免费领取完整【高清电子打印版】
请关注后【点赞+转发】
【私信我回复数字777】
按照步骤免费领取完整(高清电子版)

人教版六年级上册第二单元知识要点
1. 根据方向和距离可以确定物体在平面图上的位置。
2. 在平面图上标出物体位置的方法:
先用量角器确定方向,再以选定的单位长度为基准用直尺确定图上距离,最后找出物体的具体位置,并标上名称。
3. 描述路线图时,要先按行走路线确定每一个参照点,然后以每一个参照点建立方向标,描述到下一个目标所行走的方向和路程,即每一步都要说清是从哪儿走,向什么方向走了多远到哪儿。
4. 绘制路线图的方法:
(1) 确定方向标和单位长度。
(2)确定起点的位置。
(3)根据描述,从起点出发,找好方向和距离,一段一段地画。除第一段(以起点为参照点)外,其余每一段都要以前一段的终点为参照点。
(4)以谁为参照点,就以谁为中心画出“十”字方向标,然后判断下一地点的方向和距离。
六年级第二单元练习题
01
填空题
1.丽丽面向北站立,向右转40°后所面对的方向是( );丁丁面向西站立,向左转40°后所面对的方向是( );豆豆面向南站立,向左转40°后所面对的方向是( );齐齐面向东站立,向右转40°后所面对的方向是( )。
考查目的:确定方向,并能用正确、规范的语言表述。
答案:北偏东40°;西偏南40°;南偏东40°;东偏南40°。
解析:引导学生通过画图的方式得出结果。可对“南偏东40°”与“东偏南40°”这两个答案提出质疑:“它们表示的方向是否相同?”再利用图示比较分析,加深理解。
2.以学校为观测点。
(1)邮局在学校( )方向,距离是( )米;
(2)书店在学校( )偏( )( )°的方向上,距离是( )米;
(3)图书馆在学校( )偏( )( )°的方向上,距离是( )米;
(4)电影院在学校( )偏( )( )°的方向上,距离是( )米。

考查目的:根据平面示意图,用方向和距离描述某个点的位置。
答案:(1)东北,1000;(2)西,北,30,800;(3)南,西,15,400;(4)东,南,20,600。
解析:本题给出了角度,并用一条线段表示200 m,要求学生以学校为参照点,说出其他几个地方的确切位置。通过练习,考查学生运用知识的熟练程度。
3.下面是雷达站和几个小岛的位置分布图,以雷达站为观测点。

(1)A岛的位置在( )偏( )( )方向上,距离雷达站( )km;
(2)B岛的位置在( )偏( )( )方向上,距离雷达站( )km;
(3)C岛的位置在南偏西35°方向上,距离雷达站60 km处。请在图中画出C岛的准确位置。
考查目的:用方向和距离描述某个点的位置;并能根据描述在图上确定点的位置。
答案:(1)东,北,30°,48;(2)北,西,20°,60;(3)见下图。

解析:该题描述点的位置需要学生自己测量角度。在第(3)小题的解答中,应提醒学生在图上标出角度和距离,画线段时则可将“雷达站到B岛的距离”作为参照。
4.看图回答问题。

(1)

(2)如果每小格的边长为400米,从商店到学校再到小青家共( )米;
(3)如果每小格的边长为400米,小青每分钟走80米,她从家里出发到汽车站需要( )分钟。
考查目的:确定方向计算距离,并结合数量关系解决问题。
答案:(1)西,南,34°;东,北,34°;(2)3600;(3)40。
解析:第(1)小题是对相对位置的描述,关键要确定以哪个点为观测点;第(2)(3)小题是结合数量关系解决问题的练习。
5.看图回答问题。
(1)下图为某路公交车的行车路线。从广场出发向( )行驶( )站到电影院,再向( )行驶( )站到商场,再向( )偏( )的方向行驶( )站到少年宫,再向( )偏( )的方向行驶( )站到动物园。
(2)贝贝从幸福路站出发坐了4站,他可能在( )站或( )站下车。
(3)京京坐了3站在少年宫下车,她可能是从( )站或( )上车的。

考查目的:依据路线图描述方向,解决一些简单的实际问题。
答案:(1)西、2,北、1,西、北、4,南、西、4;(2)光明街,电影院;(3)光明街,育才路。
解析:依据示意图,用数学语言描述路线,要注意强调在每个观测点上标注十字坐标的方法。通过解决简单的实际问题,感受数学知识的应用性。
02
选择题
1.图书馆在剧院的东偏南30°方向500米处,那么剧院在图书馆的( )。
A.东偏南30°方向500米处 B.南偏东60°方向500米处
C.北偏西30°方向500米处 D.西偏北30°方向500米处

考查目的:相对位置的理解。
答案:D
解析:可引导学生归纳解决这类题目的一般方法,即相对位置所具有的方向相反,角度和距离相等的特点。
2.如图,山东省在北京市的( )。
A.西偏南方向 B.东偏南方向 C.西偏北方向 D.北偏西方向

考查目的:在地图上确定方向。
答案:B
解析:联系生活实际,利用所学知识解决问题。以北京为观测点,利用“上北下南,左西右东”画出坐标图加以解决。
3. 以学校为观测点,广场在西偏北30°的方向上,下图中正确的是( )。

考查目的:根据数学语言的描述确定方向。
答案:C
解析:引导学生仔细审题,在确定观测点的前提下,利用十字坐标得出正确结果。
4.如图,下面说法正确的是( )。

A.小红家在广场东偏北60°方向上,距离300米处
B.广场在学校南偏东35°方向上,距离200米处
C.广场在小红家东偏北30°方向上,距离300米处
D.学校在广场北偏西35°方向上,距离200米处
考查目的:根据示意图,用方向和距离确定位置。
答案:C
解析:该题给出了角度和表示比例尺的线段,并添加了十字坐标,降低了答题的难度。重在培养学生对数学语言的分析和理解能力。
5.小林是北京人,学习了本单元的知识后,他在院子里立了一根竹竿,中午时影子与竹竿在一条直线上,下午某一时刻影子向右移动了30°,这时的太阳在( )方向。

A.南偏东30° B.南偏西30° C.北偏东30° D.北偏西30°
考查目的:联系生活实际确定物体所处的方向。
答案:B
解析:小林身处北半球,中午时太阳在正南方,影子与太阳的方向相反,影子在正北方;下午某一时刻影子向右移动了30°,就是向东方移动了30°,那么太阳就是向西移动了30°(如下图)。该题需综合利用所学知识解决,对于学生方向感的培养具有促进作用。

03
解答题
1.根据下面的描述,在平面图上标出各场所的位置。
(1)小彬家在广场西南方向1200米处;(2)小丽家在广场北偏西20°方向600米处;(3)柳柳家在广场东偏北30°方向900米处。

考查目的:根据方向和距离的描述,在图上确定某个点的位置。
答案:

解析:需对学生加强确定位置作图方法的指导。通常先确定方向,再画出表示相应距离的线段,最后完善各种标注。
2.一艘军舰,从起点向东偏北60°行驶72千米后向东行驶36千米,最后向北偏西30°行驶24千米到达终点。

(1)根据上面的描述,把军舰行驶的路线图画完整;
(2)根据路线图,说一说军舰按原路回程时所行驶的方向和路程;
(3)如果从终点返回起点用了4小时,这艘军舰返回时的速度是多少?
考查目的:画出简单的路线图并进行描述,结合数量关系解决问题。
答案:(1)如下图。

(2)返回时,先向南偏东30°方向行驶24 km,再向正西方向行驶36 km,最后向南偏西30°方向行驶72 km回到起点。
(3)(72+36+24)÷4=33(千米/小时)。
答:返回时的速度是33千米/小时。
解析:第(1)小题需加强对作图方法的指导,重点理解因参照点的变化,所以每个点上都要标出十字坐标。第(2)小题说明返回时的路线,让学生体会方向的相对性。第(3)小题利用数量关系解决问题。
3.豆豆上学:
(1)看图描述豆豆从家到学校的路线;(2)如果豆豆每分钟走60米,豆豆从家到学校需要多少分钟?(3)学校8:00开始上课。一天早上,豆豆7:30从家出发走到商场时,发现没带数学课本。于是他赶回家取了课本后继续上学。如果豆豆每分钟走60米,他会迟到吗?

考查目的:看图描述路线的练习,利用数量关系解决生活中的实际问题。
答案:(1)豆豆每天从家到学校,先向正东方向走300米到商场,再向东南方向走150米到公园,接着从公园向北偏东30°方向走200米到医院,再向正东方向走310米到广场,最后从广场向东偏北20°方向走180米到学校。
(2)(300+150+200+310+180)÷60=19(分钟)。
(3)300×2÷60+19=29(分钟)。29分钟<30分钟,答:豆豆不会迟到。
解析:路线描述时应注意语言的规范性。第(2)(3)小题结合数量关系解决问题,其中第(3)题可引导学生用多种方法进行解答。
4.张华从家往正东方向走600米到红绿灯处,再往西北方向走300米到书店,最后往东偏北30°方向走450米到学校。
(1)画出张华到学校的路线示意图;

(2)已知张华从学校回家每分钟走100米,根据路线示意图,完成下表。

考查目的:根据描述画出路线图,并通过描述返程的路线理解位置的相对关系。
答案:(1)

(2)

解析:该题没有给出一条线段表示多少距离,需要学生根据题中条件计算得出,渗透了比例尺的知识。
5.小小设计师:
(1)要求设计4个游玩项目,画出示意图,并描述各个馆的位置;
(2)设计一条参观路线,说一说怎么走。

考查目的:综合运用位置与方向的知识解决问题的能力。
答案:该题开放性较大,建议依据学生完成情况做出等级判定。例如:
(1)

海盗船在旋转木马的正西200米处;摩天轮在海盗船的东北方向300米处;太空飞船在摩天轮的西偏北30°方向200米处等。
(2)路线如上图所示,从入口往正西方向走100米到达旋转木马;再从旋转木马往正西方向走200米到达海盗船;从海盗船出发,往东北方向走300米到达摩天轮;从摩天轮出发,再往西偏北30°方向走200米到太空飞船;最后从太空飞船出发,往正西方向100米到达出口。
解析:这是一道综合性、开放性较强的习题。先是按自己的想法开放地设计各个项目的位置,再把它们的相对位置描述出来,这是“某地在另一地的什么方向上,距离多远”的具体应用。让学生设计参观路线并描述怎么走,是描述路线的具体应用。
北师大 第二单元 分数混合运算
1、分数混合运算的运算顺序与整数混合运算的运算顺序完全相同,都是先算乘除,再算加减,有括号的先算括号里的。
①如果是同一级运算,按照从左到右的顺序依次计算。
②如果是分数连乘,可先进行约分,再进行计算;
③如果是分数乘除混合运算时,要先把除法转换成乘法,然后按乘法运算。
2、解决问题
(1)用分数运算解决“求比已知量多(或少)几分之几的量是多少”的实际问题,方法是:
第①种方法:可以先求出多或少的具体量,再用单位“1”的量加或减去多或少的部分,求出要求的问题。
第②种方法:也可以用单位“1”加或减去多或少的几分之几,求出未知数占单位“1”的几分之几,再用单位“1”的量乘这个分数。
(2)“已知甲与乙的和,其中甲占和的几分之几,求乙数是多少?”
第①种方法:首先明确谁占单位“1”的几分之几,求出甲数,再用单位“1”减去甲数,求出乙数。
第②种方法:先用单位“1”减去已知甲数所占和的几分之几,即得未知乙数所占和的几分之几,再求出乙数。
(3)用方程解决稍复杂的分数应用题的步骤:
①要找准单位“1”。
②确定好其他量和单位“1”的量有什么关系,画出关系图,写出等量关系式。
③设未知量为X,根据等量关系式,列出方程。
④解答方程。
(4)要记住以下几种算术解法解应用题:
①对应数量÷对应分率=单位“1” 的量
②求一个数的几分之几是多少,用乘法计算。
③已知一个数的几分之几是多少,求这个数,用除法计算,还可以用列方程解答。
3、要记住以下的解方程定律:
加数 +加数 = 和;
加数 = 和–另一个加数。
被减数–减数 = 差;
被减数=差+减数;
减数=被减数–差。
因数×因数 = 积;
因数 = 积÷另一个因数。
被除数÷除数 = 商;
被除数=商×除数;
除数=被除数÷商。
4、绘制简单线段图的方法:
分数应用题,分两种类型,一种是知道单位“1”的量用乘法,另一种是求单位“1”的量,用除法。这两种类型应用题的数量关系可以分成三种:(一)一种量是另一种量的几分之几。(二)一种量比另一种量多几分之几。(三)一种量比另一种量少几分之几。绘制时关键处理好量与量之间的关系,在审题确定单位“1”的量。绘制步骤:
①首先用线段表示出这个单位“1”的量,画在最上面,用直尺画。
②分率的分母是几就把单位“1”的量平均分成几份,用直尺画出平均的等分。标出相关的量。
③再绘制与单位“1”有关的量,根据实际是上面的三种关系中的哪一种再画。标出相关的量。
④问题所求要标出“?”号和单位。
5、补充知识点
分数乘法:分数乘法的意义与整数乘法的意义相同,就是求几个相同加数和的简便运算。
分数乘法的计算法则
分数乘整数,用分数的分子和整数相乘的积作分子,分母不变;分数乘分数,用分子相乘的积作分子,分母相乘的积作分母。但分子分母不能为零.。
分数乘法意义
分数乘整数的意义与整数乘法的意义相同,就是求几个相同加数的和的简便运算。一个数与分数相乘,可以看作是求这个数的几分之几是多少。
分数乘整数:数形结合、转化化归
倒数:乘积是1的两个数叫做互为倒数。
分数的倒数
找一个分数的倒数,例如3/4 把3/4这个分数的分子和分母交换位置,把原来的分子做分母,原来的分母做分子。则是4/3。3/4是4/3的倒数,也可以说4/3是3/4的倒数。
整数的倒数
找一个整数的倒数,例如12,把12化成分数,即12/1 ,再把12/1这个分数的分子和分母交换位置,把原来的分子做分母,原来的分母做分子。则是1/12 ,12是1/12的倒数。
小数的倒数
普通算法:找一个小数的倒数,例如0.25 ,把0.25化成分数,即1/4 ,再把1/4这个分数的分子和分母交换位置,把原来的分子做分母,原来的分母做分子。则是4/1 用1计算法:也可以用1去除以这个数,例如0.25 ,1/0.25等于4 ,所以0.25的倒数4 ,因为乘积是1的两个数互为倒数。分数、整数也都使用这种规律。
分数除法:分数除法是分数乘法的逆运算。
分数除法计算法则:
甲数除以乙数(0除外),等于甲数乘乙数的倒数。
分数除法的意义:与整数除法的意义相同,都是已知两个因数的积与其中一个因数求另一个因数。
分数除法应用题:先找单位1。单位1已知,求部分量或对应分率用乘法,求单位1用除法。
北师大版六年级上册第二单元同步练习及答案
一、填空(每题2分,共20分)

二、判断题(每题2分,共10分)

三、 计算(共29分)

四、应用题(每题5分,第8题6分,共41分)
1. 男生有400人,女生的人数是男生的

,老师人数是女生人数的

,老师有多少人?
2. 桌子有80张,桌子的数量是椅子的

,靠垫的数量比椅子少

,靠垫有多少个?
3. 水仙花开放数量是450株,水仙的开放数量比玫瑰多

,玫瑰开放数量是多少株?
4. 星星幼儿园小班有一盒饼干,第一天吃了饼干总数的

,第二天吃了饼干总数的

,剩下20块饼干,这盒饼干一共有多少块?
5. 圆圆三天看完一本书,第一天看了全书的

,第二天看了全书的

,第二天比第三天少看15页,这本书共有几页?
6. 看一本书,第一天看了全书的

,第二天比第一天多看14页,这时已看的页数是没看的页数的

,这本书共有多少页?
7. 甲数是乙、丙、丁之和的

,乙数是甲、丙、丁之和的

,丙数是甲、乙、丁之和的

。已知丁数是260,求这四个数的和是多少?
7. 姐弟两人各有钱若干,如果姐姐给弟弟30元,则弟弟的钱数是姐姐的

.已知弟弟原来有钱50元,姐姐原来有多少元?
参考答案:
1. 40, 50
2. 63, 32

5. 16
6. 625
7. 50
8. 180
9. 14
10. 182
二、 1. × 2. × 3. √ 4. × 5. ×

四、

答:这四个数的和是1200.
8. 现在弟弟:50+30=80(元)

原来姐姐:120+30=150(元)
答: 姐姐原来有150元。
苏教版六年级上册第二单元知识要点
1. 分数乘整数的意义
分数乘整数的意义与整数乘法的意义相同,都是求几个相同加数的和的简便运算。
2. 分数乘整数的计算方法
用分数的分子和整数相乘的结果作积的分子,分母不变。能约分的要先约分,再计算。
3. 求一个数的几分之几是多少
求一个数的几分之几是多少,用乘法计算。
4. 分数乘分数的意义
分数乘分数的意义就是求一个分数的几分之几是多少。
5. 分数乘分数
分数和分数相乘,用分子相乘的积作分子,分母相乘的积作分母。能约分的要先约分,再计算。
6. 分数连乘的计算方法
分子和分子相乘的积作分子,分母和分母相乘的积作分母。能约分的要先约分,再计算。
7. 连续求一个数的几分之几是多少
先求出中间的间接量,再求出最后要求的量。
8. 积与因数的大小关系
a×b=c(a不为0)
当b>1时,c>a;
当b<1时,c<a;
当b=1时,c=a。
9. 倒数的意义
乘积是1的两个数互为倒数。
10. 互为倒数的两个数的特点
互为倒数的两个数,它们的分子、分母的位置是互换的。
11. 1的倒数是1,0没有倒数。
12.求一个数的倒数的方法
(1)求真分数、假分数的倒数,调换分子、分母的位置;
(2)求整数(0除外)的倒数,先把整数看成分母是1的假分数,再调换分子、分母的位置。
(3)求小数的倒数,可以先把小数化成最简分数,再调换分子、分母的位置;也可以根据倒数的意义来求。
(4)求带分数的倒数,先把带分数化成假分数,再调换分子、分母的位置。
苏教版六年级上册第二单元同步练习及答案
一、填空(每题3分,共24分)
1. 乘积为1的两个数互为( ),最小质数的倒数是( )。
2. 1的倒数是( ),( )没有倒数。
3.


4.


二、判断题(每题2分,共10分)

4. 真分数的倒数大于1,假分数的倒数小于1. ( )
5. 假分数的倒数一定是真分数。 ( )
三、选择题(每题2分,共8分)

四、计算

五、应用题(1-4题每题5分,5.6题每题6分,共32分)
1. 友谊小学共1200人,其中男生占全校人数的

,这所小学男生有多少人?
2. 摩托车速度的

与自行车速度相等,摩托车的速度是30千米/时,自行车3小时可以行使多少千米?
3. 图书馆里有故事书60本,漫画书是故事书的

,科技书是漫画书的

,科技书有多少本?
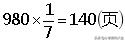
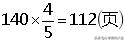
4. 一本百科全书共980页,第一天看了全书的

,第二天看的页数相当于第一天的

,两天共看了多少页?
5. 我国约有660个城市,其中约有

的城市供水不足。在这些供水不足的城市中,约有

的城市严重缺水。我国严重缺水的城市约有多少个?
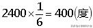
6. 某超市8月份用电2400度,9月份比8月份节省

,请问:9月份比8月份节省多少度电?9月份用电多少度?
参考答案:

二、 1. √ 2.× 3.× 4.× 5.×
三、 1.B 2.A 3.B 4.B


五、 1.

答:这所小学男生有720人。
2


12×3=36(千米)答:3小时行36千米。
3.


答:科技书有32本。
4.


140+112=252(页)
答:第一天和第二天一共看了252页。
5.


答: 严重缺水城市有110个。
6.

2400-400=2000(度)
答:9月份比8月份节省400度电,9月份用电2000度。