童鞋们,通过之前对有理数的学习,相信大家对数的认识有了一定的基础。那这一次就让我们来接触更为高级的实数吧!而它的前身就是咱们之前所学的有理数。现在,就让我们踏步进入实数的世界!Go go go !

实数
平方根
(一)算术平方根
1.算术平方根的定义

规定:0的算术平方根是0;
2.算术平方根的有关概念

3.通过计算器计算算数平方根

(二)平方根
1.平方根的定义
一般地,一个数的平方等于a,那么这个数就叫做a的平方根(或二次方根),

2.平方根的表示方法

3.求一个数a的平方根的运算,叫做开平方;
注意:①一个正数有两个平方根,他们互为相反数;
②零的平方根是零;
③负数没有平方根;

5.小数点移动法则:被开平方的数小数点每向左(右)移动2位,结果小数点
就向相同方向移动1位;
题型探究一:求非负数的平方根及算术平方根
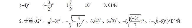
1.求出下列各数的平方根及算术平方根

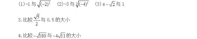
3.求下列未知数的值

题型探究二:算术平方根非负性的应用

题型探究三:算术平方根在估算中的应用

题型探究四:算术平方根与平方根的实际应用
1.国际比赛的足球场长在100m到110m之间,宽在64m到75m之间,为迎接2018
年世预选赛12强,指定在陕西建设一个长方形的足球场,其长是宽的1.5倍,
面积是7560㎡,请你判断这个足球场能用作国际比赛的场地吗?并说明理由.
立方根
1.立方根的定义
一般地,如果一个数的立方等于a ,那么这个数就叫做a的立方根或三次方根,

2.立方根的表示方法

3.开立方
①求一个数的立方根的运算,叫做开立方.
②开立方是一种运算,它和立方互为逆运算,开立方所得的结果就是立方根.
注意:①根据开立方和立方的关系,可利用开立方求一个数的立方根,也
可以根据立方来检验开立方的结果是否正确;

归纳:求一个负数的立方根,可以先求出这个负数绝对值的立方根,然后再
取它的相反数.
4.立方根的性质
一个数的立方根只有一个,正数的立方根是正数,负数的立方根是负数,0的立

5.小数点移动法则:被开立方的数小数点每向左(右)移动3位,结果小数点就
向相同方向移动1位;
题型探究一:概念辨析题

④0.01的立方根是0.000001.正确的个数是( )
A.1个 B.2个 C.3个 D.4个
2.数0.000125的立方根是( )
A.0.5 B.±0.5 C.0.05 D.0.005
3.下列判断中错误的是( )
A.一个数的立方根与这个数的乘积为非负数 B.一个数的两个平方根之积为负数
C.一个数的立方根未必小于这个数 D.零的等于零的立方根
题型探究二:立方根的有关计算

2.求出下列未知数的值

题型探究三:立方根的估算

A.在2到3之间 B.在3到4之间 C.在4到5之间 D.在5到6之间
题型探究四:立方根性质的应用

实数
(一)无理数
1.无理数的概念:无限不循环小数;
2.无理数的主要呈现形式(大致可分为四类)

③有特定结构的数,如0.1010010001...等;
④某些三角函数,如sin60°等.
(二)实数的概念及分类
1.实数的概念:有理数和无理数统称为实数;
2.实数的分类
①按定义分类:

②由于非0有理数和无理数都有正负之分,所以实数也可作如下分类:

(三)实数与数轴上的点
1.实数与数轴上的点的对应关系
实数与数轴上的点是一一对应的,即每个实数都可以用数轴上的一个点来
表示;反过来,数轴上的每一个点都表示一个实数.
2.实数比较大小
①数轴上任一两个点,右边的点表示的实数总比左边的点表示的实数大;
②正实数大于0,负实数小于0,正实数大于一切负实数,两个负实数比较,
绝对值大的反而小.
(四)实数的性质
1.实数的相反数
实数a的相反数是-a;若实数m和实数n互为相反数,则m+n=0;
2.实数的绝对值

3.实数的倒数
如果a与b互为倒数,则有ab=1,反之亦成立;倒数等于本身的数是1和-1,零
没有倒数.
题型探究一:对实数有关概念的理解
1.下列实数中哪些是有理数,哪些是无理数?

2.下列结论正确的是( )
①零是绝对值最小的实数;②π-3的相反数是3-π;③无理数就是带根号的数;

A.3个 B.4个 C.5个 D.6个
题型探究二:实数的大小比较

2.比较下列各数的大小

题型探究三:利用实数的非负性求值
1.已知实数a、b、c在数轴上的位置如图所示,化简|a+b|-|b+c|+|b-c|-|b|.

题型探究四:实数的性质与运算的综合应用
