
你可能不知道Walter Lewin ,但你很可能看过这张图……是的,他就是那个拿自己当单摆,或者拿下巴挑战单摆的教授!

是的,他就是那个最会画虚线的教授!

他还曾经被Quora 网友投票评选为全球最好的教授!
给大家分享两个课堂小片段,是MIT天体物理教授Walter Lewin的上课视频,非常有趣。
其实我想告诉大家:
物理学的好,真的很酷
AP物理是中国学生经常报考的AP考试之一,但是很多学生在一开始选择时,经常会发现AP物理的考试和化学生物这样只有一门考试的科目都不同,竟然分了四个考试!
那么,AP物理的4门科目都考些什么内容,难度又有什么差异呢?今天SATPEDIA教书匠阿伦教学团队来为大家做一个详细的解答。

AP物理考试目前分为4科,分别是AP物理1、AP物理2、AP物理C力学和AP物理C电磁学。这4个科目不仅考察内容不同,而且对于数学基础的要求也不一样。
AP物理1和2不要求学生会使用微积分,只需要有国内高中数学水平即可,对应的是国外的Pre-Calculus的数学水平;而AP物理C的力学和电磁学,都需要学生在学过微积分之后才能学习,因为每到题目几乎都涉及到微积分的运算,对数学水平的要求更高。



不管考哪一门AP,都是需要花时间和功夫去学习的。这里要提示的是不要独立的看collegeboard公布的各科满分百分比,因为对于简单的学科,报考的人数多,满分率反而会很低,而对于比较难的科目,能报考这些科目的都是学霸甚至是学神,满分率自然很高。
所以如果你看到AP物理C电磁学的满分率比AP物理1还要高,就觉得AP物理C电磁学容易拿满分的话,那一定是too young too naive了。


以上四门考试理论上是都可以报考的,虽然同时考四门的学生很少。想要在大学中进入理工科专业的学生,AP物理C几乎是必需,因为各大学对AP物理C成绩的认可度,以及转换学分的概率都更高。
由于AP课程可以转换学分,而各大学理工类专业对AP物理C的认可度都更高,如果同学们大学要读物理学,机械工程,电气工程、计算机等专业最好选择考AP物理C力学和电磁学。而如果同学们大学要读生命科学,医学,化学或者其他专业,可以选择AP物理1和2。

美国的物理教育和理科教育更加注重分析和实验,你可以算不出数字,但你要知道为什么。涉及到一个定义,你需要知道这个定义从哪里来,我们为什么需要它,根据这个定义可以得出什么样的结论,等等。
学生如果平时习惯了死记硬背和套公式,遇到了Free Response中的Why的问题,就会一头雾水。
其实很简单:知其然,也要知其所以然。
比如说,两个电容串联的时候,其总电容应该等于C1C2/(C1+C2),很多中国学生看到会觉得,这是公式!那把公式背下来,直接往里套就行了。
但事实上,他们忽略了一点:为什么这就是串联之后的总电容,其根本原因是两个串联的电容,流经的电流是相同的,而电流对时间的累积——电量,自然也是相同的。
一旦忽略了这个细节,那么考试时如果遇到:两个电容串联后,电量之间是什么关系?
我们就答不出来了。
所以物理中的每一个公式是怎么推出来的,我们应该从根本上去理解它的意义,而不是背定律、套公式计算。
从学习具体内容来说,力学相对比较简单一些,每年5分的学生比例高达30%,有一半的同学能拿到4分以上。

在物理C力学中,其中最难的当属curved and rotational motion:
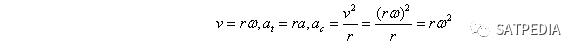
1. 一定要注意向心加速度和切线加速度,通常可以应用

这三个公式,在速度和角速度之间灵活切换。
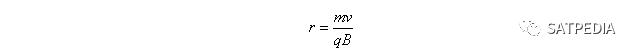
2. rotational dynamics,这个相信大家都不陌生了,它的应用面十分广泛:一般的圆周运动,有

如果是带电粒子在磁场中的圆周运动,有

这里有一点需要注意的就是torque,一般都是简单的用

求解即可。
3. angular momentum,表达式为L= rmv =Iω它具有和linear momentum类似的性质——conservation angular momentum,还有转动惯量(又称质量惯性矩)。

单纯的旋转问题难度并不大,但如何和滑动结合起来,相信大部分人在分析时会陷入迷茫,到底哪部分算旋转、哪部分算滑动呢?我们来看一个典型的例子:

在分析这种滑动和旋转运动并存的问题时,时刻要注意区分这两种运动的特性,对于本题的滑动,唯一改变线动量的是摩擦力,因此

而摩擦力对于旋转运动则是力矩,

分析得出这两点后,剩下的问题就迎刃而解了,只剩下数学微积分计算。力学部分每年必考的Simple harmonic motion(SHM),其主要的考点就是弹簧系统

钟摆系统

以及Hook's Law了。当然,也可以把conservation of mechanical energy和gravitational potential energy也纳入进来,这样在分析能量守恒时会稍微复杂一点,2017年的第一题就是这么干的。


国内同学普遍使用的Barron’s和Princeton Review,都只是考试复习用书。国外的教科书一般写得非常友好,讲解清楚,例题的思路也更清晰。这是小编学校使用的AP物理C教材。

美国不同的高中,使用的课本不一样。国内同学可以在APCollegeBoard官网上找到推荐的教材。

小编在准备考试时主要做了Barron’s,感觉它对于考试知识点的总结还是非常好的,题目也比较好地涵盖了考试的知识点。除了巴朗之外,同学们用的比较多的就是Princeton Review。小编个人感觉Princeton Review对于知识点的讲解更加仔细,作为AP物理这门课的教辅比较合适。

如果大家想找一位老师来帮助你学习或者复习AP物理C,最好的资源就是网络。坐在家里上美国的课,而且还不花钱,轻轻松松地学习美国课程,直接聆听美国教授上课。如果同学们时间充裕,可以考虑跟着视频自学。

电磁学:http://v.163.com/special/opencourse/electricity.html
力学:http://v.163.com/special/opencourse/classicalmechanics.html
完全自学看Barron,可能有的地方不理解,相信很多同学会比较痛苦。大家可以看看MIT传奇人物Lewin教授讲课,风趣幽默,课程启发性和趣味性,和AP物理C的考点基本重合。大家一边学微积分,一边提高英语(当然也有中文字幕)。
当然,网易上耶鲁大学开放课程:基础物理(Fundamentals of Physics)也不错,课程跟Barron物理C也比较吻合。
力学部分:http://open.163.com/special/fundamentalsofphysics/

电磁学部分:http://open.163.com/special/opencourse/physicsii.html

另一个资源当然是大爱的可汗学院Khan academy,上面几乎什么科目的课程都有,从艺术史到多变量微积分,从音乐理论到SAT练习。我身边的美国学霸们很多ipad上也装着khan academy的APP!


公开的资源总是最有价值的,因为它最接近于CB的考试题。
AP Physics C: Mechanics Exam - AP Central apcentral.collegeboard.org



AP物理C力学考试大纲
AP考试,每门课程都有CourseDescription,这是我们考试必须阅读的资料,不仅有考试的大纲范围,还有样题和评分标准。我们在系统学习完相关内容后,可以仔细对照这本考试大纲,查漏补缺,帮助我们了解考试范围和题目类型。



虽然现在距离5月的AP考试还有一段时间,但同学们可以开始制定AP考试的学习和复习计划了!想要学习AP物理C应该先学会AP Calc,不管AB 还是 BC都足够了!
SATPEDIA教书匠阿伦团队将继续关注托福/SAT/ACT/GRE/AP考试及留学咨询的最新情况,第一时间和大家分享最新信息。
