河南中考中,压强计算基本算是必考点。固体压强计算公式:P=F/S
液体压强公式如下:

固体对支撑面的压力等于总重力。比如

液体对容器底部压力计算

其中,有一些容易错的地方,必须记下来,如:

2020年中考试题如下示范:

解答分析:
第一步求水对瓶盖压强,属于液体压强,用液体压强公式计算。
第二步求瓶子对桌面压力,等于水重力加瓶子重力。瓶子对桌面压强等于总压力除以受力面积。
解答如下:

解答应该查看的几个地方:
1、计算题目格式
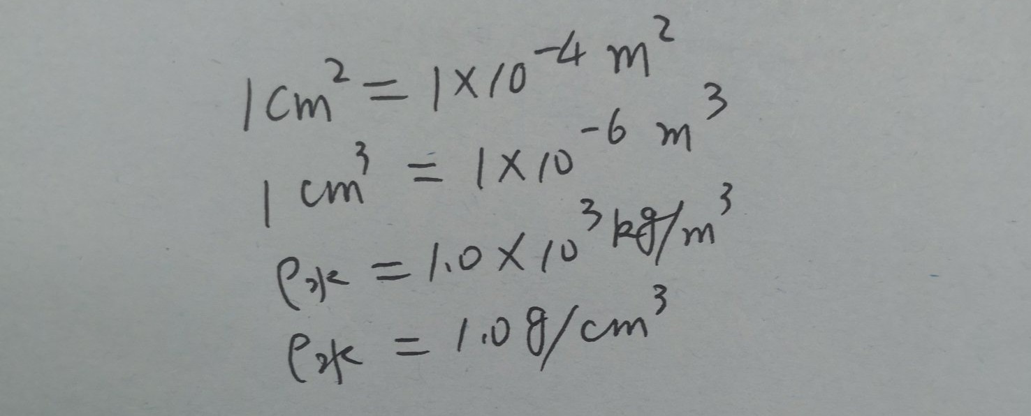
2、由密度算质量。其中体积单位换算极容易错。
3、由质量算重力,基本属于必考内容。
4、面积单位换算极容易错。
题目看起来不难,真正作对也不容易。希望,学生认真做几遍,知道没有一点错误。优秀生和一般生的差别就在于优秀生是会做的题目不丢分,而一般生会做的题目到处丢分。做会中档题目,考上省师范类高中足够了。
加油吧!同学们!