快恢复二极管 性能显著,它具有超快的开关速度,在很多领域中都有应用。超低的反向漏电流和超快恢复的特点使它在应用中更是无可替代的。
功率快恢复 二极管 各参数之间存在着折衷关系,主要是正向导通特性、反向恢复特性,及反向击穿特性等之间各参数的矛盾主要的性能参数包括正向压降、反向峰值电流、反向恢复时间、软度因子、阻断电压、漏电流。我们只能在各参数之间取其折衷而无法实现所有特性参数的最优值,在取得一项或几项参数优化的同时,不过多牺牲其它参数,实现器件综合性能在一定方向上的优化。 1. 反向出电流 实际快恢复二极管,由于耗尽区外边缘扩散长度以内载流子的扩散以及耗尽层内载流子的空间产生,总是会有微小的电流,这就是器件的反向漏电流IR,它决定着二极管反向工作时的功率损耗。一般来说,漏电流由反向扩散电流ID、表面漏电流IS和空间电荷区产生电流IG三部分组成,如式1所示:

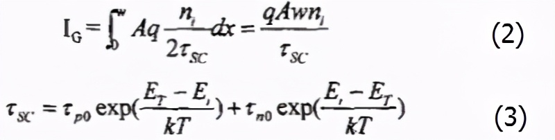
由于处理功率较高,FRD的结面积和厚度要明显大于普通二极管,所以漏电也明显很大。因为漏电流研究的主要对象是考虑空间电荷区产生电流比,所以漏电流一般是在结温125℃或150℃的高温条件下测量,是因为高温条件下表面漏电流和扩散电流要远小于空间电荷区产生电流。空间电荷区产生电流可以由空间电荷区产生率积分得到,如式2所示:

其中:τSC为空间电荷产生寿命 ni为本征载流子浓度 Τn0、τp0为少数载流子寿命 Er为复合中心的能级位置 E,为本征能级位置 从式2可以看出,空间电荷区产生电流IG随着本征载流子浓度的增加而增加(即随着温度上升漏电流会上升很快),因此一般高温下漏电要远大于常温下的漏电。在高温条件下,漏电流近似为空间电荷区产生电流,除去器件结构参数因素,漏电流只与空间电荷区产生寿命τSC有关,且其成反比,即τSC越大,漏电流越小,根据复合中心也是产生中心的理论,在进行了寿命控制的二极管中,τSC的大小决定了复合中心的性质,即复合中心能级位置、浓度和俘获截面。复合中心浓度和俘获截面越大,少数载流子寿命τn0和p0越小,τSC就越小,漏电就越大。这说明寿命控制时引入的复合中心越多,减小反向恢复时间的效果越好,但引起漏电的上升也就越大,两者之间存在矛盾,从式3能直观看出,复合中心能级与本征能级(近似禁带中线)差距越小,τSC就越小,漏电就越大,但复合作用也会越明显,因此复合中心的能级位置也是寿命控制的重要考虑因素。