电源模块测试通常分为两种方式,一是模拟实际电路工作参数测试并得出结论。二是将电源模块安装到实际工作电路中进行稳定性测试,使用前务必要经过参数测试,需严格测试各项技术参数指标合格后才能使用,否则将会给产品带来隐患,或导致设备损坏。
1、模块电压的基本参数测试:
直接连接好电源模块就可以进行模块的性能测试和判定,确认模块的性能参数是否符合要求。
2、测试模块电源输出电压精度:
以模块输出设定电压为Voutnom=5V,额定负载为4.166Ω为例,实测输出电压Vout=5.028V,输出电压精度=0.56%。
3、线性电压调整率计算公式:

以模块额定负载为1000mA,Vouth=5.028V,Voutnl=5.0V,Voutnom=5.01V为例,线性电压调整率=-0.556%。
4、负载调整率计算公式:

以模块额定负载为1000mA,Vb2=5.01V为例,负载调整率=0.339%。
5、隔离绝缘特性测试方法:
耐压测试方法按照耐压的测试标准,将耐压值从0V开始慢慢往上调,将耐压值调至设定的最高耐压并在最高耐压值维持一分钟时间。绝缘强度在输入输出间加隔离电压(直流或交流的峰值)测试1分钟。绝缘电阻在输入输出间加500VDC,测的输入输出间绝缘电阻大于 1GOhm。在产品技术手册中的隔离电压仅在一分钟的快速测试内有效,如果需要更长的耐压时间或在长期的高耐压状态下工作,额定工作电压就必须参考相关标准。
6、转换效率计算公式:

以模块实测参数Vin=12V,Iin=560mA,Vout=5V,Io=1000mA为例,效率h=74.4%。
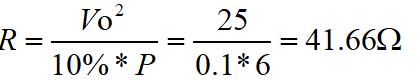
7、开尔文测试方法,如下图所示:

测试条件:室温Ta =25℃,湿度<75%。输入电压范围足够大的直流可调稳压电源,电流表A(精度在0.001A),电压表V(精度在 0.001V),负载阻值计算。假设模块的最大输出功率是6W,输出电压5V,需要计算出R(负载)阻值。

测试模块的最大功率:上面是模块的最大持续输出功率,不得超过标称最大值,否则会导致模块永久性损坏。
10%轻负载测试,为保证测试的准确性需要遵守以下事项:
连接馈线应选择线损越小越好,以直径为1mm多股铜线最佳,以免导致过大压降。当负载电流较大时,应缩短输出引脚与各负载间的距离,增加连接导线截面积来减小过大的压降。 在测量时建议采用单通道探头直接测量法测量输出,避免输入输出共地和外界干扰产生的测量误差。测试时确保前级的供电电源限流点设置合理,在负载10%-100%之间,为保证有准确的电压和纹波,输出容性负载不能大于技术手册规定值。

8、启动时间:
启动时间为输入开启后输出相对于输入达到目标电压值时回应延迟的时间。一般在额定满负载下测得,外接滤波器(包括输入输出电容)均会大大延迟启动的时间,实际设计要与纹波噪声要求权衡考虑。
9、动态负载测试方法:
当负载出现突变时,所有的电源都有一个相应的回应时间。在突变回应期间内,电源的输出电压会出现瞬间的过冲,然后回到正常输出状态。动态回应是通过对过冲幅度的大小、回应时间的长短来测量的,是模块电源性能的一个重要指标。具体测量的方法是用电子负载来进行电源负载的突变,负载设置条件为输出负载电流为额定负载的25%-50%-25%和50%-75%-50%,电流跳变的上升和下降斜率选0.08-0.1A/uS,用示波器测量其输出电压的最大偏差和回应时间,可以得出动态负载测试波形。
10、电源模块外壳温升测试方法:
测试外壳温升可以用热成像仪或是热电偶测试,由于发射率对红外热成像仪测量的结果有影响,从而会导致测量结果存在一定的偏差,一般推荐用热电偶测试。如环境温度Ta = 25℃,实际用热电偶测的电源模块的外壳温度Tc = 50℃,那么模块的温升是DT=Tc-Ta=50-25=25℃。其中Tc—壳温,Ta—环境温度,△T—温升。
11、输入反射纹波测试方法:

输入反射纹波电流主要是指经模块的滤波器未滤除完全的纹波电流反射到DC电源输入端的交流分量。输入反射纹波电流测量需要在前端接入电感和电容元件来匹配源阻抗,如上图所示:电感电容推荐值Lin(4.7μH) ,Cin(220μF,ESR < 1.0Ω at 100 KHz)。
12、电源模块波纹噪声测试方法:
先将示波器带宽设置为20MHz,可以有效防止高频噪声。可以采用平行线测试法、双绞线测试法或靠测法。

平行线测试法:C1为高频陶瓷电容,一般容值为1uF。C2为宽电压输入DM41系列,C2 容值为10uF(电解电容),耐压值高于模块输出电压2倍以上即可。两平行线铜箔带之间的距离为2.5mm,两平行铜箔带的电压降之和应小于输出电压值的2%。

双绞线测试法:采用30cm长、#20AWG线规组成的双绞线与被测开关电源的Vo+及Vo-连接,在Vo+与Vo-之间接上阻性负载(假负载)。在双绞线末端接一个10μF电解电容,在测量点连接时,一端接在Vo上,另一端接到地平面端。

靠测法:由于示波器的地线夹会吸收各种高频噪声干扰测量结果,为了屏蔽干扰可采用靠测法测试,示波器探头接在每路输出端测试。实际测试纹波和噪声会因电路和外接元件不同而有所差异。
很多电子设备损坏的原因是电源,电源的好坏直接关系到产品使用寿命,希望能够引起大家注意,不要忽略一些测试细节。有问题与相关技术人员沟通,能够减少失误并加速产品研发时间。