1.有理数
(1)凡能写成分数形式的数,都是有理数.
- 正整数、0、负整数统称整数;
- 正分数、负分数 统称分数;
- 整数和分数统称有理数.
注意:
0即不是正数,也不是负数;
-a不一定是负数,+a也不一定是正数;
pi 不是有理数;
(2)有理数的分类: ①

②

2.数轴
数轴是规定了 原点、正方向、单位长度 的一条直线.
3.相反数
(1)只有符号不同的两个数,我们说其中一个是另一个的相反数;
0的相反数还是0;

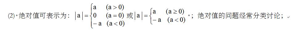
4.绝对值
(1)正数的绝对值是其本身,0的绝对值是0,负数的绝对值是它的相反数;注意:绝对值的意义是数轴上表示某数的点离开原点的距离;
(2)

5.有理数比大小
(1)正数的绝对值越大,这个数越大;
(2)正数永远比0大,负数永远比0小;
(3)正数大于一切负数;
(4)两个负数比大小,绝对值大的反而小;
(5)数轴上的两个数,右边的数总比左边的数大;
(6)大数-小数 > 0, 小数-大数 < 0.
6.互为倒数:
乘积为1的两个数互为倒数;
注意:0没有倒数;

7. 有理数加法法则
(1)同号两数相加,取相同的符号,并把绝对值相加;
(2)异号两数相加,取绝对值较大的符号,并用较大的绝对值减去较小的绝对值;
(3)一个数与0相加,仍得这个数.
8.有理数加法的运算律
(1)加法的交换律:a+b=b+a ;
(2)加法的结合律:(a+b)+c=a+(b+c).
9.有理数减法法则
减去一个数,等于加上这个数的相反数;→ → → a-b=a+(-b).
10 有理数乘法法则
(1)两数相乘,同号为正,异号为负,并把绝对值相乘;
(2)任何数同零相乘都得零;
(3)几个数相乘,有一个因式为零,积为零;各个因式都不为零,积的符号由负因式的个数决定.
11 有理数乘法的运算律
(1)乘法的交换律: ab=ba;
(2)乘法的结合律:(ab)c=a(bc);
(3)乘法的分配律: a(b+c)=ab+ac .
12.有理数除法法则
除以一个数等于乘以这个数的倒数;
注意:0不能做除数
.
13.有理数乘方的法则
(1)正数的任何次幂都是正数;
(2)负数的 奇 次幂 是负数;负数的 偶 次幂 是正数;

14.乘方的定义
(1)求相同因式积的运算,叫做乘方;
(2)乘方中,相同的因式叫做底数,相同因式的个数叫做指数,乘方的结果叫做幂;
15.科学记数法
把一个大于10的数记成a×10n的形式,其中a是整数数位只有一位的数,这种记数法叫 科学记数法.
16.近似数的精确位
一个近似数,四舍五入到那一位,就说这个近似数的精确到那一位.
17.有效数字
从左边第一个不为零的数字起,到精确的 位数值,所有数字,都叫这个近似数的有效数字.
18.混合运算法则
先乘方,后乘除,最后加减.