖通南社整顿编辑。