高斯说,任何一个实系数多项式方程

这就是高斯提出的著名的 代数基本定理 。

但我一直对这个定理很不感冒。
对于方程

有两个根当然没有问题,然而对于以下方程就需要解释了。
方程

它只有一个根0,于是高斯说,我们定义这样的根叫重根。注意,重根的概念对于高中生只可意会不可言传。
因为
你能听懂重根吗?能。
那么什么是重根?呃……不知道,反正它是重根就对了。
好吧,我们姑且放过,等高中生长大点,到他们可以结婚的年纪,他们就能说得清重根的概念了。

(放错了,这不是重根,是人参)
对于这个方程呢?

它显然是个二次方程,但它有两个根吗?有。
感谢高考命题组,高中课程没有像定积分一样,把复数全部砍掉,要不然怎么才能讲清楚!
这个方程是有两个根的

i被称为虚数单位,在数学的定义就是

引入了复数,高斯的代数基本定理算是圆满了。因为在复数范围内,n次多方程的确有n个根。
但是,定理没有说,我们该怎么得到这些根。
我目前会的只有两类方程和某些特殊方程。
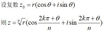
第一类方程是

公式是这样的,

原理如下:
对于两个复数

于是我们就有

现在反过来即可,再考虑一下三角函数的周期性就可以了。

第二类方程:二次方程

解法是这样的。

注意,判别式不一定为正,甚至不一定是实数,但没关系,从第一类方程我们会求它的两个平方根,设为

则方程的根代入求根公式即可


其实三次方程也是可以用公式解得,但那个卡当公式,算了,我背不住。
四次公式能吓死你。

(卡当本神,业余数学家)
五次和更高次的不止一个数学家证明了,没有公式解。
那么这个代数基本定理就很数学了。
我知道它有,怎么有不管。
于是后续的数学物理工作者只好用特殊方法求近似解,高中阶段就有一个经典的近似解法:二分法。(实际上是个效率很低的办法,但简单易懂)
这就是我喜欢欧拉甚于高斯许多的原因。
欧拉的数学,我们都能看懂,是实实在在的奇思妙解,是让人拍案叫绝的思维