伴随着夏秋季节的交替,也意味的2017年国家公务员离我们越来越近。小编一直深信,成功必备两要素是努力与幸运,而二者之间可以准备的就是努力。数量关系在考试中是众多考生头疼的一个模块,下面为大家介绍在国考中常用的公式—数列与平均数。
1. 等差数列通项公式:

, 2. 等差数列求和公式:

3. 等差数列极差公式:

4. 奇数数列公式:从1开始的连续n个奇数的和是n2
5. 等比数列通项公式:

6. 等比数列求和:

主要常用的公式已经知道,那么我们需要做的就是把公式记熟,记牢,在考试中直接带入应用,下面举例为大家讲解公式的具体应用。
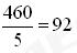
【例1】某成衣厂对9名缝纫工进行技术评比,9名工人的得分正好成等差数列,9人的平均得分是86分,前5名工人的得分之和是460分,那么前7名工人的得分之和是多少( )(2012-国考-78)
A. 602 B. 623 C. 627 D. 631
【华图解析】B. 第五名得分为86,第三名得分为

,因此第四名的得分为 分

,前七名的总分为 分

【华图点播】题目明显提示是等差数列,在等差数列中平均数和中位数相等。若求得前七项的和,必然需要知道中位数第四项的值。因此只需要求得第四项的值即可。考生也可以根据选项前七项的和是7的倍数而排除C、D。A=82×7,前七项平均数不能和前5项平均数82一样,因此A排除,答案为D选项。
【例2】{

}是一个等差数列,

,则数列前13项之和是( )(2008-国考-73)
A. 32 B. 36 C. 156 D. 182
【华图解析】C.

,因此,

,前13项之和

。
【华图点播】当题目中给出两个等式,求其中一项,可以用极差公式将两个式子加和或者做差,约去相同项,求出单一项。
【例3】小赵、小钱、小孙、小李、小周五个人的收入依次成等比,已知小赵的收入是3000元,小孙的收入是3600元,那么小周比小孙的收入高( )(2011-河南-36)
A. 700元 B. 720元 C. 760元 D. 780元
【华图解析】B. 小孙:小赵=小周:小孙=3600÷3000=1.2,即小周的=1.2倍小孙,小周的-小孙=0.2倍小孙=3600×0.2=720。
【华图点播】等比数列在国考中考察相对较少,当求和项数不多时,考生可以列举相加,节约计算时间。
各个模块都有相应的公式和口诀,忘各位广大考生掌握好技巧,提升做题时间和正确率。
想了解更多内容请登录辽宁华图官网(http://ln.huatu.com/)