
共价键
非金属元素原子之间以共用电子对形式形成的化学键叫做共价键。它具有饱和性和方向性。通过以前的学习我们知道共价键可以分为极性共价键和非极性共价键。按电子云重叠的方式,共价键又可以分为σ键和π键。
两个原子的电子云以“头碰头”的方式重叠形成的共价键是σ键,其电子云图像为轴对称图形。σ键强度较大,不易断裂。
两个原子的电子云以“肩并肩”的方式重叠形成的共价键是π键,其电子云图像为镜面对称图形。π键强度较小,不牢固,易断裂。
s电子云形式为圆球形,p电子云为哑铃形。所以s电子云只能形成键,p电子云既能形成σ键又能形成π键。
判断σ键和π键的一般规律是:共价单键是σ键;双键中有一个σ键和一个π键;三键中有一个σ键和两个π键。
键参数——键能、键长与键角
键能越大,化学键越稳定,越不容易被打断。键长越短,键能越大,化学键越稳定,键的长短往往与原子半径的大小有关。
键角是两个共价键之间的夹角。CO2为直线形分子,键角为180°;H2O为V形,键角为105°;NH3为三角锥形,键角为107°18′;CH4和CCl4为正四面体形,键角为109°28′;白磷(P4)也为正四面体形,键角为60°。
等电子体
原子总数相同,价电子总数也相同的分子具有相似的化学键特征,它们的许多化学性质是相似的。如CO和N2就是等电子体。N2的结构式是N≡N,所以CO的结构式是C≡O。
几种常见共价化合物的形成过程及立体构型
(重点记忆)

为什么以上五种分子会有不同的立体构型呢?为了解释这一现象,提出了价层电子对互斥理论。
价层电子对互斥理论(VSERP theory)
价层电子对是指分子中的中心原子上的电子对,包括σ键电子对和中心原子上的孤电子对。我们可利用中心原子上键的总数与孤电子对的总数和来推测分子或离子的价层电子对互斥模型(VSERP模型)。两者和为2,则VSERP模型为直线形;和为3,则为平面三角形;和为4,则为四面体形。如H2O的中心原子是O,O上有两个σ键和两对孤电子对,和为4,故H2O的VSERP模型为四面体形。因有2对孤电子对上未连接原子,故其立体构型为V形。
中心原子上的孤电子对

,a为中心原子的价电子数,对于主族元素来说,价电子数等于原子的最外层电子数;x为与中心原子结合的原子数;b为与中心原子结合的原子最多能接受的电子数。
鲍林杂化轨道理论是为了解释分子的立体构型提出的。我们可根据VSERP模型来判断中心原子的杂化轨道类型。
若VSERP模型为直线形,则为sp杂化;VSERP模型为平面三角形,则为sp2杂化;VSERP模型为四面体形,则为sp3杂化。举个例子,在甲烷中碳原子是sp3杂化,乙烯中碳原子是sp2杂化,乙炔中碳原子是sp杂化。

配位键和配合物理论简介
要了解配合物,必须先了解配位键。配位键是一种特殊的共价键,与一般共价键的不同在于:一般共价键中的共用电子对是由双方原子共同提供的,而配位键中的共用电子对是由一方提供的,另一方仅提供空轨道。下面我们利用电子式形成过程示意图来讲解二者的区别:

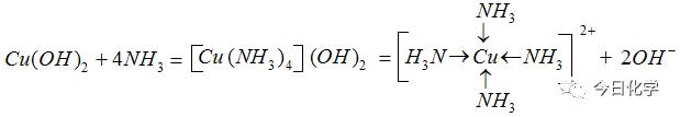
向CuSO4溶液中,逐滴加入*水氨**,可形成蓝色Cu(OH)2沉淀:

继续滴加*水氨**,可得到深蓝色的透明溶液。

配位键的强度有大有小,因而有的配合物很稳定,有的很不稳定。

配合物由内界和外界两部分组成,配合物溶于水易电离为内界配离子和外界离子,而内界的配体和中心原子通常不能电离。
题型实战
向下列配合物的水溶液中加入AgNO3溶液,不能生成AgCl沉淀的是

七、 键的极性和分子的极性
由非极性键构成的分子都是非极性分子;由极性键构成的双原子分子都是极性分子,如HCl;由极性键构成的多原子分子,若其正负电荷重心重合,则极性相互抵消,也可以是非极性分子,如CO2、BF3、CH4、CCl4等。

“相似相溶”原理:极性溶质易溶于极性溶剂,非极性溶质易溶于非极性溶剂。HCl、NH3易溶于H2O,苯、I2易溶于CCl4。化学上利用相似相溶原理来除杂。相似相溶原理只是一个经验规律,并不适合于所有的溶质和溶剂。如N2既不溶于水,也不溶于CCl4。
手性碳原子
在同一个碳原子上连接四个互不相同的原子或基团,这样的碳原子称为手性碳原子。含有手性碳原子的有机物具有手性异构体。下图所示碳原子就是手性碳原子。

范德华力、氢键及其对物质性质的影响
范德华力是指分子间存在的相互作用力。相对分子质量越大,范德华力越大;分子的极性越大,范德华力也越大。范德华力越大,则物质的熔沸点就越高。
氢键是除范德华力外的另一种分子间作用力。它是由已经与电负性很强的原子形成共价键的氢原子(如H2O中的H)与另一个分子中电负性很强的原子(如H2O中的O)之间的作用力。通常可与H结合为氢键的原子有F、O、N。氢键具有方向性和饱和性,但不属于化学键。
作用力大小比较:化学键 氢键 范德华力
乙醇中存在氢键导致两个方面的表现:⑴ 乙醇的熔沸点比同相对分子质量的烃高;⑵ 乙醇能与水混溶。
实验证明,测定接近水的沸点的水蒸气的相对分子质量时,测定值比H2O的实际相对分子质量要大一些。就是因为水蒸气中存在相当量的水分子因氢键而相互缔合,形成了所谓的“缔合分子”。
无机含氧酸分子的酸性
通过前面必修二的学习我们知道:元素非金属性越强,其最高价氧化物的水化物的酸性越强。因为S的非金属性大于C,所以H2SO4的酸性大于H2CO3。
研究表明:对于同一种元素的含氧酸来说,该元素的化合价越高,其含氧酸的酸性越强。存在:H2SO4>H2SO3(按照酸性强弱顺序)

化学上还有一种见解:认为含氧酸的通式可以写成(HO)mROn的形式,n值越大,酸性越强。例如,H2SO4可以写成(HO)2RO2;H2SO3可以写成(HO)2RO 。
文章来源于网络
监制:苑广鸿
责编:娄 锴
编辑:姚 瑶
实习:邓玉卓
