
段宜江讲保险,我们懂保险
众所周知,中国一直是世界上储蓄率最高的国家之一。中国人爱存钱,爱投资那是出了名的
折射到保险行业呢
对于各位客官们来说,带存钱,返钱,分红,领取这类字眼的保险通常接受度是最高的
对于保险公司来说呢,最创造保费收入的自然也是年金险
以中国人寿,中国平安和新华人寿在2018年度报告里公布的自家保费收入前五的产品为例
我们可以看到,除了新华人寿,保费收入前五名中还有三个重疾类产品,和中国平安有一项终身寿险以外
中国平安和中国人寿的保费前五名几乎均为年金险产品

中国平安

中国人寿

新华保险
但是买归买,很多人可真是连账都还算不到一起
今天,我们就来教大家,怎样简单,快速的,计算出一款复杂年金险的投资回报率,到底有多少

我们先来看个例子
小明去银行存钱,10万块钱,存5年,银行说到期能取12万,请问年化收益有多少?
这个很简单,大部分人都能算出来
利息是2万,本金是10万,总收益率就是2➗10=20%
总共5年时间,所以年化就是20%➗5=4%
那我们再换个方法
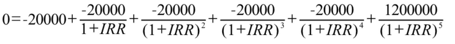
小明这次换了个银行去存钱,还是10万块钱,存5年,银行说你不用一次给我10万,你5年里每年给我2万就行,5年期到了我还给你12万。请问,这次的年化收益是多少?
首先可以肯定的是,必然不是4%了,毕竟存钱的方法不一样了
那究竟是多少呢?
这时候我们就要引入一个概念了,叫IRR
IRR全称:Internal Rate of Return,也叫内部收益率
你也可以简单粗暴的理解为复利利率
数字越大,你的回报越多
那IRR和我们平时说的利率有什么区别呢?
平时我们一般说的利率都是单利
举例说明
假设利率都是5%的情况下
10万块存100年,每年利息都是5000,100年以后你总共有60万,这就是单利
同样的方法,如果换成IRR,100年后你总共会有1315万,这就是复利
那具体该怎么算呢?说回上面这个例子,先给大家一个公式感受一下

当然这么复杂的公式是不会让大家去求解的
所以给一个非常方便的方法,用大家都熟悉的EXCEL计算


这个表格说明一下:
1、领取的时间之所以是第六年,是因为假设第5年年初存钱,年末才能取,也就是第6年年初
2、现金流就是当年领取的钱减去当年交的钱,注意正负号
3、irr那里输入的公式是 =irr() (也可以直接复制),输入完公式,括选上面的全部现金流,最后点回车
4、如果实在不会的,可以加/W—X/,段宜江说险,索取制作好公式的表格,自己填写数字就行
所以您看明白了吗?同样是存10万,第一种方法年利率只有4%,而第二种有6.14%
下面我们来实战演练一个保险产品看看
某公司年金产品
年交保费2万元,交5年
第5年领取13000元
第6-19年每年领取2600元
第20年领取110820元
返还的所有的钱如果不领取,都可以进入万能账户二次复利计息
保底利率是2.5%,目前现结利率是5.2%
所谓现结利率指的是目前计息使用的利率
以上都算是题干部分,这么复杂的规则
不知道大家看着头晕不晕,反正我是挺晕的

下面我们就一起来,抽丝剥茧,看看他的实际回报率到底有多少
我们总共分三种情况来考虑
1、只算领取部分的收益,不考虑万能账户二次计息
2、返还的部分中间不领取,直接进入万能账户二次计息,万能账户的利率用保底的2.5%计算
3、返还的部分中间不领取,直接进入万能账户二次计息,万能账户的利率用目前现结的5.2%计算
我们还是用三张表格来说明问题,分别来计算一下
第一种:IRR=3.52%

第二种:IRR=3.27%

第三种:IRR=3.92%

从上面三个结果我们能看出(干货)
1、即使是按照现结的5.2%的利率去计算,综合年化收益也只有3.9%。所以想靠年金类理财保险发家致富的,可以洗洗睡了
2、只要不出现极端情况,保单的万能账户利率没有降到保底利率的情况下,每年的返还能不取的,还是别取了,不取的收益还是要高的
3、保险永远姓保。虽然指望任何一个保险产品发家致富是不大现实的,但是保你周全还是问题不大的。医疗类保险是保你身体的,而大多数的年金类保险,是保你晚年的时候,不管过的好不好,都还有个保底的生活费的。
4、对待年金险要有正确的预期。我们反复在说,包括买房买股票买保险在内的任何投资,衡量的要素都是三个,流动性,安全性,和收益率。任何一个单一指标都说明不了任何的问题。
保险:安全性满分,流动性和收益性都只有60分
股票:虽然收益性和流动性几乎满分,但是对于大多数人,安全性给个0分可能都不为过。毕竟7赔1平2赚的地方,大多数人都是赔钱的,对于他们来说,收益是近在咫尺但又遥不可及的,反倒亏损倒是家常便饭的
房子:绝大多数中国人心目中完美的投资品。收益满分,安全满分,流动性大家以为也满分。但是现实中,回忆全球的投资品,没有任何一个东西能同时满足这三项的。
也就是说,这是个不可能三角,三项中最多能占两项,最少也要放弃一项。
换句话说,大家以为的完美投资品,在这三项中一定,至少有一项,将来是远远不会达到你的心理预期的。不是涨幅变小或者甚至下跌的,就是放在手里有价无市的。
投资市场中,只有大家没注意到的地方,才会有超额收益,所有人都看见的肥肉那一定就不是肥肉了,而是超额风险
5、各个投资品各有专长。在不可能三角里,如果有某项特别长,也一定有一项非常短。所以单一的产品,永远不可能解决我们的,既想高收益,又要很安全,还得流动性强变现快的这种多层次心愿。
6、借用一个财经界大佬的话,投资没风险,没文化才有风险。放弃房价一直涨的幻想,也忘掉业务员告诉你的,或者你以为的,年金险的超高回报,踏踏实实的存点钱,学点投资组合的真本事,比什么都重要
这里是段宜江讲保险,我们只做科普,不推产品。也欢迎您在微信公众号搜索:段宜江说险,用您能听得懂的大白话,帮您分析每一个险种,跳出保险中的大坑,让买保险从此简单。