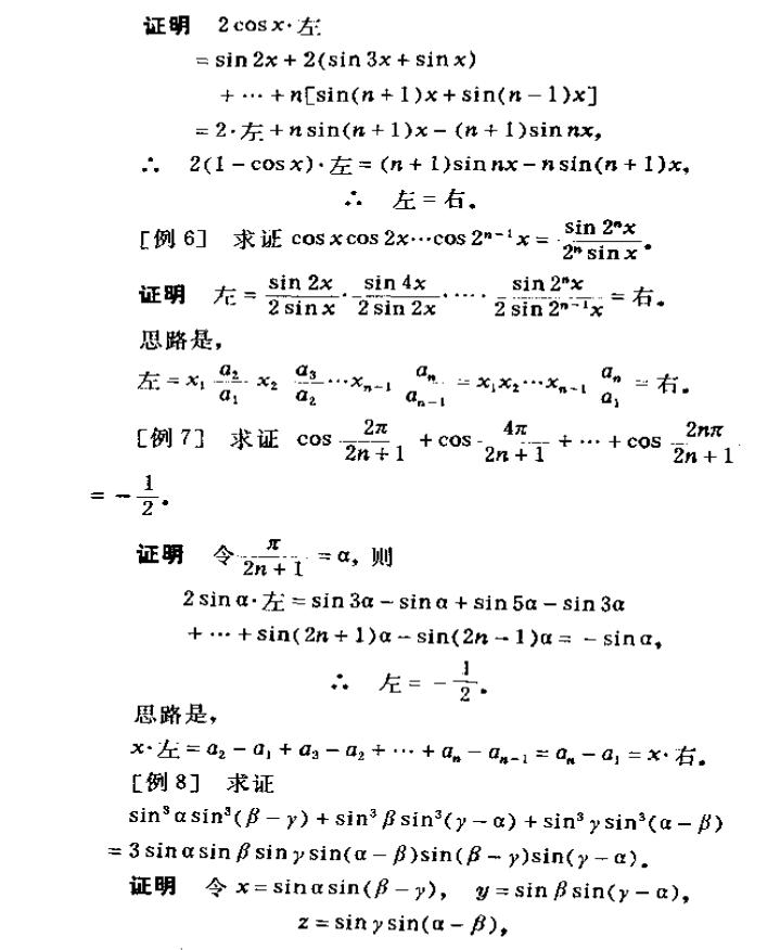
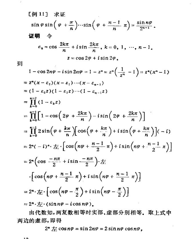
《三角恒等式》全面系统地总结了高中课程中三角恒等变形的内容,对三角恒等式的证法和技巧做了分类指导,着重解题思路的分析,内容包括同角函数关系、加法定理、反三角函数、三角形的边角关系、三角恒等变形的各种应用以及代数对三角恒等变形的应用等。今天就给大家总结分享关于三角恒等式的应用,对于高考提分肯定会有帮助的!
由于篇幅有限,只能上传部分截图,建议大家领取一份完整版打印出来学习,
领取方式:点我头像,私信“数学”。还有免费视频课程哦,声明:绝对免费送!














《三角恒等式》全面系统地总结了高中课程中三角恒等变形的内容,对三角恒等式的证法和技巧做了分类指导,着重解题思路的分析,内容包括同角函数关系、加法定理、反三角函数、三角形的边角关系、三角恒等变形的各种应用以及代数对三角恒等变形的应用等。今天就给大家总结分享关于三角恒等式的应用,对于高考提分肯定会有帮助的!
由于篇幅有限,只能上传部分截图,建议大家领取一份完整版打印出来学习,
领取方式:点我头像,私信“数学”。还有免费视频课程哦,声明:绝对免费送!













