一、二极管V- I 特性的模型
二极管V- I 特性的模型分为下面三种:
1、理想模型
2、恒压降模型
3、折线模型
理想模型:

理想模型

理想模型

理想模型

理想模型压降
恒压降模型(串联电压源模型):
V d 二极管的导通压降。硅管 0.7V;锗管 0.3V。

恒压降模型

恒压降模型

恒压降模型

恒压降模型
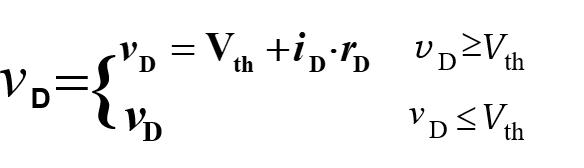
折线模型:

折线模型

折线模型

折线模型
二、二极管限幅钳位电路:
此部分讲解,用例题带入会更好理解。




三、稳压二极管分析方法:
稳压二极管工作原理:利用二极管反向击穿特性实现稳压。稳压二极管稳压时工作在反向电击穿状态。
稳压二极管电路符号:

稳压二级管伏安特性:

稳压二极管主要参数:
稳定电压V z:在规定的稳压管反向工作电流I z下,所对应的反向工作电压。
动态电阻rZ:rZ =DVz /DIz(是增量之比)
最大耗散功率: P zm= V z ·I z
最大稳定工作电流: Iz max 和最小稳定工作电流: Iz min
稳定电压温度系数:a VZ
稳压二极管闻言电路:

稳压条件:Izmin ≤ Iz≤ Izmax
正常稳压时:Vo = Vz。
R作用:限流电阻,使电路有一个合适的工作状态,并限定电路的工作电流。
V O 波动原因:RL波动、电源电压波动。
四、二极管电路分析方法和例题
一般方法: 假设法。
可以假设二极管导通和截止,一般轻情况下假设二极管截止会比较方便。
假设方法的原则:任何时候电路的状态只有一个。
下面看一个例题:
