招聘速览
>吴桥县*党**群系统事业单位2019年公开招聘工作人员公告
>吴桥县政府系统事业单位2019年公开招聘工作人员公告
>广平县2019年全科医生特设岗位招聘公告
>唐山市农业科学研究院2019年公开选聘工作人员公告
>2019年饶阳县人民医院、中医医院公开招聘专业技术人员的公告
>饶阳县关于2019年公开招聘辅警的公告
>秦皇岛北戴河新区2019年卫生系统人员招聘公告
>南和县卫生健康局关于2019年公开招聘大学生村医的公告
>东光县关于2019年公开招聘公安辅警的公告
>三河市消防救援大队2019年政府专职*防队消**员招聘公告
>2019年涿州市博物馆公开招用消防工作人员公告
>河北衡水中学消防控制室管理人员招聘公告
>沧州银行秦皇岛分行招聘启事
吴桥县*党**群系统事业单位2019年公开招聘工作人员公告
根据《事业单位人事管理条例》及《河北省事业单位公开招聘工作人员暂行办法》,为满足我县*党**群系统事业单位工作需要,经研究决定,2019年吴桥县*党**群系统事业单位面向社会公开招聘工作人员15名。现就有关事项公告如下:
一、招聘原则
事业单位公开招聘坚持德才兼备和民主、公开、竞争、择优的原则,在考试、考察的基础上择优聘用。
二、招聘名额
此次公开招聘共有招聘岗位10个,招聘工作人员15名。各招聘单位具体招聘人数和岗位条件详见《吴桥县*党**群系统事业单位2019年公开招聘工作人员岗位条件表》(附件1),应聘人员可以通过吴桥人力资源网(http://www.wqrlzy.com/)查询报考信息。

三、招聘对象和条件
(一)招聘对象
招聘对象为2019届及以前毕业的全日制普通类高等院校毕业生。
(二)应聘人员应具备以下基本条件:
1.具有中华人民共和国国籍;
2.遵守宪法和法律,具有良好的品行和职业道德;
3.具有与招聘岗位要求相适应的学历、专业等条件;
4.年龄要求18周岁以上、35周岁以下(1983年12月11日至2001年12月10日期间出生),2019年应届毕业生不限年龄;
5.适应岗位要求的身体条件;
6.具备岗位所需要的其他条件。
招聘岗位所需的具体条件按《吴桥县*党**群系统事业单位2019年公开招聘工作人员岗位条件表》要求确定,凡涉及年龄、工作时间等需要确定时间的,计算时间截止到2019年12月10日。
(三)有下列情形之一的人员不得报考:
1.曾因犯罪受过刑事处罚的、开除公职的、失信被执行人;
2.受*党**纪、政纪处分,处分期未满的;
3.因涉嫌违法、违纪,正在接受审查的;
4.现役军人、试用期内的公务员和试用期内的事业单位工作人员、未满最低服务年限或未满约定最低服务期限的人员;
5.普通类全日制在读的非应届毕业学生;
6.法律、法规规定不得招聘为事业单位工作人员的其它情形人员。
7.报考人员不得报考聘用后即构成回避关系的招聘岗位。
回避关系是指《河北省事业单位公开招聘工作人员暂行办法》第四十一条关于“凡与聘用单位负责人员有夫妻关系、直系血亲关系、三代以内旁系血亲或者近姻亲关系的应聘人员,不得应聘该单位负责人员的秘书或者人事、财务、纪律检查岗位,以及有直接上下级领导关系的岗位。聘用单位负责人员和招聘工作人员在办理人员聘用事项时,涉及与本人有上述亲属关系或者其他可能影响招聘公正的,也应当回避”的规定。
四、报名与资格审查、打印笔试准考证
(一)报名办法和时间
本次考试实行网上报名,报名者严格实行自律机制,即对网上提交的学历、毕业院校、户籍、工作经历等信息的真实性负责。凡弄虚作假的,一经查实,即取消应聘资格。
报名网址:吴桥人力资源网(http://www.wqrlzy.com/)。
报名时间:2019年12月10日9:00至16日17:00。
资格审查截止时间:2019年12月17日12:00
交费截止时间:2019年12月17日17:00。
开考比例:报考人数与岗位招聘人数的比例不低于3:1。报名人数达不到开考比例的,经领导小组研究决定,减少该岗位招聘人数或取消该岗位招聘,并通知报考该岗位人员。
(二)打印《笔试准考证》
考生完成网上报名后,于2019年12月23日8:00至12月24日22:00登陆吴桥人力资源网(http://www.wqrlzy.com/),打印《笔试准考证》。
(三)考生报名注意事项
考生开始报名前,须完全了解本次招聘的招聘政策和拟报考岗位条件,认真阅读《报名须知》并同意《诚信承诺书》,然后参照“考生操作指南”按步骤进行具体操作:
1.网上报名实行严格的自律机制。报考人员必须承诺履行《诚信承诺书》,对提交审核的报名信息的真实性负责;在进入面试人员证件审核及其他招聘环节,凡发现网上填报的信息与实际情况不一致的,取消应聘资格。
2.网上报名须用有效的二代居民身份证申请“报名号”,获取“报名号”和“初始密码”后才能登录报名系统,进行填表和提交审核,报名号是登录报名系统的唯一标识,密码可修改,二者均务必牢记并保管好。
3.按照要求规范填写或选择表项,上传的电子照片要符合要求,否则将被报名系统自动拒绝。报考信息通过审核后才能进行交费操作,交费成功即完成报名。
4.考生“提交审核”后信息将被锁定,在未反馈审核结果前不能修改。一般情况下,审核员24小时内会回复审核结果。“审核未过”的,可根据提示的未过原因,修改信息或改报岗位并重新提交审核;“审核通过”的,将不能再修改,可直接进入交费程序。
5.考生务必牢记报名和交费截止时间、打印《笔试准考证》时间、考试时间等重要时间信息;凡是在规定时间未完成相关操作的,将被视为自动放弃。同时,报名和考试期间务必保管好个人的证件和信息,因个人原因导致丢失、被他人盗用和信息被恶意篡改而影响报名和考试的,责任自负。
6.报名交费可以通过“网上银行”及手机支付宝扫码支付,报名考务费每人100元,请考生及时开通网上支付功能。
7.特别提示:由于报名和咨询较多,本次招录的政策、方法、程序、时间地点安排、有关要求等,已在本公告写明,请认真阅读,确有公告未尽事项时再电话咨询,以提高广大考生咨询效率。
五、考试与证件审核
考试分为笔试与面试两部分。
(一)笔试
笔试由*共中**吴桥县委策划部、吴桥县人力资源和社会保障局统一策划。笔试采取闭卷方式进行,满分100分,考试时间为120分钟。
1.笔试科目:
考试内容为《公共基础知识》和《职业能力测验》。
本次考试不指定考试辅导用书,不举办也不委托任何机构或个人举办考试辅导培训班。目前社会上出现的假借事业单位招聘考试命题组、专门培训机构等名义举办的辅导班、辅导网站或发行的出版物、上网卡等,均与本次考试无关。敬请广大应聘者提高警惕,切勿上当受骗。
2.笔试时间及地点:
考生应按照准考证上确定的考试时间、地点、考场参加考试。参加考试时,必须同时携带笔试准考证和法定有效二代居民身份证。缺少证件的考生不得参加考试。
3.笔试成绩查询:
笔试成绩可于笔试结束后七天内登陆吴桥人力资源网(http://www.wqrlzy.com/)查询。根据招聘计划和笔试成绩,分岗位按1:2的比例确定进入面试人选,比例内末位成绩并列的都进入面试人选。
(二)证件审核
进入面试人选的考生需在指定时间、指定地点进行证件审核。考生须出具的证件和材料包括:能够证明自己符合条件的身份证、笔试准考证、毕业证、学位证、就业报到证及岗位要求的其他资格证书原件及复印件;应届普通类毕业生须提供《2019年大中专毕业生就业协议书》。经证件审核,符合资格条件的考生进入面试。发现考生在网上报名时填报情况不实不符合报考资格条件的,取消面试资格,严重弄虚作假行为要追究责任。
(三)面试
1.面试时间和地点:
证件审核结束后,面试时间和地点会在吴桥人力资源网(http://www.wqrlzy.com/)进行公布。
2.面试方式:
面试采取结构化面试的方式进行。主要对应聘者的适岗能力、职业素养和举止仪表等方面进行综合考核。面试成绩满分100分,面试合格分数线为60分。面试成绩当天在面试考点公布。
(四)考生综合考试成绩的计算
面试合格分数线为60分,达不到合格线的考生不计算综合考试成绩、不得进入此后体检等招聘程序。按笔试成绩、面试成绩两部分计算考试综合成绩(保留2位小数)。
综合成绩=笔试成绩×60%+面试成绩×40%
(五)确定进入体检考生名单
根据招聘计划和考生综合考试成绩,分职位按1:1的比例确定体检考生名单。同一岗位末位出现总成绩并列超出招聘计划者,采取依次按笔试成绩高者、学历高者、院校录取批次高者、基层工作经验长者优先的办法确定排名,若仍不能区分排名,则另行加试。在此后的考察、公示环节发现问题需要递补时,出现总成绩并列的,也按此排名顺序确定。
六、体检
体检人员名单在吴桥人力资源网(http://www.wqrlzy.com/)公布。体检项目、标准参照公务员录用体检的有关规定执行。体检费用自理。体检不合格的,取消拟聘人选资格,按综合成绩排名依次递补。
七、考察
体检合格人员进入考察环节。考察由县委策划部会同事业单位或其主管部门策划实施,主要考察应聘人员思想政治表现、道德品质、业务能力、工作实绩等情况。考察不合格的,取消拟聘人员资格,在报考同一岗位的考生中按排名顺序依次递补。
八、公示
经体检、考察均合格人员,确定为拟聘用人员,在吴桥人力资源网进行公示,时间为7个工作日,接受社会和群众监督。
九、聘用
公示期间,对折射有严重问题并查有实据不符合聘用条件的、在公示期间放弃聘用的,取消其拟聘人选资格,在报考同一岗位的考生中按排名顺序依次递补;对折射有严重问题但一时难以查实的,暂缓聘用,待查实并做出结论后决定是否聘用;对公示期满无异议的,或有折射问题但经核实不影响聘用的,填写《河北省事业单位公开招聘工作人员审批表》一式四份,报县委策划部办理相关聘用手续。公开招聘的人员按相关政策规定实行试用期制度,试用期一并计算在聘用合同期限内。试用期满考核合格的人员,予以正式聘用,不合格的,取消聘用。聘用后,服务年限不得低于5年。
十、其它有关事项
(一)本次招聘由县纪委监委全程监督。
(二)凡考生未在规定时间内按要求参加笔试、证件审核、面试、体检、考察、报到的,均视为自动放弃应聘资格。
咨询电话:0317-7276826
详情登录
http://www.wqrlzy.com/web/wenjian/20191129170331.html
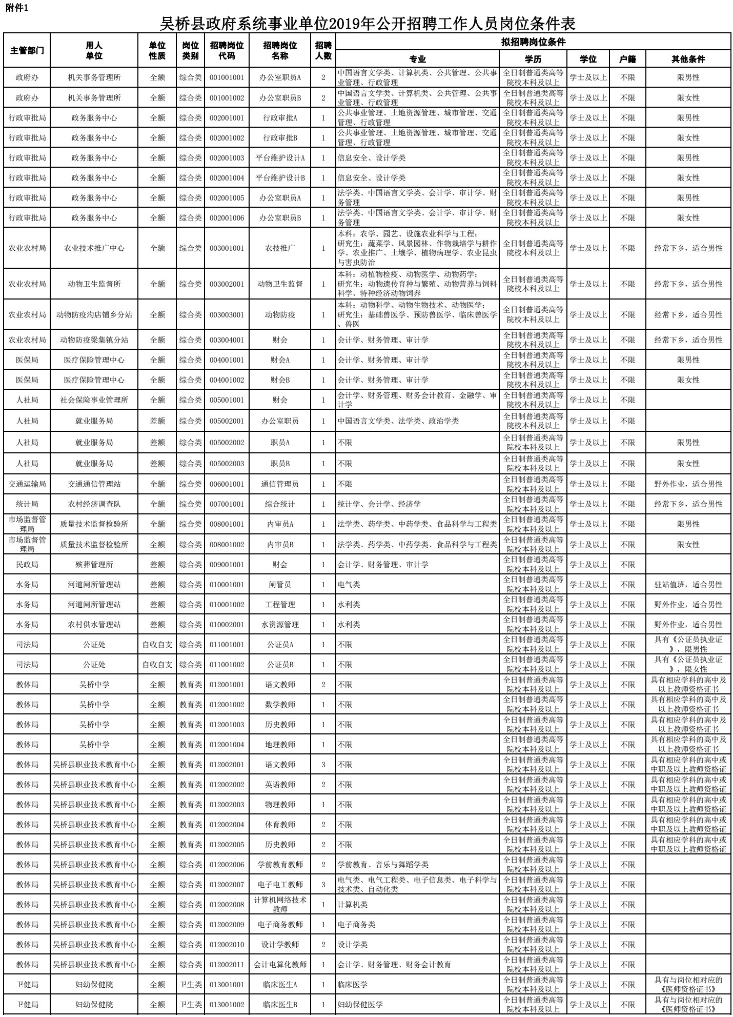
吴桥县政府系统事业单位2019年公开招聘工作人员公告
根据《事业单位人事管理条例》及《河北省事业单位公开招聘工作人员暂行办法》,为满足我县事业单位工作需要,经研究决定,2019年政府系统事业单位面向社会公开招聘工作人员152名。现就有关事项公告如下:
一、招聘原则
事业单位公开招聘坚持德才兼备和民主、公开、竞争、择优的原则,在考试、考察的基础上择优聘用。
二、招聘名额
此次公开招聘共有招聘岗位69个,招聘工作人员152名。各招聘单位具体招聘人数和岗位条件详见《吴桥县政府系统事业单位2019年公开招聘工作人员岗位条件表》(附件1),应聘人员可以通过吴桥人力资源网(http://www.wqrlzy.com/)查询报考信息。

三、招聘对象和条件
(一)招聘对象
招聘对象为2019届及以前毕业的全日制普通类高等院校毕业生。
(二)应聘人员应具备以下基本条件:
1.具有中华人民共和国国籍;
2.遵守宪法和法律,具有良好的品行和职业道德;
3.具有与招聘岗位要求相适应的学历、专业等条件;
4.年龄要求18周岁以上、35周岁以下(1983年12月11日至2001年12月10日期间出生),2019年应届毕业生不限年龄;
5.适应岗位要求的身体条件;
6.具备岗位所需要的其他条件。
招聘岗位所需的具体条件按《吴桥县政府系统事业单位2019年公开招聘工作人员岗位条件表》要求确定,凡涉及年龄、工作时间等需要确定时间的,计算时间截止到2019年12月10日。
(三)有下列情形之一的人员不得报考:
1.曾因犯罪受过刑事处罚的、开除公职的、失信被执行人;
2.受*党**纪、政纪处分,处分期未满的;
3.因涉嫌违法、违纪,正在接受审查的;
4.现役军人、试用期内的公务员和试用期内的事业单位工作人员、未满最低服务年限或未满约定最低服务期限的人员;
5.普通类全日制在读的非应届毕业学生;
6.法律、法规规定不得招聘为事业单位工作人员的其它情形人员。
7.报考人员不得报考聘用后即构成回避关系的招聘岗位。
回避关系是指《河北省事业单位公开招聘工作人员暂行办法》第四十一条关于“凡与聘用单位负责人员有夫妻关系、直系血亲关系、三代以内旁系血亲或者近姻亲关系的应聘人员,不得应聘该单位负责人员的秘书或者人事、财务、纪律检查岗位,以及有直接上下级领导关系的岗位。聘用单位负责人员和招聘工作人员在办理人员聘用事项时,涉及与本人有上述亲属关系或者其他可能影响招聘公正的,也应当回避”的规定。
四、报名与资格审查、打印笔试准考证
(一)报名办法和时间
本次考试实行网上报名,报名者严格实行自律机制,即对网上提交的学历、毕业院校、户籍、工作经历等信息的真实性负责。凡弄虚作假的,一经查实,即取消应聘资格。
报名网址:吴桥人力资源网(http://www.wqrlzy.com/)
报名时间:2019年12月10日9:00至16日17:00
资格审查截止时间:2019年12月17日12:00
交费截止时间:2019年12月17日17:00
开考比例:吴桥县中西医结合医院和吴桥中学岗位报考人数与该岗位招聘人数的比例不低于2:1;其他岗位报考人数与该岗位招聘人数的比例不低于3:1。报名人数达不到开考比例的,经领导小组研究决定,减少该岗位招聘人数或取消该岗位招聘,并通知报考该岗位人员。
(二)打印《笔试准考证》
考生完成网上报名后,于2019年12月23日8:00至12月24日22:00登陆吴桥人力资源网(http://www.wqrlzy.com/),打印《笔试准考证》。
(三)考生报名注意事项
考生开始报名前,须完全了解本次招聘的招聘政策和拟报考岗位条件,认真阅读《报名须知》并同意《诚信承诺书》,然后参照“考生操作指南”按步骤进行具体操作:
1.网上报名实行严格的自律机制。报考人员必须承诺履行《诚信承诺书》,对提交审核的报名信息的真实性负责;在进入面试人员证件审核及其他招聘环节,凡发现网上填报的信息与实际情况不一致的,取消应聘资格。
2.网上报名须用有效的二代居民身份证申请“报名号”,获取“报名号”和“初始密码”后才能登录报名系统,进行填表和提交审核,报名号是登录报名系统的唯一标识,密码可修改,二者均务必牢记并保管好。
3.按照要求规范填写或选择表项,上传的电子照片要符合要求,否则将被报名系统自动拒绝。报考信息通过审核后才能进行交费操作,交费成功即完成报名。
4.考生“提交审核”后信息将被锁定,在未反馈审核结果前不能修改。一般情况下,审核员24小时内会回复审核结果。“审核未过”的,可根据提示的未过原因,修改信息或改报岗位并重新提交审核;“审核通过”的,将不能再修改,可直接进入交费程序。
5.考生务必牢记报名和交费截止时间、打印《笔试准考证》时间、考试时间等重要时间信息;凡是在规定时间未完成相关操作的,将被视为自动放弃。同时,报名和考试期间务必保管好个人的证件和信息,因个人原因导致丢失、被他人盗用和信息被恶意篡改而影响报名和考试的,责任自负。
6.报名交费可以通过“网上银行”及手机支付宝扫码支付,报名考务费每人100元,请考生及时开通网上支付功能。
7.特别提示:由于报名和咨询较多,本次招录的政策、方法、程序、时间地点安排、有关要求等,已在本公告尽详写明,请认真阅读,确有公告未尽事项时再电话咨询,以提高广大考生咨询效率。
五、考试与证件审核
考试分为笔试与面试两部分。
(一)笔试
笔试由吴桥县人力资源和社会保障局统一策划。笔试采取闭卷方式进行,满分100分,考试时间为120分钟。
1.笔试科目:
综合类:除卫生系统和教育系统外,其他事业单位岗位考试内容为《公共基础知识》和《职业能力测验》(包含012002006、012002007、012002008、012002009、012002010、012002011、013001003、013005001、013005002岗位)。
卫生类:吴桥县人民医院、吴桥县中西医结合医院、妇幼保健院、疾病预防控制中心、东宋门乡中心卫生院、何庄乡卫生院事业单位岗位考试内容为《公共基础知识》和《医学基础知识》(不包含013001003、013005001、013005002岗位)。
教育类:吴桥中学、吴桥县职业技术教育中心事业单位岗位考试内容为《教育基础知识》和《相应学科专业知识》(不包含012002006、012002007、012002008、012002009、012002010、012002011岗位)。
本次考试不指定考试辅导用书,不举办也不委托任何机构或个人举办考试辅导培训班。目前社会上出现的假借事业单位招聘考试命题组、专门培训机构等名义举办的辅导班、辅导网站或发行的出版物、上网卡等,均与本次考试无关。敬请广大应聘者提高警惕,切勿上当受骗。
2.笔试时间及地点:
考生应按照准考证上确定的考试时间、地点、考场参加考试。参加考试时,必须同时携带笔试准考证和法定有效二代居民身份证。缺少证件的考生不得参加考试。
3.笔试成绩查询:
笔试成绩可于笔试结束后七天内登陆吴桥人力资源网(http://www.wqrlzy.com/)查询。根据招聘计划和笔试成绩,分岗位按1:2的比例确定进入面试人选,比例内末位成绩并列的都进入面试人选。
(二)证件审核
进入面试人选的考生需在指定时间、指定地点进行证件审核。考生须出具的证件和材料包括:能够证明自己符合条件的身份证、笔试准考证、毕业证、学位证、就业报到证及岗位要求的其他资格证书原件及复印件;应届普通类毕业生须提供《2019年大中专毕业生就业协议书》。经证件审核,符合资格条件的考生进入面试。发现考生在网上报名时填报情况不实不符合报考资格条件的,取消面试资格,严重弄虚作假行为要追究责任。
(三)面试
1.面试时间和地点:
证件审核结束后,面试时间和地点会在吴桥人力资源网(http://www.wqrlzy.com/)进行公布。
2.面试方式:
综合类岗位和卫生类岗位面试采取结构化面试的方式进行,教育类岗位面试采取试讲的方式进行。主要对应聘者的适岗能力、职业素养和举止仪表等方面进行综合考核。面试成绩满分100分,面试合格分数线为60分。面试成绩当天在面试考点公布。
(四)考生综合考试成绩的计算
面试合格分数线为60分,达不到合格线的考生不计算综合考试成绩、不得进入此后体检等招聘程序。按笔试成绩、面试成绩两部分计算考试综合成绩(保留2位小数)。
报考综合类和卫生类岗位的考生,综合成绩=笔试成绩×60%+面试成绩×40%;
报考教育类岗位类的考生,综合成绩=笔试成绩×40%+面试成绩×60%。
(五)确定进入体检考生名单
根据招聘计划和考生综合考试成绩,分职位按1:1的比例确定体检考生名单。同一岗位末位出现总成绩并列超出招聘计划者,采取依次按笔试成绩高者、学历高者、院校录取批次高者、基层工作经验长者优先的办法确定排名,若仍不能区分排名,则另行加试。在此后的考察、公示环节发现问题需要递补时,出现总成绩并列的,也按此排名顺序确定。
六、体检
体检人员名单在吴桥人力资源网(http://www.wqrlzy.com/)公布。体检项目、标准参照公务员录用体检的有关规定执行。体检费用自理。体检不合格的,取消拟聘人选资格,按综合成绩排名依次递补。
七、考察
体检合格人员进入考察环节。考察由县人力资源和社会保障局会同事业单位或其主管部门策划实施,主要考察应聘人员思想政治表现、道德品质、业务能力、工作实绩等情况。考察不合格的,取消拟聘人员资格,在报考同一岗位的考生中按排名顺序依次递补。
八、公示
经体检、考察均合格人员,确定为拟聘用人员,在吴桥人力资源网(http://www.wqrlzy.com/)进行公示,时间为7个工作日,接受社会和群众监督。
九、聘用
公示期间,对折射有严重问题并查有实据不符合聘用条件的、在公示期间放弃聘用的,取消其拟聘人选资格,在报考同一岗位的考生中按排名顺序依次递补;对折射有严重问题但一时难以查实的,暂缓聘用,待查实并做出结论后决定是否聘用;对公示期满无异议的,或有折射问题但经核实不影响聘用的,填写《河北省事业单位公开招聘工作人员审批表》一式四份,报县人力资源和社会保障局办理相关聘用手续。公开招聘的人员按相关政策规定实行试用期制度,试用期一并计算在聘用合同期限内。试用期满考核合格的人员,予以正式聘用,不合格的,取消聘用。聘用后,服务年限不得低于5年。
十、其它有关事项
(一)本次招聘过程由县纪委监委全程监督。
(二)凡考生未在规定时间内按要求参加笔试、证件审核、面试、体检、考察、报到等情况的,均视为自动放弃应聘资格。
咨询电话:0317-7365033
详情登录
http://www.wqrlzy.com/web/wenjian/20191129172556.html
广平县2019年全科医生特设岗位招聘公告
为切实加强我县基层全科医生队伍建设,提高基层医疗卫生机构服务能力,根据国家卫生健康委员会办公厅《国卫办人函【2019】329号文、原省卫生计生委等五部门《关于印发的通知》(冀卫发〔2018〕36号)、邯郸市卫生健康委(关于全科医生特设岗位招聘工作的通知)的要求,经政府常务会研究,决定面向社会招聘全科医生。现就有关事项公告如下:
一、招聘原则
公开、平等、竞争、择优的用人原则。
二、招聘人数
本次特岗全科医生岗位招聘计划6名,安排在我县乡镇卫生院工作。
三、招聘对象和条件
1.具有良好的政治素养和职业道德,爱岗敬业;
2.有强烈的事业心和责任感,愿意长期扎根基层为农村卫生事业发展做出贡献;
3.身体健康,能正常履行岗位职责。
同时,还应满足下列条件之一:
(1)具有执业医师资格,执业范围注册为临床类别全科医学专业或中医类别全科医学专业的临床医师;
(2)具有执业医师资格,经过省级卫生健康行政部门(含中医药管理部门,下同)认可的全科专业住院医师规范化培养、全科医生转岗培训或岗位培训并考核合格的临床医师;
(3)具有二级以上医院工作经历和执业医师资格2年以上从事临床诊疗工作,能够胜任全科医生岗位的临床医师;
(4)经过助理全科医生培训合格的全科执业助理医师。
有下列情形之一不予以招聘:
本省行政区划范围内乡镇卫生院在编在岗的执业医师不列入招聘范围;由县级医疗卫生机构派驻到乡镇卫生院工作的在职全科医生,不列入中央财政和我省财政支持的特岗全科医生范畴;尚未解除*党**纪、政纪处分或正在接受纪律审查的人员,以及刑事处罚期限未满或涉嫌违法犯罪正在接受司法调查尚未做出结论的人员,不得报名应聘;法律、法规规定不得招聘为事业单位工作人员的其他情形人员不得应聘。
如经招聘全科医生特设岗位不足6名,剩余全科医生特设岗位可结合县乡一体化改革和医共体建设,由县级医疗卫生机构选派特岗医生到乡镇卫生院工作,实行岗位常设,人员定期轮换。
四、招聘程序
(一)报名与资格审查
1.报名时间、方式
报名时间:2019年11月29日—2019年12月6日。
采取网上报名和现场报名两种方式。
网上报名:需将以下材料以压缩包形式(全科医生+姓名)发送至邮箱[email protected]。
(1)《广平县全科医生特设岗位招聘报名表》(见附件2)。
(2)本人身份证、毕业证书、医师资格证书、执业医师证、工作经验证明原件PDF格式扫描件。
现场报名:地点:广平县卫生健康局人事科,联系人:李玉英 尹敏,报名电话:0310-4532986
2.资格审查
资格审查贯串全过程,报名人员应如实提交有关信息和材料,凡本人填写信息不真实、不完整或填写错误的,责任自负;弄虚作假的,一经发现即取消考试资格。
(二)考试考核
县卫健局会同县人社局负责考试考核等工作。根据实际报名情况确定考试考核方式,考试考核可不受招聘岗位与报考人数比例的限制,考试考核内容主要是专业理论知识、临床实践能力和综合素质。考试具体时间另行通知。
(三)体检
根据招聘计划和考生成绩,按1:1的比例确定体检考生名单。比例内末位考生成绩如出现并列,按经全科医生培养合格者优先,如均无全科医生培养经历按临床工作经历较长者优先。
体检标准参照公务员体检标准执行。体检不合格考生或主动放弃体检的考生,取消其招聘资格,按招聘岗位总成绩从高分到低分依次递补,并对递补考生进行体检。体检合格的考生确定为考核对象。
(四)政治审查
体检结束后,要对体检合格的考生进行政审。政审由县卫健局会同有关部门进行,查阅报考人员档案和相关资格证件及工作证明原件,同时考察拟聘人员的政治思想表现、道德品质、业务能力、工作实绩等情况。按要求听取有关方面意见,与本人进行面谈,准确把握被考察对象的情况,全面、客观、公正地予以评价。
(五)公示
根据考试综合成绩,确定拟聘人选,对拟聘人员名单进行公示,公示期为7个工作日。公示期满,对符合聘用条件者办理聘用手续。
五、聘用、待遇
经公示无异议的拟聘用人员依法依规与所在县级公立医疗机构签订劳动合同,合同期限4年,由县级卫健行政部门统筹安排到辖区内的乡镇卫生院从事全科医生工作,并由县级公立医疗机构办理工资、社保等相关手续。全科医生特设岗位所需资金由中央和省财政共同承担,按年人均8万元补助(中央财政按实际招聘人数年人均5万元拨付,省财政按实际招聘人数年人均3万元予以配套),主要用于特岗全科医生符合国家和省规定的工资性支出。特岗全科医生按照国家有关规定参加社会保险并建立补充养老、医疗保险,享用相应的社会保障待遇。特岗全科医生4年期满且年度考核均在合格及以上的,由所在县级卫生健康行政部门按有关规定会同县编办、人社行政部门办理相关入编手续。
六、其他要求
凡考生未在规定时间内按要求参加考试考核、体检、政审、办理聘用手续等情况的,均视为自动放弃招聘资格。
咨询电话:0310-4532986
详情登录
http://www.gpx.gov.cn/front/xxgk/293/c739bb27e46345f68e3b06bc3ca13730.html
唐山市农业科学研究院2019年公开选聘工作人员公告
根据《事业单位人事管理条例》(国务院第652号令)、《河北省事业单位公开招聘工作人员暂行办法》(冀人社发〔2011〕9号)文件精神,结合我单位2019年公开招聘工作人员实际情况和岗位空缺情况及工作需要,拟采取选聘方式招聘在编工作人员5名,制定选聘方案如下:
一、招聘单位基本情况
唐山市农科院为唐山市农业农村局(市扶贫开发办公室)所属公益一类事业单位,人员编制116名,机构规格相当于正县级,经费形式为财政性资金基本保证。
主要职责:农牧渔新品种选育及配套种养殖技术研究,农牧渔优新品种及其相关种养殖技术引进、试验示范,农业技术咨询指导和服务等工作。
二、招聘原则
坚持德才兼备,民主、公开、竞争、择优,实行公开招聘,在测评、考核的基础上择优聘用。
三、选聘范围及方法
1、选聘范围:全日制农业院校农产品加工与贮藏工程(年龄40周岁以下,即1979年10月31日以后出生)、作物遗传育种、设施农业、水产养殖(渔业、海洋生物学)、园艺学(园艺、观赏园艺)专业毕业的硕士以上研究生。以上四个专业岗位年龄要求均为35周岁以下,即1984年10月31日以后出生。
2、选聘方法。选聘工作采取到我单位通过面试方式确定应聘人选。按照制定选聘方案、发布招聘信息、报名及资格审查、招聘测评、体检、考核、公示、聘用等步骤进行。
四、招聘条件、岗位、人数
(一)应聘人员应具备以下基本条件。
1.具有中华人民共和国国籍;
2.遵守宪法和法律;
3.具有良好的品行和职业道德;
4.具有与招聘岗位要求相适应的学历学位、专业、年龄和技能条件;
5.适应岗位要求的身体条件;
6.具备岗位所需要的其他条件。
(二)选聘人数和岗位条件。
2019年唐山市农业科学研究院拟选聘专业技术岗位人员5名。岗位条件详见《唐山市农业科学研究院2019年公开招聘工作人员岗位条件表》 (附件1)。
五、选聘程序
1、发布信息。在“唐山事业单位招聘网”(www.tssydwzpw.com)发布招聘公告和岗位信息表,包括招聘单位、招聘数额、岗位条件、单位信息、传真号码、联系人、联系电话等相关信息。
2、报名(11月29日-12月5日)。应聘者可以通过网络递交个人简历(包含出生日期、学历、学位、毕业时间、所学专业等)、荣誉证书及其他能证明符合岗位应聘条件的材料,并填写报名表(附件2);应聘者也可以直接到唐山市农科院人事处递交应聘材料。(报名邮箱:[email protected],通过网络报名的应聘人员务必电话通知应聘单位人事部门)
3、资格条件审查(12月10日)。面试人员需携带本人二代身份证、毕业证、学位证及与选聘工作相关的其他证件到我单位人事部门进行现场资格审查,通过资格审查的人选进入下一环节。
4、面试及相关要求。面试采取专业知识测试考核的形式进行,实行百分制,当场打分,考核成绩采用“体操打分”方法,去掉一个最高分和一个最低分,其他分数的平均分为面试考核成绩。计算应聘人员成绩时,保留小数点后两位。合格分数线为60分。
(1)面试相关信息在面试前三天由我院人事部门告知考生,主要包括“面试时间、地点、注意事项、须携带的证件及其他应知信息”。
(2)面试试题根据不同岗位特点合理确定测评要素及其权重。试题由我院策划相关专家统一时间、指定地点进行封闭式命题,命题人员及相关工作人员与招聘工作领导小组要严格遵守保密制度。
(3)面试评委为7人,由4名外聘专家和3名本单位专家组成,主评委由招聘工作领导小组确定。考生的面试序号采取抽签的办法确定。
(4)面试采取在我单位指定地点进行面试,按成绩从高到低确定人选,并按照1:1的比例将进入体检环节人员名单报人社局备案。
5、体检。体检由招聘单位策划实施。体检项目和标准参照现行的《公务员录用体检通用标准》执行,体检费用自理,具体地点另行通知。
6、考核。考核由招聘单位策划实施。①按照《公告》和《岗位信息表》中年龄、学历、专业、工作经历、户籍及其他岗位条件的要求,审查被考核人资格条件,验证核实有关证书、证明、报到证等材料;②查阅档案、到拟聘用人员所在村(居)委会及其户口所在地派出所或因升学等其他原因迁出地的村(居)委会及其户口原所在地派出所了解情况,与拟聘用人员面谈,并由村(居)委会及派出所分别出具关于拟聘用人员政历及现实表现的文字证明(加盖公章)。③考核不合格人选,取消拟聘人选资格。
考察拟聘用人员的政治思想表现、道德品质、业务能力、工作实绩等情况;做出“合格”或“不合格”结论。考核不合格的取消应聘资格。
7、公示。对考核合格的拟聘用人员在用人单位网站进行公示,公示期为7个工作日。对公示折射有严重问题并查有实据,不符合聘用条件的取消其拟聘人选资格;对折射有严重问题但一时难以查实的,暂缓聘用,待查实并做出结论后决定是否聘用。
因体检或考核不合格、公示结果影响聘用、公示期间放弃,导致拟聘岗位出现空缺的,在本岗位内按总成绩由高到低依次递补。
8、聘用。填写《河北省事业单位公开招聘工作人员审批表》一式三份,连同招聘情况报告、拟聘人员名册报市人力资源和社会保障局办理相关审批手续。被聘用人员按相关政策规定实行试用期,试用期一并计算在聘用合同期限内。试用期满考核合格的,予以正式聘用,不合格的,取消聘用。
六、策划机构
为加强对本次招聘工作的领导,确保招聘工作规范有序进行,唐山市农科院成立选聘工作领导小组,负责选聘工作的策划和管理,并对招聘工作的公开、公平、公正、安全及保密负总责。领导小组下设办公室,负责选聘工作具体策划实施工作。
七、其他事项
本方案由农科院人事处负责解释。
联系人:张文杰
联系电话:2878060;手机:13931514149
传真: 2876009;电子邮箱: [email protected]
详情登录
http://www.tssydwzpw.com/web/wenjian/20191129103120.html
2019年饶阳县人民医院、中医医院公开招聘专业技术人员的公告
为切实保证我县卫生事业持续稳步发展,进一步提高医疗服务质量,缓解人才断档和人员短缺现象,根据两家医院的实际情况,经县政府同意,计划招聘专业技术人员补充到相关岗位。
一、招聘原则
坚持“公开、公正、平等、择优”的原则。
二、招聘职位及招聘条件
(一)招聘职位
1、县医院30人。
其中临床医学20人、护理学10人。
2、中医院15人。
其中临床医学5人、护理学4人、医学影像2人、医学检验3人、会计1人。
(二)招聘条件
1、拥护中国*产党共**的领导,热爱社会主义,热爱卫生事业;遵守国家法律、法规,享有公民的政治权利;具有良好的职业道德,身体健康,遵纪守法,品行端正,愿意履行医务人员的义务,遵守工作纪律。
2、年龄35周岁以下(1984年11月28日以后出生);饶阳县户籍,其中报考临床岗位的不限制户籍。
3、学历及专业要求:
(1)临床医学:国家承认学历的本科及以上学历临床医学、中医、中西医结合专业毕业生。
(2)医学影像:国家承认学历的本科及以上学历医学影像相关专业毕业生。
(3)医学检验:国家承认学历的本科及以上学历医学检验相关专业毕业生。
(4)护理学:国家承认学历的大专及以上学历护理相关专业毕业生。
(5)会计:国家承认学历的大专及以上学历财会专业毕业生。
备注:后取成人学历报名人员报考本专业岗位时,须具备报考专业的全日制中专或大专学历。
4、同等条件下建档立卡贫困人员及其子*优女**先录用;服务期满的大学生村医、三支一扶、订单定向免费医学生等服务基层项目的大学生优先录用。
5、有下列情形之一的,不得报考:
(1)在校大学生、公务员、事业单位工作人员及饶阳县劳务派遣人员,不得报考。
(2)曾因犯罪受过刑事处罚的、被开除公职的、受到过*党**政纪处分的及其他不符合招聘条件的人员,不得报考。
三、招聘办法及程序
(一)报名:人社局负责实施,卫健局配合。符合条件者直接到县报名点报名。
1、时间:2019年12月3日-- 12月5日。
2、地点:饶阳县人社局六楼人力资源市场。
3、报名时需提交证件:
考生需自行打印空白报名表(*载下**报名表邮箱[email protected]密码7237052)并用黑色碳素笔填写,携带填写完整的报名表到报名处报名。
报名时需带身份证、户口本、毕业证、报到证(针对全日制学历)、学历认证报告(针对后取成人学历,请自行登录学信网打印)原件,近期同版小二寸免冠照片5张。
注意:全日制学历及后取成人学历相关证件需一并带来。
应聘人员只能选择一个职位报名,不得兼报。
报名时进行资格审查,由县人社、卫健部门联合进行资格审查,审查人签字,报名结束后公布报名结果。
(二)考试
考试以笔试方式进行。由招聘领导小组办公室聘请第三方策划实施出题、制卷、监场、阅卷。
1、笔试时间、地点:见人社局微信公众号“饶阳人社信息平台”及卫健局微信公众号“饶阳卫计”。
2、笔试内容:医学基础知识及相关专业知识,总分100分。
3、成绩公布:成绩核对无误后,在人社局微信公众号“饶阳人社信息平台”及卫健局微信公众号“饶阳卫计”公布。
(三)体检:卫健局负责实施。
1、确定初选名单
以考试成绩由高到低的顺序,按招聘名额1:1的比例,按招聘职位确定初选名单,不交叉录用,同等分数者一并进入体检名单,因各种原因放弃录取资格致使计划空缺的,按考试成绩由高分到低分依次递补。
2、凡进入初选的人员须到指定医院参加体检,体检时间、地点见人社局微信公众号“饶阳人社信息平台”及卫健局微信公众号“饶阳卫计”。
3、体检标准按照《执业医师法》《护士条例》和《公务员录用体检通用标准(试行)》执行。
(四)政审:卫健局负责实施。
1、拥护中国*产党共**的领导,热爱社会主义,热爱卫生事业。
2、遵守国家法律、法规,享有公民的政治权利。
3、具有良好的职业道德,身体健康,遵纪守法,品行端正,愿意履行医务人员的义务,遵守工作纪律。
(五)公示:人社局负责实施。
经考试、体检按招考计划1:1确定人选后(末位考试成绩并列的全部进入),在人社局微信公众号“饶阳人社信息平台”及卫健局微信公众号“饶阳卫计”对拟聘人员公示7天。公示期间及其以后若发现弄虚作假者,并经调查属实的,自报名之日起至聘用后的任何时间,均可取消其聘用资格,且三年内不得参加本地公开招聘考试,并追究相关人员责任。公示期满后,若无问题,按规定程序办理聘用手续。
(六)聘用管理及人员待遇
招聘人员采用政府购买劳务形式落实相关待遇,不占事业编制。
试用期三个月,试用期内工资待遇不低于当地最低工资标准,试用期满,工资福利、社保、晋职晋级等相关待遇参照同行业政府购买劳务人员标准。
聘期三年,聘期满后,有执业要求的岗位,必须取得法定执业资格,方可续聘,未取得法定执业资格的,不再续签聘用合同。
四、特别提示
(一)本次考试不指定考试辅导用书, 不举办也不委托任何机构或个人举办考试辅导培训班。
(二)资格审核贯串招聘工作全过程,任何环节,发现考生填报不实、提供虚假材料等情况,即取消资格,并记入不良记录名单,问题严重的要追究责任。
(三)考生应及时关注招聘信息发布,由于了解信息不及时导致的一切后果由考生自负。
(四)本公告及未尽事宜由县卫健局负责解释。
咨询电话:6157661、7237052
详情登录
https://mp.weixin.qq.com/s/A3LVsGaQL4uF3Fw4BD1hGA
饶阳县关于2019年公开招聘辅警的公告
为保证我县警务站运转正常,确实发挥作用,经县政府同意,计划公开招聘30名辅警补充到相关岗位。
一、招聘原则
坚持“公开、公正、平等、择优”的原则,面向社会公开招聘。
二、招聘条件
1、政治条件:坚决拥护中国*产党共**的领导。
2、身体条件:身体健康,无传染病史,身高170CM以上。
3、学历条件:具有全日制大专及以上学历应往届毕业生,优秀退伍兵可放宽到高中学历。
4、其他条件:年龄20周岁以上、30周岁以下(1989年11月26日至1999年11月25日出生);饶阳户籍;男性;自愿从事公安辅警工作,具有忠诚、奉献、吃苦耐劳的精神,服从策划安排。
5、同等条件下建档立卡贫困人员及其子*优女**先录用。
有下列情形之一不得报考:
1、现役军人、在校大学生、公务员和事业单位工作人员、饶阳县劳务派遣人员,不得报考。
2、曾因犯罪受过刑事处罚的、被开除公职的、受到过*党**政纪处分的及其他不符合招聘条件的人员,不得报考。
三、招聘办法及程序
(一)报名:符合条件者直接到报名点报名。
1、时间:2019年12月3日--12月5日。
2、地点:饶阳县人社局六楼人力资源市场。
3、报名时需提交证件:
考生需自行打印空白报名表(*载下**报名表邮箱[email protected]密码7237052)并用黑色碳素笔填写,携带填写完整的报名表到报名处报名。报名时需带以下原件(1)身份证或社会保障卡;(2)毕业证(本科及以上学历还需提交学位证);(3)报到证;(4)退出现役士兵证;(5)近期同版小二寸免冠照片5张。
报名时进行资格审查,由县人社、公安部门联合进行资格审查,审查人签字,报名结束后公布报名结果。
(二)考试
考试采用笔试和体能测试方式进行。笔试成绩占总成绩的60%,体能测试成绩占总成绩的40%。
1、笔试考试工作由招聘领导小组办公室聘请第三方策划实施出题、制卷、监场、阅卷。
(1)笔试时间、地点:见人社局微信公众号“饶阳人社信息平台”、公安局公众号“饶阳公安”。
(2)笔试内容:公安基础知识、公共基础知识各占50分,总分100分。
(3)根据笔试分数,按笔试成绩从高到低与招聘名额3:1的比例确定进入体能测试人选,比例内末位笔试成绩并列的一并进入体能测试人选。
2、体能测试。
(1)体能测试时间、地点、内容见人社局微信公众号“饶阳人社信息平台”、公安局微信公众号“饶阳公安”。
(2)体能测试成绩的确定
体能测试根据《公安机关人民警察体育锻炼达标标准测验规则》进行。分别考试100米跑、1500米跑、引体向上、立定跳远四项,满分为100分。
(3)外地评委组成考评委员会,考生最终得分为四项的平均分,现场公布考生成绩。
3、成绩公布。
(1)考生笔试成绩核对无误后,在人社局微信公众号“饶阳人社信息平台”、公安局微信公众号“饶阳公安”公示,同时公示进入体能测试人员名单。
(2)考生总成绩=笔试成绩*60%+体能测试成绩*40%。考试总成绩核对无误后,在人社局微信公众号“饶阳人社信息平台”、公安局微信公众号“饶阳公安”公示。
(三)体检
1、确定初选名单
以考试总成绩由高到低的顺序,按招聘名额1:1的比例,确定初选名单,因各种原因放弃录取资格致使计划空缺的,按考试总成绩由高分到低分依次递补。
2、凡进入初选的人员须到指定医院参加体检,体检时间、地点见人社局微信公众号“饶阳人社信息平台”、公安局微信公众号“饶阳公安”。
3、体检标准参照《公务员录用体检通用标准(试行)》执行。
(四)政审:由公安局根据《公安机关录用人民警察考核和政审工作暂行规定》进行。
(五)公示
经考试、体能测试、体检、政审按招聘计划1:1确定人选后(末位考试成绩并列的全部进入),在人社局微信公众号“饶阳人社信息平台”、公安局微信公众号“饶阳公安”对拟聘人员进行公示。公示期间及其以后若发现弄虚作假者,并经调查属实的,自报名之日起至聘用后的任何时间,均可取消其聘用资格,且三年内不得参加本地公开招聘考试,并追究相关人员责任。公示期满后,若无问题,按规定程序办理聘用手续。
(六)聘用管理及人员待遇
1、被招聘录用人员签订三年合同, 试用期两个月,合同明确双方权利义务。期间发现招聘录用人员不符合聘用条件或不能胜任本职工作的,用人单位可提出辞退意见。聘期满后,年度考核均为合格以上档次的方可续聘。
工资福利待遇为饶阳县最低工资标准的1.5倍,缴纳养老保险、医疗保险、工伤保险、意外保险等各项保险,所需费用列入财政预算。
2、凡考生未在规定时间内按要求参加证件审核、考试、体检、政审、签订合同、报到等情况的,均视为自动放弃录用资格。
四、特别提示
(一)本次考试不指定考试辅导用书, 不举办也不委托任何机构或个人举办考试辅导培训班。
(二)资格审核贯串招聘工作全过程,任何环节,发现考生填报不实、提供虚假材料等情况,即取消资格,并记入不良记录名单,问题严重的要追究责任。
(三)考生应及时关注招聘信息发布,由于了解信息不及时导致的一切后果由考生自负。
(四)本公告及未尽事宜由县公安局负责解释。
详情登录
https://mp.weixin.qq.com/s/YSAMXgE6PBjzKRrXSC1hRQ
秦皇岛北戴河新区2019年卫生系统人员招聘公告
为进一步提高秦皇岛北戴河新区卫生队伍整体素质,促进全区医疗机构均衡发展,经秦皇岛北戴河新区工管委研究决定,面向社会公开招聘卫生专业技术人员15名,现将有关事项公告如下:
一、招聘指标、方式和条件
(一)招聘指标
(二)招聘方式
本次招聘全部面向社会采取公开招聘的方式进行。凡符合招聘条件的人员均可参加应聘。
(三)招聘基本条件
1.具有中华人民共和国国籍;
2.遵守宪法和法律;
3.具有良好的品行和职业道德;
4.年龄在35周岁以下(1984年11月29日及以后出生),具有医学类中级以上职称的,年龄可放宽至40岁。
5.招聘岗位所需专业的学历要求:
(1)临床医学要求。要求初始学历为普通全日制大学专科及以上学历,专业对口,且已取得执业助理医师及以上资格;
(2)护理岗位要求。要求初始学历为普通全日制大学专科及以上学历,专业对口,且已取得护士资格证书;
(3)医学影像(放射)岗位要求。要求初始学历为普通全日制大学专科及以上学历,专业对口,且已取得执业助理医师或相应资格;
(4)医学检验岗位要求。要求初始学历为普通全日制大学专科及以上学历,专业对口,且已取得检验士及以上资格;
6.服务于北戴河新区且所学专业对口,符合相关学历要求的大学生村官和“三支一扶”人员,可以报考相应岗位。
7.适应岗位要求的身体条件。
二、报名
(一)发布公告
2019年11月29日—2019年12月10日在在中国北戴河新区(www.bdhxq.gov.cn)、秦皇岛市人社局、秦皇岛市卫健委网站及公众号面向社会发布。
(二)报名
报名时限为11天,从2019年11月30日—12月10日,(上午8:30至12:00,下午2:00点至5:30)。报名地点:秦皇岛北戴河新区卫健局三楼办公室(南戴河胜利路16号),联系电话:3595530。报名时须由本人到指定的报名地点、按招聘岗位报名,每人限报考一个岗位。报名时需提交以下材料:
1.报名表一式一份(从中国北戴河新区网站(www.bdhxq.gov.cn)《通知公告》栏目*载下**打印,如实填写);
2.本人身份证、毕业证、户口本、报考岗位所要求的资格证书原件及复印件(自备)各一份)(报考考生2019年已取得资格但资格证未下发的,可在报名时进行网上认证);
3.本人近期一寸正面免冠同版彩色蓝底照片5张。
(三)报名资格复审
资格审查贯串全过程,报名人员应如实提交有关信息和材料,凡本人填写信息不真实、不完整或填写错误的,责任自负;笔试入围者进行资格复审,弄虚作假的,一经发现即取消考试资格,复审时间、地点另行通知。
(四)发放准考证
2019年12月12日—12月13日(2天),上午8:30—11:30,下午1:30—5:30。报名考生携带本人身份证到报名地点领取准考证,过期不领者视为自动放弃报考。
三、考试、体检、考核和聘用
(一)考试
考试由秦皇岛北戴河新区人力资源和社会保障局统一策划,北戴河新区纪检监察人员负责全程监督。本次招聘的考试分笔试和实践技能两部分,每部分满分成绩均为100分。考试总成绩=笔试成绩×60%+实践技能测试×40%
1.笔试
笔试时间设在2019年12月14日,具体时间、地点见准考证信息。笔试采用闭卷方式进行,重点考察应试人员《公共基础知识》及专业知识。
2.实践技能测试
主要考察应试人员实践技能和综合素质,具体时间、地点在北戴河新区网站《通知公告》栏目另行通知。
3.成绩公布
完成实践技能测试后在中国北戴河新区网站《通知公告》栏目公布总成绩。公示期3天。
(二)体检
按照总成绩确定参加体检人选,体检参照公务员录用体检标准执行,具体时间以实际通知为准。
(三)政审
对拟录人员思想政治素质、遵纪守法情况、现实表现等进行考察。
(四)确定人选、公示
政审结束后在中国·北戴河新区网站《通知公告》栏公布拟聘用人员名单,公示期限为7天。
(五)递补
有下列情形之一的,根据岗位按考生总成绩由高分到低分顺序依次递补,总成绩相同时面试成绩高者优先:
1.考生体检或者考核不符合要求的;
2.拟聘人选公示的结果影响聘用的;
3.拟聘人选在规定的报到期限内放弃聘用的或无正当理由不到招聘单位报到的。
四、人员管理和有关待遇
(一)招聘人员实行聘用制管理,签订聘用合同。人事档案由北戴河新区人才交流服务中心办理人事代理。
(二)招聘人员按文件规定实行试用期制度,试用期为一年。试用期包括在聘用合同期限内。试用期满合格者,予以正式聘用;不合格者,解除聘用。
(三)所有聘用人员在所聘用卫生院至少工作5年。
(四)招聘人员工资福利待遇、住房公积金按照我区在编在岗卫生专业技术人员标准执行,社会保险按有关规定办理,所需经费由新区财政负担。
五、有关要求
(一)招聘工作全程公开,接受社会各界和广大群众的监督。
(二)报考人员只能报考一个岗位,不得重复报名。
(三)对报考人员所持证件、资料严格审查,假冒、伪造各种证件者,一经查实取消报考资格,考入后取消聘用资格。
(四)凡在规定时间内未领取《准考证》,未按时参加笔试、面试、体检和考核的报考人员,视为自动放弃。
(五)未尽事宜由秦皇岛北戴河新区人力资源和社会保障局负责解释。详情请登录中国北戴河新区网站(www.bdhxq.gov.cn)《通知公告》栏目查阅。
详情登录
http://www.bdhxq.gov.cn/index_mnewlook_c4_t31_i19348.html
南和县卫生健康局关于2019年公开招聘大学生村医的公告
为全面提升我县村级医疗卫生服务能力,根据河北省卫生健康委员会、河北省财政厅《关于推进大学生村医项目的实施意见》(冀卫〔2018〕42号)和邢台市卫生健康委员会关于印发《邢台市公开招聘大学生村医实施方案》(邢卫〔2019〕6号)精神,经研究决定拟面向全县公开招聘大学生村医23名。现将具体事宜公告如下:
一、招聘原则
坚持德才兼备,贯彻民主、公开、竞争、择优的原则,实行公开招聘,在考试、考察的基础上择优聘用。
二、招聘计划及岗位
本次招聘大学生村医23名,具体工作岗位详见《南和县卫生健康局2019年公开招聘大学生村医岗位表》。
三、招聘条件
(一)应聘大学生村医的应具备以下条件:
1、具有南和县户籍或配偶、父母一方具有南和县户籍的人员;
2、遵纪守法,品行端正,吃苦耐劳,志愿到农村基层工作;
3、取得普通全日制中专及以上学历的临床医学、中医学、中西医结合专业应往届毕业生,2019年应届毕业生可不限执业资格;
4、取得临床医学、中医学、中西医结合专业中专及以上学历的*队军**退役卫生士官;
5、年龄在45周岁以下(1974年8月1日以后出生);
6、取得执业(助理)医师资格证或乡村全科助理医师资格证;
7、具备正常履行岗位职责的身体条件。
(二)不在招聘范围人员
1、现役军人;
2、全日制普通类大中专院校在读学生。
(三)不得应聘人员
1、曾因犯罪受过刑事处罚的人员;
2、曾被开除公职的人员;
3、法律、法规规定不得招聘的其他情形人员。曾因犯罪受过刑事处罚的、曾被招聘单位辞退、解聘、开除的以及法律、法规规定不得招聘为事业单位工作人员的其他情形人员。
(四)公开招聘工作实行回避制度
报考人员不得报考聘用后即构成回避关系的招聘岗位,回避关系是指《邢台市事业单位公开招聘工作人员实施办法》第四十条关于“凡与聘用单位负责人员有夫妻关系、直系血亲关系、三代以内旁系血亲或者近姻亲关系的应聘人员,不得应聘该单位人员的秘书或者人事、财务、纪律检查岗位,以及有直接上下级领导关系的岗位。”聘用单位负责人员和招聘工作人员在办理人员聘用事项时,涉及与本人有上述亲属关系或者其他可能影响招聘公正的,也应当回避并及时上报南和县卫生健康局。
四、招聘程序
(一)发布公告
2019年11月28日在南和县政府网(https://www.nhxzf.gov.cn)上发布公告。
(二)策划报名
1、报名时间:2019年12月3日—12月4日(共2天),上午 9:00-12:00,下午2:30-5:30。
2、报名地点:南和县卫生健康局人事股。
联系电话:0319-4569821。地址:南和县行政服务中心北楼223室。
3、报名要求:在南和县政府网(http://www.nhxzf.gov.cn)*载下**《南和县卫生健康局2019年公开招聘大学生村医报名登记表》,填表后携带本人有效二代身份证、户口簿、毕业证、教育部学历认证电子注册备案表、国家执业(助理)医师资格证或乡村全科助理医师资格证原件和复印件(各1份)和近期小2寸免冠同底正面照片5张现场报名。
(三)资格审查
由南和县卫生健康局依据招聘条件进行资格审查,报考人员要保持24小时电话畅通,凡考生未在规定时间内按要求参加笔试、面试、体检、考察、报到等情况的,均视为自动放弃应聘资格;资格审查贯串招聘工作全过程,在任何环节发现考生不符合招聘条件或弄虚作假的,一经查实取消考试资格或聘用资格。
(四)开考比例
同一岗位报名人数与招聘人数的比例不低于3:1,报名人数达不到开考比例的,经公开招聘领导小组研究同意后,适当降低招聘与报考人数比例。
(五)准考证发放
领取准考证时间由县卫生健康局另行通知,地点:南和县卫生健康局人事股(223室)。领取准考证时带本人二代身份证。
(六)笔试
1、笔试时间:具体时间、地点和有关要求详见笔试准考证。
2、笔试内容:公共基础知识和医学综合知识,不指定考试辅导用书,考试时间为120分钟,满分为100分。
3、笔试成绩:笔试成绩设立合格分数线,合格分数线与笔试成绩一并在南和县政府网(http://www.nhxzf.gov.cn)公布。笔试成绩按60%记入考试总成绩。考生笔试有作弊、缺考或成绩为0分等情况的,不得进入面试。
(七)面试
1、面试人选确定。依据笔试总成绩从高到低按照招聘岗位1:1.5的比例确定进入面试人选,比例内末位笔试总成绩并列的一并进入面试。笔试总成绩和进入面试人选在南和县政府网(http://www.nhxzf.gov.cn)上发布。
2、面试时间。具体时间和地点在公布笔试成绩时另行通知。
3、面试方法。采取结构化方式进行,主要测试应聘人员的综合分析、反应应变、语言表达、举止仪表和解决问题的能力等。面试总分为100分,合格分数线为60分,由评委当场打分,面试成绩采用“体操打分”方法,去掉一个最高分和一个最低分,其他成绩的平均分即为考生的面试成绩,按40%计入总成绩。面试结束后即公布面试成绩,达不到合格分数线不得进入下一环节。
(八)总成绩合成
面试结束后,按笔试成绩、面试成绩两部分计算考试总成绩,总成绩满分100分。
总成绩计算公式:考生总成绩(四舍五入保留2位小数)=笔试总成绩×60%+面试成绩×40%。
(九)体检
根据考生总成绩,按照招聘岗位计划数1:1的比例从高分到低分确定参加体检人选,如考试总成绩相同,按以下顺序确定参加体检人选:笔试成绩较高者,学历(学位)较高者,烈士子女或配偶,具有基层工作经历或基层工作经历较长者。体检参照公务员录用体检标准执行,体检费用由个人承担。体检不合格的取消拟聘人选资格,并从报考同一岗位的考生中,按照考生总成绩由高分到低分依次递补,只递补一次。
(十)考察
体检合格的,对其进行政治思想表现、道德品质、业务能力、工作实绩等情况考察,并对其资格条件进行复查。考核不合格的,取消拟聘人选资格。
(十一)公示
经体检、考察合格的,确定为拟聘用人选,在南和县政府网进行公示,公示期为7天。
(十二)聘用
1、对公示期满无异议的,或有反应问题但经核实不影响聘用的,与用人单位(乡镇卫生院)签订为期3年的聘用合同,办理聘用手续。对不服从县卫健局统一安排的取消聘用资格。对不签订合同的,视为自动放弃录取资格。
2、按照相关政策规定,试用期为12个月。试用期一并计算在聘用合同期限内。试用期满考核不合格的,取消聘用。
3、用人单位负责日常管理和考核,日常表现和考核结果存入个人档案。考核不合格或在工作中违反工作纪律,由用人单位视情节轻重出具处理意见,随时解除聘用合同。合同期满,根据工作需要再签订合同。
五、工资待遇
大学生村医收入主要包括:医疗收入、一般诊疗费收入、村卫生室药品零差率销售补助和基本公共卫生服务补助等。按企业职工缴纳社会保险。
六、策划管理
大学生村医实行“乡村一体化”管理,岗前培训、工作职责和策划管理按照省《实施意见》要求进行。大学生村医必须在指定的村卫生室从事公共卫生、基本医疗服务、健康扶贫政策宣传,以及上级卫生健康行政部门交办的其它工作。
详情登录
http://www.nhxzf.gov.cn/web/show?id=3202
东光县关于2019年公开招聘公安辅警的公告
为解决公安警力不足问题,切实加强公安队伍建设,经县委、县政府同意,计划面向社会公开招聘一定数量的公安辅警,现公告如下:
一、招聘原则和方式
本次公开招聘公安辅警,按照“公开、公平、公正、竞争、择优”原则进行,招聘采取统一招聘方式。
二、招聘数量
此次共招聘公安辅警60名,其中男辅警50名(交警外勤40名、公安局10名),女辅警10名(交警)。招聘人数与报考人数比例不低于1:2比例,达不到这一比例相应减少招聘人数。具体招聘人数和岗位条件详见《东光县2019年公开招聘公安辅警岗位条件表》(附件),报考人员通过东光县事业单位公开招聘报名入口(网址:http://221.195.39.52:800)查询报考信息。
三、招聘对象、范围和条件
(一)招聘对象、范围
1、男辅警具有高中及以上学历或退伍军人,年龄18——28周岁(1991年12月1日至2001年11月30日之间出生)
2、女辅警具有普通全日制大专及以上学历,不限专业,能熟练操作计算机,年龄20—28周岁(1991年12月1日至1999年11月30日出生)
(二)招聘条件
1、具有河北省户籍;
2、拥护中国*产党共**的领导,遵守国家法律、法规,自愿从事公安工作,无违法犯罪记录;
3、身心健康,具有良好的品行和职业道德。男考生身高1.70米以上,女考生身高1.60米以上。单侧矫正视力不低于5.0。无残疾、无色盲,无传染类、精神类或遗传性疾病,无纹身瘢痕,无吸毒史,无不良嗜好。
4、公安机关规定的其他条件。
凡涉及年龄、户籍等需要确定时间的,计算日期截止到2019年12月1日。
四、报名与资格审查
本次考试实行网上报名,报名者严格实行自律机制,即对网上提交的学历、毕业院校、户籍、工作经历等信息的真实性负责,须与原始有效证件和材料相一致,凡弄虚作假的,一经查实,即取消应聘资格。
招聘采取网上报名、笔试、体能测试、面试、资格复审、政审、体检、公示等方式。
(一)网上报名
1、报名时间:2019年12月2日上午9:00—2019年12月6日下午5:00
2、报名网址:http://221.195.39.52:800
3、网上缴费时间:截止到2019年12月6日下午5:30
(二)网上报名基本程序
1、考生开始报名前,须认真阅读《报名须知》并确认《诚信承诺书》,然后按步骤进行具体操作;
2、网上报名须用有效的二代居民身份证申请“报名号”,获取“报名号”和“初始密码”后才能登录报名系统,进行填表和提交审核,并上传电子照片(近期免冠证件照);
3、工作人员对网上报名人员信息及岗位匹配度进行初审,“审核未过”的可根据提示的未过原因,修改信息并重新提交审核;审核通过人员,可在规定时间内自助打印准考证。
4、考生务必牢记报名和交费截止时间、打印《笔试准考证》时间、考试时间等重要的时间信息;凡是在规定时间未完成相关操作的,将被视为自动放弃。同时,报名和考试期间务必保管好个人的证件和信息,因个人原因导致丢失的,责任自负。可在规定时间内自助打印准考证。
5、报名交费通过网上支付,报名费:100元。
(三)打印《笔试准考证》
考生完成网上报名后,于12月 16日上午9:00至 12月18日17:30登陆报名网站(http://221.195.39.52:800)打印笔试准考证。
(四)招聘方法
考试分为笔试、体能测试、面试的方法进行,体能测试分合格与不合格,不记入总成绩,不合格者不能进入面试环节。笔试、面试满分各100分,总成绩按笔试、面试各占50%比例计算总成绩。(计算考生成绩时,保留小数点后两位)。
1、笔试时间、地点及内容:详见笔试、体能测试准考证。笔试内容为:公共基础知识和相关业务知识,笔试满分为100分,占总成绩50%,采取闭卷考试。
笔试成绩按照从高分到低分1:3的比例确定进入体能测试和面试人选,比例内末位笔试总成绩并列的都进入体能测试环节。
2、体能测试时间及内容:详见笔试、体能测试准考证。
体能测试内容为:男考生4X10往返跑、摸高;女考生4X10往返跑、摸高。体能测试合格人员进入面试环节,体能测试出现不合格的,不再递补。未按规定参加体能测试的,按自动弃权处理。
3、 面试
(1)面试时间与地点:详见面试准考证。
(2)面试方式。采取结构化面试方式进行,面试实行百分制,当场打分,面试成绩采用“体操打分”方法,去掉一个最高分和一个最低分,其他分数的平均分为面试成绩。
总成绩合成及排名确定。面试结束后,按笔试成绩、面试成绩两部分计算考试总成绩,满分100分。其中,笔试成绩占50%、面试成绩占50%。(计算考生成绩时,保留小数点后两位。)招聘单位同一岗位末位出现总成绩并列超出招聘计划者,笔试成绩高者优先录取,如笔试成绩也并列的再进行笔试加试。在此后的资格复审、体检、考察、公示等环节发现问题需要递补时,出现总成绩并列的,也按此办法确定。
(五)资格复审、政审
考试结束后,根据招聘计划和考生总成绩从高到低的排名顺序,按1:1比例确定资格复审人员,总成绩并列的,笔试成绩高的优先。人社局负责资格复审材料的审核,公安局负责政审材料的审核。
资格复审需提交材料:本人身份证、户口薄、毕业证、学信网打印的《教育部学历证书电子注册备案表》、退伍证、等原件及复印件。
政审:考生到户籍所在地派出所进行政审,并提交《东光县2019年公安局公开招聘公安辅警政审表》
时间、地点:具体时间、地点在东光县事业单位公开招聘报名网址(http://221.195.39.52:800)查询。逾期未提交资料者,视为自动弃权,形成空缺依次递补。
资格复审、政审不合格的取消资格,形成空缺依次递补。
4、体检
对拟聘用人员在指定医院集中体检,体检按《公务员录用体检通用标准(试行)》(国人部发[2005]1号2010年修订)。体检不合格的取消资格,形成空缺依次递补。具体时间另行通知。
5、公示
对拟聘用人员进行公示,公示期七天。公示对象在公示期内因弄虚作假或营私舞弊被举报查实的,取消其拟聘用资格,形成空缺依次递
五、录用、管理及相关待遇
公安辅警实行劳动合同制,由县公安局与本人签订劳动合同。对符合招聘条件的考生,由县公安局根据工作岗位,先统一进行岗前培训。培训合格签订劳动合同,试用期2个月,试用期不合格的,取消其拟聘用资格,形成空缺依次递补。1、辅警工资标准:基本工资1580元、绩效工资300元、训练伙食补助585元、另加层级工资、辅警长工资,缴纳养老保险、医疗保险、意外伤害保险、工伤保险、失业保险和住房公积金,基本工资随河北省最低工资标准调整。服装费、训练费等按东光县公安局辅警标准执行。
六、招聘纪律
凡考生未在规定时间内按要求参加笔试、面试、体能测试、资格复审、政审、体检、报到等情况的,均视为自动放弃应聘资格。考生所持证件(或填报信息)应真实、有效,资格审核贯串招聘工作全过程,在任何环节,发现考生不符合招聘条件,弄虚作假的,取消应聘资格,问题严重的要追究责任。
详情登录
http://www.dongguang.gov.cn/bmgk/3535.html
三河市消防救援大队2019年政府专职*防队消**员招聘公告
为增强我市灭火救援力量,加强消防救援队伍建设,根据工作需要,现面向社会公开招聘政府专职*防队消**员60名。
一、招聘原则:坚持德才兼备的用人标准和“公平、公正、公开、竞争、择优”原则。
二、应聘条件
(一)共同条件
1、具有中华人民共和国国籍,拥护中华人民共和国宪法;
2、政治合格,遵纪守法,无违法犯罪记录,具有良好的品行,自愿履行政府专职消防员义务,服从策划分配;
3、身体健康,无精神疾病史,无纹身、无遗传、慢性或传染性疾病,符合消防员职业健康标准;
4、具有符合岗位要求的工作能力,并服从工作调剂。
(二)岗位条件
1. 战斗员岗位
(1)自愿从事灭火与应急救援工作;
(2)年龄在18至28周岁之间的男性,身高1.65米以上(具备特殊技能的人员年龄可适当放宽);
(3)具有国家承认的全日制高中(含中专)以上学历(截止招聘公告发布之日前取得毕业证),退伍军人、军警院校毕业生优先录取(学历可放宽至初中)。
2. 执勤车驾驶员岗位
(1)自愿从事消防驾驶工作;
(2)年龄在23至30周岁之间的男性,身高1.65米以上,持准驾B2类以上车型有效驾驶证,并安全驾驶2年以上的人员,退伍军人、军警院校毕业生优先录取。
(三)有下列情形之一的,不得报考:
1、受过刑事处罚、劳动教养的;
2、有犯罪嫌疑尚未查清的;
3、受过记过以上处分,受严重警告以下处分尚未解除的;
4、曾被辞退或开除公职的;
5、道德败坏,有不良行为受过公安机关处理的;
6、直系血亲、配偶和对本人有重大影响的旁系血亲被判处危害国家安全罪;
7、其他不适合在*防队消**从事工作的。
三、工作性质
消防战斗员和执勤车驾驶员担负灭火和抢险救援等执勤任务,实行24小时在岗准军事化管理。
四、岗位及待遇
1、政府专职*防队消**员薪酬由“基本工资+岗位津贴+高危补助+绩效工资+工龄工资+岗位等级工资+训练津贴+节假日加班工资”组成;
2、新入职战斗员岗位薪酬4700元/人/月—5700元/人/月,逐年递增;
3、新入职执勤车驾驶员岗位薪酬5300元/人/月—6500元/人/月,逐年递增;
4、按国家规定为政府专职*防队消**员缴纳四险一金(养老、医疗、工伤、失业和住房公积金)及意外伤害险;
5、政府专职*防队消**员入职试用期为三个月,工资由基本工资+绩效组成(3500元/人/月)。
五、招聘程序
(一)报名程序
1、报名时间及方式:2019年12月2日至12月10日,每日上午8:30—12:00;下午 2:30—6:00,携带相关资料到三河市消防救援大队(三河市西环路138号)进行现场报名。
2、报名要求:报名者需提交国家承认的学历证书、户口本、身份证、相关岗位要求的材料(或相关证明)等材料的原件和复印件各一份,近期一寸免冠蓝底照片4张。
注:(1)户口本须将户主首页及本人页复印在一张纸上;
(2)身份证须将正、反面复印在一张纸上。
3、报名后,体能测试和面试时间、成绩等相关信息将通过电话或短信通知,报名者应实时关注。
(二)资格审查:报名结束后将对所有报名人员进行资格审查,资格审查不合格者取消考试资格,资格审查贯串于考试聘用全过程。
(三)考试:
1、战斗员岗位考试分为体能测试和面试,总成绩按满分100分计算,其中体能测试成绩占总成绩的80%,面试成绩占总成绩的20%;
2、驾驶员岗位考试分为体能测试、驾驶技术测试、面试,总成绩按满分100分计算,体能测试成绩占总成绩的50%,驾驶技术测试成绩占总成绩的30%,面试成绩占总成绩的20%;
3、测试科目:
(1)体能测试:按照报考岗位类别对考试人员进行分组测试,体能测试科目:100米、单杠引体向上、双杠曲臂伸、3000米、仰卧起坐、俯卧撑;
(2)驾驶技术测试:借用地方专业驾校资源,测试驾驶技术;
(3)面试:以招聘岗位1:2的比例确定面试人选(入围排名末位出现同分数者,一并进入面试),达不到比例的,按实有考生确定。
(四)体检
1、进入体检环节的应聘者,自行到县级以上医院体检(体检费用自理);
2、对体检不合格者或自愿放弃者,按综合成绩排序,依次等额递补;体检结果不符合规定的,将取消聘用资格。
(五)政审
体检结束后,将对合格人员进行政审考察。对因政审不合格导致的空缺,按相*招应**聘岗位的考试综合成绩排名顺序,依次等额递补。
(六)聘用
1、通知:考试、体检和政审合格者为拟聘用人员,拟聘用人员将通过短信或电话通知,各位考生应实时关注。消防救援大队将策划拟聘用人员进行岗前培训,培训不合格者,取消其聘用资格。
2、聘用:由劳务派遣公司与聘用人员签订劳动合同,并将聘用人员派遣到三河市消防救援大队工作。
六、人员管理
人员管理和考核按照《三河市消防救援大队专职*防队消**员管理规定》实施,专职*防队消**员在试用期、用工期间如发现不能胜任岗位工作或不适合继续从事消防工作的,消防救援大队有权随时解除聘用合同。
七、其他
本招聘公告最终解释权归三河市消防救援大队所有。
咨询电话:(0316)5166141(三河市消防救援大队)
详情登录
https://mp.weixin.qq.com/s/c4J5UDje9o2iwtzpTRtpkw
2019年涿州市博物馆公开招用消防工作人员公告
根据实际工作需要,现决定为市博物馆面向社会公开招用消防工作人员6名,现将有关事宜公告如下:
一、工作职责:
(一)熟悉消防相关的各项法律法规政策;
(二)具备消防自动报警系统、消火栓系统、自动喷洒系统、防排烟系统等消防系统专业技术知识;
(三)操作、维修保养火灾自动报警、自动灭火系统等消防设施;
(四)检测火灾自动报警器、自动灭火系统等消防设施;
(五)担任消防控制室值班;
(六)完成领导交办的其他工作。
二、招用原则及要求:
(一)坚持面向社会公开招用,坚持德才兼备和公平、公正、公开、竞争、择优的原则;
(二)遵守国家宪法、法律、法规;
(三)身体健康,能适应倒班,年龄在 18岁(2001年10月1日以前)至 45周岁(1974年10月1日以后),退休时应达到养老保险规定年限;
(四)需持有初级(五级)技能及以上等级《建(构)筑物消防员职业资格证书》或初级(五级)技能及以上等级《消防设施操作员职业资格证书》;
(五)下列人员不得报名:
1.受到*党**纪政纪处分期限未满的,正在接受策划调查的人员;
2.曾因犯罪受过刑事处罚的人员;
3.曾被开除公职的人员;
4.法律法规规定其他不予录用的人员。
三、报名方法
(一)报名时间:2019年12月2日—2019年12月6日(上午8:30-11:30,下午2:30-5:30);报名地点:冠云中路127号涿州市劳务派遣服务中心;咨询电话:0312-3852919。
(二)携带材料:
报名时需携带本人有效二代身份证原件及复印件、户口本原件及复印件;《建(构)筑物消防员职业资格证书》或《消防设施操作员职业资格证书》原件及复印件;近期彩色小二寸免冠照片2张;《无犯罪记录证明》。
四、考试
(一)考试采取直接面试的办法进行,面试时间:2019年12月9日上午8点30分,面试地点:涿州市华阳西路49号涿州市博物馆,咨询电话:0312-3970023。
(二)面试满分为100分,测试内容为消防安全相关专业知识、消防器材使用、临场应变能力等。面试时,考生只允许报抽签序号,不得报姓名和个人信息,否则视为违纪,并取消后续资格。
五、体检
根据面试成绩按照1:1的比例,确定进入体检程序人员。体检在涿州市三甲级医院进行,体检项目和标准参照《公务员招录通用体检标准(试行)》执行,费用由招用人员个人负担。
六、公示、招用
根据考试及体检结果确定拟招用人员并在“涿州发布、河北人才网”发布公告,进行为期7天的公示。公示期间如有举报并经查实影响招用的取消其招用资格。公示结束后,空缺名额按照面试成绩由高到低顺序递补。
体检合格且在公示期无异议的予以招用。由涿州市劳务派遣服务中心与招用人员签订劳动合同,并按照规定缴纳各项保险。
对公示无异议人员,由用人单位通知*招应**者报到,*招应**人员应按照用人单位要求准时报到。
详情登录
https://www.hbrc.com.cn/Article/content/id/54992/code/7717.html
河北衡水中学消防控制室管理人员招聘公告
招聘岗位
消防控制室人员6人(男)。
应聘条件
1、热爱教育事业,热爱本职工作,身体健康,诚实守信,品行端正,敬业爱生,具有良好的沟通能力和团队精神;
2、消防控制室专职人员要求中专及以上学历,年龄35周岁以下,且具有建(构)筑物消防员资格证书。
3、熟悉消防工作,并能熟练操作消防器材,消防转业(退伍)兵优先。
4、从事过消防工作且在工作中有突出贡献者优先。
报名办法
1、应聘者请于2019年12月30日前,将应聘书面材料,包括应聘申请、个人介绍、重要工作经历及个人近照等,以电子邮件形式寄发指定邮箱([email protected])
2、学校根据应聘资料进行初选,然后通知应聘者面试的时间和地点;
3、应聘者要携带身份证、毕业证、学位证、资格证书、荣誉证书等相关证件,到指定地点参加面试;
4、面试合格后,学校与其签订劳动合同。
相关说明
1、按国家规定缴纳五险一金,签订劳动合同,试用期为一年。
2、被录用者子女可免费到我校就读。
3、工资福利等均按正式教职工标准执行。同时,根据学历、工作年限、职称等,发放基本工资、职称工资;根据工作岗位、工作量发放绩效工资。
联系方式
座 机:0318-2185325
手 机:13623280928(只接收短信)
详情登录
https://mp.weixin.qq.com/s/W_DALhIjmlcAueT7rykElg
沧州银行秦皇岛分行招聘启事
沧州银行成立于1998年9月,现有8家域外分行及100余家营业网点,在岗员工近3000人,基本实现“扎根沧州、立足河北、辐射京津”的战略目标。
一、招聘岗位及人数
员工3-4名
二、招聘条件
基本条件:秦皇岛市区及各县户籍,身体健康,仪表端庄,有较好的沟通和语言表达能力,有强烈的责任心和团队合作精神,社会资源丰富。
1、同业人员
年龄28周岁以下,全日制本科及以上学历,在银行从事会计或信贷工作三年以上,熟悉银行业务,有良好的客户服务意识及扎实的业务知识,有较强的风险意识和风险把控能力,具有良好的职业道德和个人操守。
2、大学毕业生
年龄在26周岁以下,2016年以后毕业并已取得本科学历及毕业证,国内普通高等院校全日制本二及以上学历(不含专接本与民办、私立院校),金融、会计、国际经济与贸易、工商管理、财务管理专业,具备较强的持续学习和综合分析能力。
三、薪酬待遇
沧州银行秦皇岛分行将为聘用人员提供在当地同行业具有竞争力并具成长性的薪酬福利待遇。
四、工作地点
沧州银行秦皇岛分行各营业网点
五、应聘方式
有意应聘者,登陆沧州银行招聘网站(网址:www.bankcz.com:8280/recruit/)报名。联系人:刘女士 电话:0335-3539598;张先生 电话:0335-3539596
详情登录
http://www.czccb.cn/news/20191129/n67438415.html