在行测考试当中,计算问题是一个常考的考点,而计算问题说到底就是考查考生对数字计算能力,比如近几年涉及的等差数列,二元一次方程,以及不定方程等。而对于这类型的题目,当大家对其基本公式和方法有了一定的熟悉和掌握之后,对于这类型的题目自然迎刃而解。下面中公教育将以等差数列为例讲解这类题目特点及解题方法。

打开百度APP看高清图片
一、基础知识
等差数列是指从第二项起,每一项与它的前一项的差等于同一个常数的一种数列。通常用n表示项数,d表示公差,

基本公式:

二、例题精讲
例1. 某商店10月1日开业后,每天的营业额均以100元的速度上涨,已知该月15号这一天的营业额为5000元,问该商店10月份的总营业额为多少?
A.163100 B.158100 C.155000 D.150000
【中公解析】B。
由题中描述,“每天的营业额均以100元的速度上涨”其实就是等差数列模型的基本描述,也就是告诉这个月每天的销售额一个公差为100的等差数列,并且其中的

而题干求解的是10月份的总营业额,也就是前31项的和。而根据基本求和公式,需要去求解

这些可以通过已知的

和公差以及通项公式求解。但相对有些复杂。而这道题求带就是前31项的和,31项为奇数项,所以可以通过中间项求和。故31项中间项为第16项,

故选B。
通过这个题,大家可以看到,当n为奇数的时候,相较于用基本的求和公式求解前n项的和,通过中间项求和更容易。所以当题干中n为奇数时,一定要有敏感性,可以通过中间项求和。同时当n为奇数的时候,已知前n项的和,也可以直接根据这个条件求解到该数列的其中的某一项(前n项的中间项)。
例2. 某渔业公司预计前三季度收入为135万元,且当年每月收入均以2万元的增长额去增长,问预计当年总收入为多少万元?
A.182 B.206 C.216 D.256
【中公解析】C。
这道题目满足了等差数列的基本描述,即当年每月收入均以2万元的增长额去增长,即公差为2,还已知前三季度总收入为135万元,也就是前9项和为135。根据上一道例题,看到项数为9,为奇数,且已知和为135,要立马联想到中间项求和,即

此时再去求解当年的总收入,也就是前12项的和,同样根据已知项为

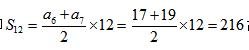
除了基本公式求和外还可以用到n为偶数的中间项求和,也就是

和

去求解更加容易。即

,故选C。
通过以上两道例题,大家应该会感受到等差数列的相关题目是相对比较容易去做的。当然大家在备考过程中除了掌握基本公式以外,也要通过多做题对一些变形有所了解。