我是最近密码被盗了
才打算写这篇文章的
首先,就想问问
你平时习惯用的密码
是什么样的?
经过我多方面调查
大多人常用的密码
可以分为了六大派系:
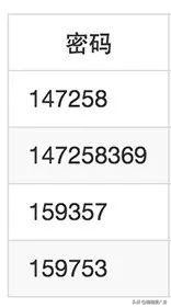
极懒派:
特点就是:短
比如:111111、666666、88888888
手势派
特点就是:
喜欢顺着键盘按过去!
也有不少九宫格键盘

因此很多密码的原理
就迎刃而解了!

规律派
特点就是:
左手慢动作,右手再重播
记住一串数字的规律
把一串简单的数字变成复杂密码!

手机派
用自己和亲人的手机号码做密码
生日、纪念日派
初级:自己的生日、纪念日
中级:你对象的生日、纪念日
高级:父母的生日、纪念日
情感派
我爱某某某
5201314、1314520、7758521
woaini、iloveyou......
说的是不是你?
而以上这些密码
长度过短、形式单一、内容简单
是很容易被破译和猜测到的!
但还是有很多人
基本都是靠一个密码“走天下”!

那么,问题来了
如果把密码设置得复杂一点
会不会安全很多呢?
并不会!
在很多平台上设置密码的时候
你一定见过这个提醒:
▽
大小写字母、数字、特殊符号混合使用
而且最好定期更换!
比如:“Nvhaibiewen123&”
所以,你是不是就觉得:
密码设置得越复杂
别人就越不容易猜到?
那么今天就要告诉大家

这除了难为自己的记忆力之外
对想要破解你密码的人
没有任何作用!
设置复杂的密码
到底错在哪里了?
曾经
有一位叫Bill Burr的精神小伙
在为美国政府工作时提出:
密码应该使用大写字母、数字和非字母符号
因为复杂的密码难以被猜到
所以他建议经常更换密码
后来各大网站都跟风
设置密码的时候,都安排上了这个要求
于是你的密码变成了
▽
cqmyg14DsS
还弄了个记忆口诀:
床前明月光,疑是地上霜

然而,在把我们逼疯之后
这个精神小伙突然又说

和那种简单的密码相比
你那么用心记得的复杂密码
并没什么卵用!
因为我们记不住复杂的密码
所以我们就必须找个地方记下来
但这样
却更容易被黑客*力暴**破解!

*放播**GIF
甚至
“定期更换密码”的建议也是错误的
因为很多人只会更换其中部分字符
也会为了避免忘记写下来

简单的说
就是做这些改变,毛线用也没有!
好了,说了这么多废话
怎么才能设置一个安全的密码呢?
方法一:
把密码设置的长一点
评估密码的强度有个公式:
H=L*log2N
密码强度(H)与密码长度(L)
和字符种类(N)两者有关
这个公式看不懂没关系
你只要知道
当密码长度达到16个字符的时候
黑客破解它需要
149,745,258,842,898 年!

*放播**GIF
比如:Ns58hiq%8
和Creep before you walk
哪一个更安全?
当然是第二个了
因为第二个比较长!
方法一:
更安全的办法是使用双重验证
比如扫二维码,登陆短信确认
......
当然啦,现在很多APP
都已经开始用这种方法了!
方法三:
用统一的规则设置你的密码
毕竟如果设置没有规律的乱码
你忘记的概率非常非常大!
有了一个统一规则,就容易多了
设置密码的时候
尽可能使用长密码
长度至少要超过8位数字
而且不同等级的账户
要使用不同的密码!
方法四:
如果你觉得上面的方法都很复杂
没关系
你还可以即找一个句子
(可以是任何一句话)
或者某句歌词的首字母
来作为密码
所以
今年最火!最安全!的密码
应该是:
2020DHDCQpsdtf

当然,这个密码有一个小缺点
就是
。
。
。
