相似三角形的基本模型


【解析】
由已知先证△ABC~△ACD,再根据相似三角形的性质,相似三角形的对应边成比例,即可求出AD的值.
【点评】
本题考查相似三角形的判定和性质.识别两三角形相似,除了要掌握定义外,还要注意正确找出两三角形的对应边、对应角,可利用数形结合思想根据图形提供的数据计算对应角的度数、对应边的值.





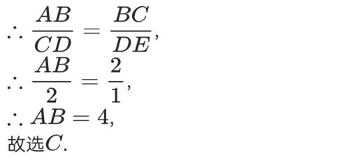
【解析】
证明△AOB~△DOC,得到AB:CD=AO:DO=1:2,即可解决问题.
【点评】
该题主要考查了平行线分线段成比例定理及其应用问题;解题的关键是判断出△AOB~△DOC.


【解析】
根据题意得出△DEF~△BCF,进而得出DE/BC=EF/FC利用点E是边AD的中点得出答案即可.
【点评】
此题主要考查了平行四边形的性质以及相似三角形的判定与性质等知识,得出△DEF~△BCF是解题关键.



【解析】
根据旋转的性质及相似三角形的判定方法进行分析,找出存在的相似三角形即可.




【解析】
根据相似三角形的判定定理及已知即可得到存在的相似三角形.
【点评】
本题主要考查相似三角形的判定定理:(1)两角对应相等的两个三角形相似;(2)两边对应成比例且夹角相等的两个三角形相似;(3)三边对应成比例的两个三角形相似.








【解析】
根据相似三角形的判定及已知可得到△ABC~△CDE,利用相似三角形的对应边成比例即可求得AB的长.
【点评】
本题主要考查相似三角形的判定、相似三角形的性质等知识,关键是推出△ABC~△CDE.





解题技巧专题:比例式、等积式的常见证明方法














难点探究:相似三角形中动点及探究型问题



【解析】
根据正方形的四条边都相等求出CN的长度,再根据相似三角形对应边成比例,分①CN与BM是对应边,②CN与AB是对应边两种情况列式求解即可.
【点评】
本题考查了正方形的四条边都相等,相似三角形的对应边成比例的性质,因为对应边没有明确,注意要分情况讨论求解,避免漏解而导致出错.




【解析】
1.两三角形相似时的对应点不确定,故应分情况讨论,由于两三角形都是直角三角形,因此可分两种情况讨论;可分△ACD~△MNA与△ACD~△NMA两种情况进行讨论,根据相似三角形的对应边成比例求解即可;
2.根据两三角形相似可得AD/CD=MA/NA或AD/CD=NA/MA用含t的代数式表示MA、AN,接下来解含t的关系式,即可得到满足题意的t的值.



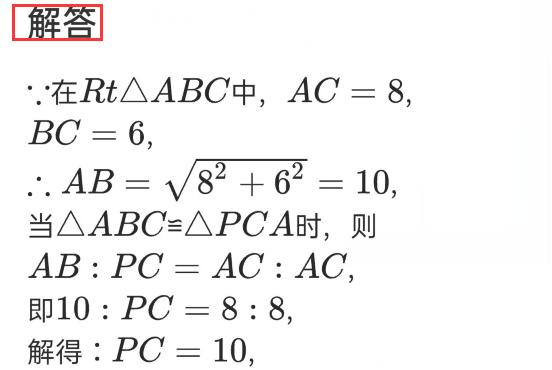
【解析】
先利用勾股定理求出AB的长,若△ABC与△PAC相似,则PC可以和AB对应也可以AC对应,所以要分两种情况分别讨论,求出PC的值即可.
【点评】
本题考查相似三角形的判定.识别两三角形相似,除了要掌握定义外,还要注意正确找出两三角形的对应边、对应角,可利用数形结合思想根据图形提供的数据计算对应角的度数、对应边的比.本题中把若干线段的长度用同一线段来表示是求线段是否成比例时常用的方法.







【点评】
本题考查了平行线分线段成比例定理的应用,解此题的关键是能根据定理得出比例式,注意:一组平行线截两条直线,所截得的线段对应成比例.也考查了旋转的性质和等腰三角形的性质.



【点评】
此题考查了相似三角形的判定与性质,用到的知识点是相似三角形的判定与性质、平行线分线段成比例定理、三角形的面积,关键是根据题意作出辅助线,得出相似三角形.


难点探究:相似与几何图形的综合问题












【解析】
根据正方形的四条边都相等求出CN的长度,再根据相似三角形对应边成比例,分①CN与BM是对应边,②CN与AB是对应边两种情况列式求解即可.
【点评】
本题考查了正方形的四条边都相等,相似三角形的对应边成比例的性质,因为对应边没有明确,注意要分情况讨论求解,避免漏解而导致出错.





考点综合:相似三角形与其他知识的综合


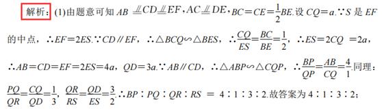
【解析】
根据菱形的对角线平分一组对角可得∠1=∠2,然后求出△AFN和△AEM相似,再利用相似三角形对应边成比例列出求解即可.
【点评】
本题考查了菱形的对角线平分一组对角的性质,相似三角形的判定与性质,关键在于得到△AFN和△AEM相似.


【解析】
先根据平行四边形的性质及相似三角形的判定定理得出△DEF~△BAF,再根据S△DEF:S△ABF=4:25即可得出其相似比,由相似三角形的性质即可求出DE/AB的值,由AB=CD即可得出结论.
【点评】
本题考查的是相似三角形的判定与性质及平行四边形的性质,熟知相似三角形边长的比等于相似比,面积的比等于相似比的平方是解答此题的关键.









【点评】
该题主要考查了反比例函数图象上点的坐标特征、相似三角形的判定等知识点及其应用问题;解题的方法是作辅助线,将分散的条件集中;解题的关键是灵活运用相似三角形的判定等知识点来分析、判断、推理或解答.








