有一段时间,买房一度成为大家非常关注与热衷的事情。但房价不是一笔小数目,少则几十、上百万,多则几百、几千万等等。
对于大部分买房族要想全额付款基本不太可能,所以大部分人通过*款贷**进行购房。

大家在*款贷**的时候,顶多选一下“等额本息”还是“等额本金”,选完后,每个月还多少通过房贷计算器就算出来了。
但对于大部分人来讲,并不知道每月的还款额(即每期还款额)是怎样计算出来的。

有同样疑问的看官,那就请往下看吧!此文就讲讲“等额本息”每期还款额的计算方法。
假设:
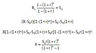
总*款贷**额S0,每期(即每月)还贷Xi,共N期(30年的话,就是360期),每期利率为r(通常银行说的利息率是年利息率R,每期利率r=R/12)。
则每期还款额、每期本金、每期利息、每期剩余本金关系如下表所示。

对于等额本金,第i-1期与第i期还款总额相等,都为Xi-1=Xi =X。
则:

上式可知,每期偿还本金Bi是公比为(1+r)的等比数列。可按等比数列求和,且其和为总*款贷**额S0。

这样,“等额本息”的每期还款额的计算公式就推导完成了。读到此处的看官,不妨用你的*款贷**项目计算验证一下。如有疑问,欢迎留言,谢谢!
