
Ø方法导读
在高考立体几何专题中,我们经常会碰到一个平面去截一个几何体,然后求解截面的相关问题,比如求面积,周长,最值等等,有时候难度比较大,做起来比较棘手,需要很强的空间想象能力,很是头疼.本专题着重来讲讲截面面积问题,希望能给同学们在求解截面面积方面带来小小的帮助,并在此基础上触类旁通,能够对截面的其它问题在求解时更加得心应手.在求截面面积的过程中,
Ø方法导读
在高考立体几何专题中,我们经常会碰到一个平面去截一个几何体,然后求解截面的相关问题,比如求面积,周长,最值等等,有时候难度比较大,做起来比较棘手,需要很强的空间想象能力,很是头疼.本专题着重来讲讲截面面积问题,希望能给同学们在求解截面面积方面带来小小的帮助,并在此基础上触类旁通,能够对截面的其它问题在求解时更加得心应手.在求截面面积的过程中,
我们第一步就是要先确定截面的形状,如果截面的特征无法得知,题目也就无从下手,特别是一些难度稍微大一点的题目,在学生空间想象力不是那么强的情况下,连截面都无法在几何体中绘出或剥离出来,那基本上就是无从下手,丢分无疑了.怎么画出截面是完成求解截面问题的第一步,至关重要,而画出几何体的截面有多种方法,如平行线法,交线法,平移法,补形法等等,本专题就来介绍其中的一种作截面的方法-----交线法,然后结合截面面积问题进行分析.


进行平移,在平移的过程中来寻找截面面积最大的位置.在平移的过程中,截面有三角形和六边形两种,容易判断六边形面积比三角形面积要大,而六边形中,当平面移至中间位置,即六边形是一个等边六边形时,截面面积最大.当然这是根据观察得到的结论,没有计算数据支撑,要推理出最大的位置,首先得画出截面,怎么画出截面呢?
交线法,平行线法都可以,我们就用本专题讲的交线法来画截面,这样既容易画出截面,也方便后面的截面面积最值的求解,而截面面积表达式的求解是本题的第二个难点,有了表达式,然后就可以利用相关知识进行求解最值.




在高考中解决此题,因为时间有限,不可能用很完整的计算加逻辑推理来得到答案,肯定是猜想哪个位置面积最大,然后求出最大值.最大值时的位置很容易猜到,而且算出面积后刚好是选项里面最大的,所以结论正确无疑.本专题提供的交线法是一种解决此题的完整思路,意在给学生多掌握一种解决截面问题的方法.在高考中,解答选择题时,还是怎么快怎么来比较好.下面就交线法来分析一下此题,
首先解决此题的第一步就是寻找平面

,在寻找之前,学生必须掌握一个性质,就是相互平行的直线和同一个平面所成的角都相等,故转化为只需要平面

与同一个顶点的三条棱所成角相等即可.因为在正方体中,同一个顶点的三条棱长度相等,故只需将这三条棱的另一端连接起来形成一个三角形的面

,此平面就符合要求,然后与此平面

平行的平面均满足题意,这样平面就找到了,接下来是第二个问题,怎么求出截面面积最大值.
在平面平移的过程中,截面有三角形和六边形两种.如果是三角形,面积很容易算,都是等边三角形,而且三角形中面积最大的位置很明显,

如果是六边形,面积就没那么好算,而且你得先画出这个截面,这就涉及到怎么作出截面的问题,先画出与

三条边平行的三条线,如

,然后延长这三条线,延长之后必然两两相交,得到

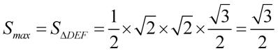
,截面自然也就出来了,很直观.交线法是一种找截面比较好的方法,简单易学,而且截面很直观,截面特征也很明显,方便后面的问题求解.找到截面之后,就是计算截面面积了.设

,则

,然后利用平行的相关性质,就可以得到三个阴影三角形都为等边三角形,进而

为等边三角形,所以截面面积

接下来就是化简转成二次函数的问题了,这里不做累述.
Ø拓展推广
交线法前提:截面中的部分线段延长后能相交,即截面不是平行四边形.
交线法步骤:
第一步:将题目条件中给出的点或线连接起来;
第二步:延长能相交的截交线,确定截交线的交点,或延长某些截交线,使其与几何体的其它棱相交,得到截交线与几何体棱的交点;
第三步:将截交线或与几何体棱的交点与题目中给出的其它符合要求的点相连,得到其它的截交线,进而得到截面;
第四步:根据截面的特征进行相关分析与计算.




