在开始本文之前,我先简单说一下写这个系列文章的背景和初衷。大概是去年这个时候,我有幸参加了单位策划的大数据培训。在培训期间,我深受 信息熵 概念的吸引,顿时萌生了一股写文章的冲动,然后真的就在一天之内写出了 《如何理解信息熵?》 这篇文章,这也是迄今为止我付出时间最短但是阅读量却是最多的文章,也算是那次培训的收获之一吧。
当然,培训之外还有另一个意外的收获,在写完信息熵那篇文章之后,晚上闲来无事的我,在一种轻松随意的状态下毫无征兆地在电脑上打开了梁灿彬老师的 《从零学相对论》 ,本想借以打发时间,但最后却一发不可收拾地、一气呵成地看完了 狭义相对论 的部分(对于一个物理 零基础 的人来说,一上来就奔着相对论去,真的有点自大!)。
在那次短暂的相对论学习之旅中,虽然仅仅是在相对论理论大厦的门外窥探了一下,但我已经隐约被它那种深邃而优美的物理思想所震撼。于是乎,我又非常矫情地萌生了写文章的冲动。回到家之后,利用了大概一个月的时间写出了相对论系列的第一篇文章: 诞生前夕 。但是在此之后,我花了很长时间的努力推进第二篇的续写,然而,我竟 提笔四顾心茫然 ,感觉几乎无从下手,最后无论如何都写不出来,哪怕一个字!所以,狭义相对论这个系列文章的写作进程就这样 戛然而止 了。
一年后,也就是现在,经过了一段时间的深入学习和思考,我终于再次鼓起勇气重启这个系列文章的写作计划,并且还总结出了之前一直写不出来的主要原因: 缺少一颗谦卑的心 。
我之所以一再坚持要写这个系列文章,原因无他,爱因斯坦的相对论实在是 太美 了,这种美是 物理实在的和谐之美与数学表达的形式之美 !我喜欢这种理论之美,也想把这种美用自己的语言(哪怕是蹩脚的)努力地记录下来,正所谓爱美之心人皆有之嘛!就跟你们看到美景(或人)的时候会情不自禁地想拍照记(shou)录(cang)下来是一样的。
好,这个系列文章的背景和初衷就简单交代到这里。现在就让我们开始狭义相对论系列的子系列的第一篇文章:狭义相对论诞生之路(1)——以太观的历史演变。(之所以把诞生之路独立为一个子系列,并进行拆分叙述,是因为诞生之路的相关内容实在是太多了,如果硬塞到一篇文章里面,最终的篇幅会非常长长长长长长长长!)
提到爱因斯坦的相对论,我们通常都会听到类似“ 速度越快 、 时间越慢 ” 、 “ 时间和空间都是相对的 ” 、 “ 光速是一切速度的上限 ” 等玄乎其玄的观点,以及那个无人不知的爱因斯坦质能方程式“ E=mc² ”。这些观点背后的原理必须深入到相对论的 基本假设、物理图像、数学公式和几何直观 等层面才能有所领会,千万不要以为通过道听途说,或者看了一些科普小说之后就可以跟别人吹牛逼说相对论怎么样怎么样。
我会在后续的文章中逐一对这些观点展开论述,但是在此之前,我们必须先来了解一下狭义相对论思想的 历史脉络 和 诞生之路 ,这是理解整个狭义相对论理论体系的 前置条件 。脱离了历史背景单独谈理论本身,就像看一部电影不看前情铺垫直接看“高潮”一样,让人压根儿就没办法看(ti)懂(yan)“高潮”本身所带来的冲击力,这样的“高潮”跟前奏一样是索然无味的。
狭义相对论的思想 源远流长 ,其诞生过程是物理学中一条 绵密的思想河流 ,而这条河流的源头与一个幽灵般的名词有着非常密切的关系,那就是 以太 。要想了解相对论诞生的历史脉络,就必然绕不开以太。所以,本文就先从以太这个物理模型说起。
【1 机械以太说】
恐怕在物理学史上还没有哪个名词比“以太”所起的作用更大,它的涵义随着历史的发展不断地演变着。早在古希腊的时代,人们就开始探索世界的组成,一些哲学家认为世界是由 水、火、土、气 四种元素构成的—— 四元素说 。亚里士多德拓展了四元素说,提出了 第五元素 —— 以太 ,他认为以太是一种连续介质,弥散在整个宇宙空间中,宇宙中不存在绝对虚空的空间。亚里士多德提出的这种 以太哲学观 为后来物理学家赋予以太不同的物理性质提供了广阔的空间。
时间来到了17世纪,法国数学家、物理学家、哲学家 笛卡尔 继承并发展了亚里士多德的观点,他在1644年发表的《哲学原理》中将“以太”引入了物理学,并从机械论的立场出发,赋予“以太” 力学性质 。

勒内·笛卡尔
在笛卡尔看来, 物体之间的相互作用力必须通过中间媒介“以太”来传递,不存在超距作用力 ;磁力和月球对潮汐的作用力看似可以隔着空间发生超距作用,但这只能说明空间中不可能真的是空无一物的,它必须是被某种媒介物质所充满,虽然这种媒介物质不能为人的感官所察觉,但它可以传递力的作用,而以太就是传递相互作用力的那个介质。
为了揭示太阳系的结构,笛卡尔还假设太阳周围的以太会形成 漩涡 ,这种漩涡会带动行星绕太阳作圆周运动,每个行星都有自己的漩涡,行星的运动与落到水漩涡中的轻物体的运动类似。这就是笛卡尔的 以太漩涡说 ,虽然这个假说可以解释行星的运动,但是缺乏 实验支柱 。
然而,随着 牛顿万有引力理论 的巨大成功,超距作用观点成为主流思想,这种观点认为力的作用可以是超距的,而无须“以太”作为媒介。牛顿利用超距作用力的概念,圆满地解释了行星运动的规律,对天体物理学做出了杰出贡献。牛顿本人也因此封神,并成为了当时物理界的权威。

艾萨克·牛顿
因此,以作为传递相互作用力的媒介为内涵的以太,也被慢慢抛弃。而后,以太又与光本性问题交织在一起,并以一种新的内涵——作为承载光波的介质,在这一问题上曲折发展。
【2 光以太说】
胡克和惠更斯认为 光的本性是波 ,既然是波,那就一定要有载体,如水波要通过水传播,声波要通过空气或其它弹性物质传播一样。也许光是在某种“海洋”中的波,它的速度只决定于“海洋”的性质,同光源的速度无关。光能通过万籁俱寂的虚空,证明在虚空中也充满某种载体。于是光的波动说支持者又想到以太,他们设想以太是一种稀疏的 弹性流体物质 ,这种物质没有质量,均匀地充满全部的空间,并渗透到所有物质中。此时,以太以承载光波的弹性介质的内涵在光学领域获得了新生,它被赋予了弹性 力学性质 ,并作为光波的传播媒介,而光波就是以太这种弹性介质的 力学振动 ,如同声波就是空气介质的力学振动一样。
光的波动说还可以解释光有不同颜色的原因是波的振动频率不同,而微粒说可以解释光的直线传播。从而,需要以太的 波动说 和不需要以太的 微粒说 ,在当时关于光的本性的争论中处于 势均力敌 的状态。然而,由于牛顿支持微粒说,随着牛顿在物理学界威望的增长,光的微粒说压倒了波动说,作为波动说的基石——以太的理论也随之处于低潮。
1807年,英国医生、物理学家、语言学家、经济学家、走钢丝表演艺术家、富二代 托马斯·杨 (历史罕见的真懂王)设计了著名的双缝干涉实验,并用光的波动说完美地进行了解释。

英国百科全书式物理学家托马斯·杨的双缝干涉实验图
后来,法国物理学家菲涅尔也利用光的波动说成功地解释了光的衍射现象,他提出的理论方法能正确地计算出衍射花样,并能解释光的直线传播现象。菲涅尔还进一步解释了光的双折射,并与阿拉果一起发现泊松亮斑,获得了很大成功。

菲涅尔和光的圆孔衍射图样
这使光的波动说又重新占据上风,也使光的承载介质——以太的地位得到了巩固。
【3 静止以太说】
随着光学的发展,人们对光的性质及其规律的认识也逐渐丰富和深化,这使得作为承载光波的以太又面临一些新的问题,其中,最主要和最关键的问题之一就是 地球相对于以太是静止的还是运动的?
牛顿在《自然哲学的数学原理》中给时间和空间赋予了独立而真实的存在: 绝对空间其自身的特性与一切外在事物无关,处处均匀,永不移动;绝对的、真实的、数学的时间,由其特性决定,自身均匀的流逝,与一切外在事物无关 。也就是说,绝对空间像一个偌大的 容器 ,容器里边有一种神秘的 节拍器 记录着绝对时间,这就是 绝对时空观 ,它是牛顿经典力学大厦的地基。牛顿在绝对时空观的基础上定义了 绝对运动 ,而绝对空间就是那个定义运动的 绝对静止参考系 ,只有相对于绝对空间的运动才是真正的运动。
既然以太充满了宇宙空间,而且又是光的传播介质,那么以太应该是相对于绝对空间静止的,也就是说,以太也代表了一种绝对静止的参考系。但是地球的运动是否会拖着以太一起运动呢? 菲涅尔认为地球是由极为多孔的物质组成的,以太在其中运动几乎不受什么阻碍。地球表面的空气由于其 折射率 近于1, 因而不能或者只能极其微弱地拖动以太,可以把地球表面的以太也看作是静止的, 地球在以太海中穿行 (即地球相对于以太运动),这就是 静止以太说 。
由于静止以太说能圆满地解释 光行差现象 ,因而人们普遍赞同它。
什么是光行差现象?为什么光行差现象能支持静止以太说?
【4 光行差】
为了解释光行差现象的原理,我们先举一个生活例子,大家应该都有这样的经验,下雨天的时候,如果不刮风,你站在雨地里不动,就会感觉雨滴是从你正上方垂直落下来的;如果你往前跑,就会感觉雨滴是从前方倾打在你身上的,所以你会错以为雨滴是从斜上方的位置落下来的,而不是从你正上方垂直落下的。

光行差现象的原理与这个生活经验类似,如果以太是光的传播介质,且绝对静止(相当于不刮风),那么当地球相对于以太静止时(你站在雨地里不动),地球上面的人观测到的恒星位置位于正上方,即恒星发出的光在地面上的人看来是从正上方射来的,这样观测到的恒星位置是 真实位置 。但是由于地球每时每刻都在绕太阳作公转运动(你在雨地里跑),当我们从地面上观测恒星位置时,恒星发出的光(雨滴)好像是倾斜着射向地球(斜打你身上)的,以至于我们所看到的恒星 视位置 (雨滴下落方向)好像是在斜上方,并不是在我们头顶的正上方。(你仔细品品,是不是跟下雨的现象类似)
1725-1728年,英国天文学家布拉德雷通过持续的观测之后发现,由于地球公转,我们在地球上观测到的恒星视位置与其真实位置之间存在一个 倾斜角 ,这个倾斜角大约为 20.5角秒 (1度=60角分=3600角秒),也就是说恒星的视位置与其真实位置之间存在 位置差 ,这就是 光行差现象 。
现在我们从直观和定量的方式来说明光行差原理,假定地球相对于以太的速度v沿x轴的正方向(如图2.1所示),如果把望远TE对准恒星的真实位置A,那么将看不见恒星,只有把望远镜倾斜一个角度θ对准A′才能看见它,A′叫做恒星的视位置,望远镜的倾斜角度 θ=20.5角秒。

图2.1 光行差现象示意图
假设以太存在,地球相对于以太的速度v沿x轴的正方向,而恒星光线相对于以太的速度c沿z轴负方向。依据牛顿力学的速度合成法则可知(文章后面的内容会多次涉及到速度合成法则,请你们一定要仔细想清楚,不然看起来会很费劲),地球上的观察者所看到的光线的传播速度是x分量和z分量的 合速度 。x分量大小为v,方向沿x轴负方向,z分量速度大小为光速c,方向沿z轴负方向,如图2.2所示。

图2.2 光行差现象的速度合成图
这其实就是将光线速度矢量分解为x轴分量和z轴分量,由于光线是从正上方射下来的,如果以静止以太为参照系,则光速c的x轴分量为0,z轴分量就是c。现在地球沿x轴正方向运动,如果以地球为参照系,那么光速的x轴分量就是地球运动速度v,方向刚好与地球运动方向相反,是沿x轴负方向的。这一点其实应该很好理解,就是一个 相对速度 的问题,就如同你坐高铁的时候,如果以窗外景物作为参照系,那么高铁是向前运动的,如果以高铁车厢为参照系,窗外景物就是向后退的。
由于光速在z轴的分量与地球运动方向垂直,那么z轴方向的速度当然还是光速c,方向沿z轴负方向。这就如同你在高速运动的高铁上看到一个物体从空中自由下落,你看到的这个物体的下落速度当然跟地面上的人看到的速度是一样的。
根据图2.2的光速分解图,我们很容易就能得出光线的传播方向与z轴负方向的夹角θ应满足:
布拉德雷观测到的光行差倾斜角θ=20.5角秒。如果假设太阳相对以太静止,则把地球绕太阳的公转速度v=3ⅹ104m/s代入上式之后,即可得到光相对于太阳的速度c=3ⅹ108m/s。(这里特别要注意,v和c必须是相对于同一个参照系太阳的速度,否则,上述公式不成立)
光行差实验以强有力的证据表明: 如果以太真的存在,那么它应该是静止的,地球在以太中穿行(即地球相对于以太运动)时不会拖动以太 。因为如果不是这样,假设地球拖动了以太一起运动(地球相对于以太静止),在地球上的人看来,由于以太是光的传播介质,且被地球拖着一起运动,那么恒星发出的光在x轴方向上的分量就应该为0,只剩下z轴方向的分量,这相当于地球上的人观测到的恒星视位置仍然在地球的正上方,与真实位置一致,也就是说不存在倾斜角和光行差现象。
类比下雨那个例子,假设下雨时刮风(以太随空气一起运动),你顺着风的方向跑起来的时候,你会感觉雨滴的方向是从正上方下落的。同样的,如果以太被地球拖动,即地球与以太相对静止,那么地球上的人看到的恒星光线也是从正上方射向地球的。但是现在布拉德雷的光行差实验结果告诉我们,我们在地球上面观测到的恒星视位置与其真实位置之间是存在一个倾斜角(位置差)的,只有把望远镜倾斜一个角度θ(20.5角秒)才能看见恒星。这就说明地球与以太相对静止这个假设与实验不符,所以我们有理由相信 地球相对于以太运动 。
光行差实验结果虽然可以 “证明” 地球相对于以太存在相对运动,但是这个相对运动的速度v具体是多少我们并不知道,只知道实验结果与这个相对速度v和光速c的 一阶比 有关。也就是说,光行差实验只能精确到 v/c 的量级(没有出现 v² / c² 或者更高阶的项),这是一个 v/c的一阶实验。(v/c的 一阶、二阶或高阶 的说法在后面的叙述中会时不时地出现,请大家一定要记住,这是用来描述一个实验结果与v/c的n次幂有关的术语,也可以折射实验精度的要求。)
【5 部分曳引说】
菲涅尔的静止以太说认为: 以太绝对静止,地球相对以太运动,以太几乎不受地球运动影响 。这个静止以太假说完美地解释了光行差现象,得到了大部分人的支持。法国天文学家阿拉果进一步分析了静止以太说和光行差现象,并提出了另一个关键问题。 如果以太不受地球运动影响,那么地球上面的介质(比如玻璃等)在以太中穿行时,在地球上的观察者看来,根据牛顿力学速度合成法则,以太在玻璃中流动,流动方向与地球运动方向相反。而且,因为光可以在玻璃中传播,如果让一束光射入玻璃,并不断改变光的入射角,那么折射光在玻璃中的传播速度应该不一样,这个差异可以通过观测玻璃的折射率变化来验证。
这个实验原理有点绕,我们来仔细分析一下:

(图5.1 光的折射和以太流动图)
假设入射角为α,折射角为β,θ为折射光线与以太流动方向的夹角。再设玻璃折射率为n,空气折射率为n0 =1。根据光的折射定律有:
n0·sin(α)=n·sin(β)
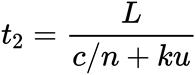
另外,光在玻璃介质中的传播速度为: v=c/n ,其中,c为光在真空中的速度,n为玻璃的折射率。
由于,光在以太中运动,以太在玻璃中流动,根据牛顿力学的 速度合成法则 ,光在玻璃中的传播速度就是两个速度的 合速度 ,而且跟折射光线与以太流动方向之间的夹角θ有关。如同往河里扔一个石块,如果水流是流动的,当石块入水的方向与水流速度方向的夹角比较小时,石块入水之后的速度(石块速度与水流速度的合速度)比较快;反之,如果夹角较大,则石块的速度就慢,也就是说石块入水之后的速度和入水方向与水流方向之间的夹角有关。(在这一段扔石块的类比中,石块就相当于光,水的流动相当于以太,石块入水之后的合速度相当于光在玻璃中的传播速度)
同样的道理,如果光线射入玻璃的入射角α发生变化,则折射光线与以太流动方向之间的夹角θ也会发生变化,从而折射光在玻璃中的传播速度v也会随着θ的变化而变化,也就是说v与入射角α有关。即,根据 玻璃折射率n= sin(α)/sin(β)和光在玻璃传播速度v=c/n ,可得:
n=c/v= sin(α)/sin(β)
因为v随着α变化而变化,那么玻璃的折射率 n=sin(α)/sin(β) 也会发生变化,这个变化是可以通过测量和计算入射角与折射角的正弦比值来观察到的。
但是无论阿拉果怎么改变光的入射角,都没有观察到光在玻璃中折射率的变化,也就是说 光在玻璃中的传播速度恒定不变 。这个实验结果与静止以太说 矛盾 ,阿拉果为此感到百思不得其解,实验结果好像表明了以太被地球上的玻璃介质拖着一起运动,因为只有玻璃介质拖着以太一起运动,光在玻璃中的传播速度才有可能恒定不变。
阿拉果把这个实验结果告诉了菲涅尔,菲涅尔对阿拉果的实验结果也感到迷惑不解。但是,菲涅尔不愧是大神级人物,他很快他就在原来的静止以太说基础上提出了一个新的假说以解释阿拉果的实验。菲涅尔认为, 透明物质中以太密度和该物质折射率n的平方成正比 。他假定当一个物体相对于以太参照系运动时,物体内部的以太只是 超过真空中以太密度的那部分才被物体所拖动 ,被拖动部分的以太比例是 1-1/ n² 。
这个比例系数的推导过程非常简单,由于透明物质中以太密度和该物质折射率n的平方成正比,假设真空中的以太密度为ρ,由于真空中的折射率为1,那么透明介质中的以太密度就应该是ρn²(即透明介质中单位体积的以太的含量为ρ n² ),所以超过真空中以太密度的那部分就是(ρn²-ρ),这部分占透明介质中的以太的比例就是 (ρ n² -ρ)/ρ n² =(1-1/ n² ) 。这就是著名的菲涅尔 曳引系数 和 部分曳引说 。 部分曳引说认为,由于地球在运动,那么随着地球一起运动的介质中的以太也会被拖曳着一起运动,被拖曳的以太的比例跟折射率有关,折射率越大,拖曳的以太就越多,折射率越小,拖曳的以太就越少,具体的曳引系数就是1-1/n²(n是介质的折射率)。
利用部分曳引说,可以很好地解释阿拉果的实验结果:按照阿拉果的实验原理,不同方向的光线进入玻璃后的速度应该是不一样的,既然实验结果观测不到这种速度差异,那肯定是由于玻璃中被拖曳的这部分以太刚好抵消了速度差异的效应,以至于我们观测不到任何不一样了。
菲涅尔还由此得出了在以太参照系中,以速度u运动的透明介质,其中的以太被拖动的速度为:
当介质在以太系中静止时,光在介质中的传播速度为c/n(c为真空中的光速),若介质以速度u和光线同向在以太中运动,则在以太参照系中,运动介质中的光速为介质中以太速度和光线在静止介质中传播速度的合速度:
这个合速度也很好理解,你想啊,光在以太中传播,以太在介质中流动,那么光在介质中的传播速度显然就是两个速度的合速度。就如同你在高铁上以相对于车厢5公里/时的速度匀速走动,高铁相对地面以200公里/时的速度运动,那么在地面上的观察者看来,你的运动速度应该是205公里/时。
上式中 k=1-1/n² 就是菲涅耳的曳引系数。曳引系数与折射率有关,对于折射率n=1的物质,应该不拖动以太。由于地球表面的空气折射率近似等于1,所以地球表面上的以太就不被拖曳(折射率为1,曳引系数就等于0),也就是说以太仍然是静止的,地球相对于以太运动,对于地球上的观察者来说,将有“ 以太风 ”的存在。同时,地球上面的透明介质会拖动部分以太一起运动,被拖动的以太的比例跟介质的折射率有关,即拖曳系数为 1-1/n²。
菲涅尔部分曳引说既保留了静止以太说的内涵,不至于与原来的光行差现象矛盾,同时也引入了曳引系数解释了阿拉果实验的结果。 部分曳引说看起来非常有道理,非常完美!
1845年,英国人斯托克斯提出了他的光行差理论。斯托克斯认为菲涅尔的理论建立在一切物体对以太都是透明的基础之上,地球通过以太而毫不影响以太的观念是不能容许的。因此,他提出了另外一个假说—— 完全曳引说 ,他认为: 在地球表面,以太与地球有相同的速度,即地球完全曳引以太。只有在离开地球表面某一高度的地方,才可以认为以太是静止的。
1851年,法国物理学家 斐索 设了一个巧妙的 流水实验 ,实验结果与菲涅尔部分曳引假说的预测非常接近。于是,人们普遍支持菲涅尔的部分曳引假说。
【6 斐索流水实验】
现在我们来看看 斐索流水实验 ,其核心非常简单:就是将一束光分成两束光,其中一束逆水传播,另一束顺水传播,然后再让两束光进行相遇和 干涉 ,通过观察 干涉条纹 的移动数目来验证两束光的速度差异,并以此解释以太被水流拖动的事实。具体的实验原理图如下:

斐索流水实验装置图
将一束单色光源经过半透镜BS分成两束,上面一束直接穿过半透镜BS之后逆水传播,下面一束被半透镜BS和反射镜M连续反射之后顺水传播。两束光在经过右边的半透镜BS和反射镜M的反射之后相遇,从而产生干涉条纹。如果让流水反向,也就是让出水口变进水口,进水口变出水口。那么两束光运动的速度和时间就会发生改变,于是它们形成的干涉条纹也会发生改变,具体表现就是条纹会移动一点点。
斐索在实验开始的时候先让U形管注满了静止的水,这时候没有观察到干涉条纹的任何移动。当水以速率u相对实验室运动时,他考虑了三种可能:第一种可能,以太完全被水拖动,即曳引系数 k=1 ;第二种可能,以太完全没有被水拖动,即曳引系数 k=0 ;第三种可能,按照菲涅尔部分以太被拖动的假设,即 k=1-1/n²。
斐索考虑了第三种可能,并利用光在介质中的传播速度公式:

6.1式
分别计算了光在逆水和顺水两种情况下的传播时间、光程差和预期的条纹移动量,然后将实验结果与预期值进行比较。我们来具体分析一下:
首先,计算光逆水传播的时间t1,这里又要用到速度合成法则了:光在以太中传播,以太被水拖动以速度ku流动,那么光在逆水中的传播速度就是两个速度的合速度:

6.2式
为什么这里是减号呢?你想啊,这时候光是逆水传播的,也就是光是逆着以太流动方向传播的。就如同逆水行舟的速度,应该是舟在静止水流中的速度减去水流本身的速度。所以光逆水传播的时间t1:

6.3式
同样的道理,光顺水传播的时间t2:

6.4式
其中:L为U形水管的臂长,n为水的折射率,c为真空中的光速,k就是水流曳引系数。
因此,两束光到达干涉屏的时间差 Δt=t1-t2 ,光程差 Δδ=c·Δt。根据光的干涉原理,如果让流水反向,也就是让出水口变进水口,进水口变出水口。那么两束光形成的干涉条纹也会发生细微的移动,这个移动量(中央明条纹的移动距离与相邻明纹间距的比值)的预期值为:

6.5式
其中,λ为光的波长。这个式子是根据光的双缝干涉原理推导得来的,具体的推导过程这里就不再详细展开,有兴趣的同学自己手撕一下。我只说一下思路: 光的干涉条纹移动量是由两束光波的相位差决定的,而相位差又是由光程差Δδ决定的。 (我为了写好这一部分内容,被逼着倒回去学习了光的干涉原理和相关的数学推导,但是这里不再详细展开,是因为这部分涉及到很多数学公式;为了不劝退读者,我决定就此打住,大家看不懂也没关系,只要记住结论就行)
结合上面t1和t2的式子整顿一下,即可得到:

6.6式
我们知道,相对于速度值高达30万公里/每秒的光来说,流水速度u是非常小的,也就是u远远小于c,因此二阶项u2/c2是一个接近于0的量,可以把它忽略和舍去。则最终的干涉条纹移动量约为:

6.7式
斐索在实验过程中使用的实验参数分别是:波长λ=5.26*10-7m的黄色光,U形管臂长L=1.487m,水流速度u=7.059m/s;把这些参数值和水的折射率(约为1.33)代入6.7式即可得到预期的干涉条纹移动量ΔN=0.23。而实际的实验结果测出来的干涉条纹移动量是0.2022,这个结果跟预期的移动数目非常接近,由此斐索得出结论: 水流拖动了部分以太一起流动这个假设是对的,且其拖曳系数(k=1-1/n²)跟折射率有关 。也就是说,菲涅尔的部分曳引假说获得了实验的证实。
但是,这个证实是有条件的,这个条件是什么?回忆一下上面干涉条纹移动量的公式是怎么推导出来的?我们是在忽略了水流速度与光速之比的二阶项u²/c²的前提下,才得出了干涉条纹移动量的计算公式。而且,实验结果与忽略2次项之后预期的干涉条纹移动量符合地非常好。所以,这个条件就是忽略水流速度与光速之比的二阶项 u²/c² 。当水流速度u远远小于光速c的时候,二阶项 u²/c² 可以忽略不计,菲涅尔的部分曳引假说与实验结果相符。
实际上,在不舍去二阶项 u²/c² 的时候,斐索流水实验的结果应该与u/c的一阶和二阶量有关(6.6式同时包含了u/c的一阶和二阶量),因此,在理论上,干涉条纹移动量这个细微差别是一个二阶效应。但是受到实验精度的限制,当时斐索流水实验只能测出u/c的一阶效应。
斐索流水实验完美地支持了菲涅尔的部分曳引说,使得部分曳引说的有效性进一步提升,也给了当时的人们以极大的信心。
以太是绝对静止的,地球相对于以太运动的,并且地球的介质会部分曳引以太,曳引系数与介质的折射率有关。 现在这个假说既能继续解释光行差的现象,又能解释阿拉果实验和斐索水流实验,完美+1!
【7 电磁以太】
以太这个概念的内涵伴随着经典物理学的发展而不断演变,从一开始的形而上的哲学概念,到笛卡尔的相互作用力传播媒介,再到牛顿绝对空间的静止以太系,以及建立在波动说基础上的光以太。尽管人们对以太的认识不断地加深,并且通过光行差现象、斐索流水实验等光学实验“证实”了地球及其介质相对于以太的运动状态。
但是,以太的一些怪异性质仍然令人感到困惑。比如,人们后来认识到光是一种 横波 (即光波的传播方向与介质振动方向垂直),如果拿机械波作 类比 ,只有能产生切向应力的地方(如固体中和液体的表面),才会有横波,气体里是不会有横波的。此外,声学告诉我们, 波传播速度的大小与弹性体的刚劲程度有关 。在像皮条那样很容易伸缩的物体中,波的传播是不会很快的,但是在钢筋中声波的速度就会大得多。
声音在钢铁中的速度约为每秒五千多米,而光在真空中的速度达到了30万公里每秒,这个速度非常之快,相当于一秒钟绕地球赤道7圈半。光速如此之快,那么它的传播介质就必然是非常刚硬且具有极大弹性的固体,而且,因为遥远星光可以在宇宙中穿行到达地球,所以,刚硬的以太固体必然充满整个宇宙,日月星辰和我们的地球都浸泡在其中,怎能设想我们的地球可以在无处不在、刚硬的固体以太中运动而丝毫不受阻碍呢?就好像地球对于刚硬无比的以太来说是透明的。真是太不可思议了!于是,“以太”的 弹性力学模型 在这里遇到了不可克服的困难。这使得作为承载光波的介质以太又一次受到人们的质疑。
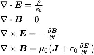
一直到1865年,伟大的詹姆斯•克拉克•麦克斯韦在奥斯特、法拉第和安培等物理学家的电磁实验基础上,全面总结了电磁相互作用和演化的规律,并出版了堪与牛顿《自然哲学的数学原理》比肩的物理学经典巨著 《论电和磁》 ,他以开创性的思想和精湛的数学工具提出了一组电磁方程式—— 麦克斯韦方程组 , 完美地统一了电和磁 ,构建起了一座辉煌灿烂的电磁理论大厦。

詹姆斯•克拉克•麦克斯韦
麦克斯韦方程组是 数学美和科学美的典范 ,它极尽 深刻、对称 和 简洁 ,一经问世就被世人惊为天物,无数大科学家都被它所表现出的美所震撼。玻尔兹曼情不自禁地引用歌德的诗句说:“ 难道是上帝写的这些吗 ?”一直到今天,麦克斯韦方程组仍然被公认为最美的方程式之一。
由于麦克斯韦方程组是一组 微积分方程组 ,需要读者具备一定的高等数学基础方能看懂一二,很多科普文章为了避免因复杂的数学公式而劝退读者,纷纷在文章中省略了麦克斯韦方程组的具体公式内容。作为一个以数学命名和科普数学的公众号,如果连写下数学公式的这点勇气都没有(况且人家麦克斯韦方程组还是一组极致优美的数学方程式呢),那真不是本公众号的风格。
来,我们简单粗暴感受一下三维空间中麦克斯韦方程组的微分形式:

麦克斯韦方程组微分形式
这四组方程分别描述了 静电的高斯电场定律、静磁的高斯磁场定律、磁生电的法拉第定律和电生磁的安培-麦克斯韦定律 ,这四个定律的物理意义分别是:
高斯电场定律 : 空间中某一点的电场散度跟这个点的电荷密度成正比 。
高斯磁场定律 : 空间中任何一点的磁场的散度处处为0 。
法拉第定律 : 由变化磁场感生出来的电场的旋度等于磁感应强度的变化率。
安培-麦克斯韦定律 : 有电流和变化的电场所产生的磁场的旋度等于电流密度和电场强度变化率之和。
几乎所有的电磁现象都可以用这四组方程进行描述。
关于这组方程组的具体内涵我就不在这里细说了,有兴趣深入了解的同学可以看看长尾科技公众号关于麦克斯韦方程组的科普三部曲 《最美的公式:你也能懂的麦克斯韦方程组(积分篇)》、《最美的公式:你也能懂的麦克斯韦方程组(微分篇)》、《见证奇迹的时刻:如何从麦克斯韦方程组推出电磁波?》 ,这是一个非常非常非常优秀的科普公众号,他的文章通俗易懂、逻辑清晰,给读者的感觉非常友好,基本上具备一定数理基础的中学生都能看懂。
麦克斯韦根据这一组优美的方程组,预言了一种叫做 电磁波 的神奇的东西。麦克斯韦说:“ 随着时间变化的电场产生了磁场,反之亦然。因此,一个振荡中的电场能够产生振荡的磁场,而一个振荡中的磁场又能够产生振荡的电场,这些连续不断同相振荡的电场和磁场循环往复,永不停歇,就像一粒石子扔入湖中所产生的涟漪,电磁场的变化也会像水波一样向四面八方扩散出去,这个扩散出去的电磁场我把它叫做电磁波 ”。

电磁波
其实早在麦克斯韦发布电磁方程组之前,著名实验物理学家法拉第就已经提出了场论的思想,并引入了力线来描述电磁相互作用。在他看来, 力线是现实的存在,空间被力线充满着,而光和热可能就是力线的横振动,如果接受光以太的存在,那么它可能是力线的荷载物。

法拉第
麦克斯韦在法拉第等人的电磁实验基础上,综合发展出了麦克斯韦电磁方程组,并作出电磁波存在的预言,进一步把以太内涵拓展为一种 电磁以太 ,他指出: 以太只是电磁波和光的载体,光就是一种以波的形式通过以太传播的电磁扰动;运动物体对于以太毫无作用,因而以太静止不动,不参与物体的运动。
1887年,德国物理学家赫兹在实验室里发现了麦克斯韦预言的和人们期待已久的电磁波,并由此证实了 光就是一种电磁波 。
至此,人们又赋予了以太新的内涵,那就是 传递电磁作用力的媒介,这种媒介已失去了所有其他生动的物理性质(包括弹性力学性质等),而仅仅退化为电磁振动的荷载物,以及作为绝对静止参考系的抽象标志。
【8 总结和预告】
最后,简单总结一下本文的主要内容:
(1) : “以太”的物理内涵伴随着人们对客观世界认识的深入而不断演变 ,具体经历了四代:
①第一代: 古希腊亚里士多德提出第五元素——以太,并赋予以太形而上学的哲学内涵,为后来的笛卡尔等物理学家进一步拓展以太的不同物理性质提供了广阔的空间。
②第二代: 笛卡尔从机械观出发,赋予以太作为传递作用力的媒介,并提出了旋涡以太假说解释行星绕太阳作圆周运动。但是,随着牛顿万有引力定律的大获成功,物体之间无须以太作为媒介即可发生超距作用的观点成为主流,作为传递作用力的媒介的以太内涵被人们抛弃。
③第三代: 胡克、惠更斯基于光的波动说赋予以太作为光波传播媒介的内涵,以及弹性力学属性,杨氏双缝干涉实验、菲涅尔光衍射发现等证实了光的波动说,进一步巩固了以太作为光波传播媒介的内涵。然而,随着光是横波的发现,作为光的传播媒介的以太,陷入了一种“ 无比刚硬固体丝毫不会阻碍物体运动 ”的尴尬境地,使得光以太内涵又一次受到人们的质疑。
④*四代第**: 在法拉第电磁实验和场的力线模型基础上,麦克斯韦综合发展出了电磁理论方程组,并预言了电磁波的存在,以太被赋予了作为电磁场荷载物的内涵,并保留了作为绝对静止参考系的抽象标志,而其他所有的力学属性纷纷被抛而弃之。
(2): 除了以太内涵的历史演变,本文还花了很大的笔墨叙述了 地球与以太之间的相对运动关系,以及相应的光学实验 :
①静止以太说 :以太相对于绝对空间静止(绝对静止的参考系),地球在绝对静止的以太海中穿行而不受阻碍,即以太静止,而地球相对于以太运动。静止以太说与光行差实验符合得很好,得到了普遍的支持。
②部分曳引说 :运动的介质会拖曳部分以太一起运动,被拖曳的以太的比例跟折射率有关,其曳引系数k=1-1/n²(n是介质的折射率)。部分曳引说既保留了静止以太说的内涵,不至于与原来的光行差现象矛盾,同时也引入了曳引系数解释了阿拉果实验的结果。后来的斐索流水实验也完美地支持了部分曳引说,使得部分曳引说得以更加有效地描述以太光学实验现象。
可能你会觉得,我费尽口舌说了这么多内容,完全跟相对论扯不上关系啊,这不是让人看了个寂寞吗?别焦急,我将在下一篇文章中带你们进入狭义相对论诞生之路上的一个非常重要的原理—— 相对性原理 。
敬请期待。